試分析軟起動器對電機過載保護的控製方法(上)
發布時間:2014-09-02 責任編輯:stone
【導讀】多(duo)年(nian)研(yan)究(jiu)軟(ruan)起(qi)動(dong)器(qi),發(fa)現(xian)軟(ruan)起(qi)動(dong)器(qi)對(dui)電(dian)動(dong)機(ji)的(de)過(guo)載(zai)保(bao)護(hu)有(you)些(xie)簡(jian)單(dan)化(hua),雖(sui)然(ran)說(shuo)是(shi)反(fan)時(shi)限(xian)保(bao)護(hu),但(dan)實(shi)際(ji)是(shi)采(cai)用(yong)定(ding)時(shi)分(fen)段(duan)的(de)辦(ban)法(fa)。如(ru)果(guo)要(yao)真(zhen)正(zheng)反(fan)應(ying)電(dian)動(dong)機(ji)的(de)過(guo)載(zai)能(neng)力(li)又(you)能(neng)對(dui)電(dian)動(dong)機(ji)起(qi)到(dao)過(guo)載(zai)保(bao)護(hu)就(jiu)必(bi)需(xu)通(tong)過(guo)熱(re)積(ji)分(fen),采(cai)用(yong)熱(re)記(ji)憶(yi)功(gong)能(neng)。這(zhe)樣(yang)才(cai)能(neng)保(bao)正(zheng)係(xi)統(tong)的(de)可(ke)靠(kao)性(xing)和(he)保(bao)護(hu)的(de)靈(ling)敏(min)性(xing)。
1 引言
duonianyanjiudiandongjibaohuqi,faxianruanqidongqiduidiandongjideguozaibaohuyouxiejiandanhua,suiranshuoshifanshixianbaohu,danshijishicaiyongdingshifenduandebanfa,youshiwudongzuo,youshishaodiandongji。duiyudiandongjiduanxuguozaibaohushiyouyudiandongjizaoyiguore,nametadeguozainengliyijingjianxiao,duiyulengtaidediandongjilaishuo,tadeguozainengliyaobiretaidediandongjiguozainenglidadeduo。
ruguoyaozhenzhengfanyingdiandongjideguozainengliyounengduidiandongjiqidaoguozaibaohujiubixutongguorejifen,caiyongrejiyigongneng。zheyangcainengbaozhengxitongdekekaoxinghebaohudelingminxing。
1.1 兩種典型的數學模型
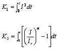
軟起動器對電動機具有控製、保護、監測等功能,對電動機的熱過載保護采用的反時限保護特性有多種數學模型,其中典型的有兩類:
(1)等I2t的時間電流特性
t = k / I2
(2)IEC 60255-3[1]推薦的數學模型
以上式中: Ir — 電流整定值I — 實際電流值
t — 動作時間(s)
K — 表征特性的常數
α— 函數指數
1.2 脫扣器的控製方式
脫扣器的控製方式可采用:
(1)積分法
以兩種典型的數學模型為例,分別求積分值:

(2)查表法
設定I—t對照表,根據當前I控製動作時間t。
但是在實際運行中兩種方法均存在弊端。如用積分法上述的兩類數學模型都可能造成在低於動作值時仍能誤動作;如用查表法在通常電流不斷變化的情況下,很難合理的控製過載脫扣的延時時間。
為了較好的解決低壓斷路器的智能控製器中長延時脫扣器的延時控製,本文試圖按熱保護的基本原理進行分析和探討。
2 熱保護的基本要求
根據熱平衡關係,電氣設備的發熱應等於散熱與蓄熱之和,即
式中:P — 發熱功率;
Kr— 散熱係數;
S — 散熱表麵積;
τ— 溫升;
c — 比熱;
G — 發熱體重量;
t — 時間。
微分方程的解為:

過載保護元件應在小於被保護電氣設備溫升允許值的設置值動作,斷開電路。

3 按熱平衡原理整定過載長延時脫扣


[page]
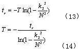
4 動作值和熱時間常數的計算
4.1 動作值

按電動機起動器和斷路器的要求,k2應分別小於1.2和1.3,為同時滿足這兩種要求,並留有裕度,可取k2=1.1~1.15。
由式(11)可取
K=k22T(12)
以K作為式(6)或(7)的截止值,當A≥K時控製器動作,實現長延時保護功能。
式(9)和(10)可轉換為:

4.2 熱時間常數的計算
在已知任意—N值下要求的tr值,即可計算T。

4.3 延時時間的計算
按式(13)計算在不同過載電流下的延時時間,並考慮電流測量誤差的影響,計算結果見表1(計算時取T=642s)。

為測量智能脫扣器實態通電時的A值,可以采用數值積分的方法等間隔的測量電流和計算A值並與K值比較。
設測量間隔為Δt,並且初始溫升為0,由式(6)和(7)

上列各式中N可以為變量。
逐次計算,逐次與k比較,直至Ax≥k時控製器動作。則

在有輔助電源的情況下,A值逐漸遞減,直至軟起動器重新起動,A值又開始遞增;或輔助電源斷開,A值清零。
weifangzhiguozaituokouhou,ruanqidongqizaiduanshineidezaijietongbingzaiduanshineizaifenduan,keshezhiyidingdehuifushijian,yibaozhengzaihuifushijiannei,ruanqidongqibudeqidong。
[page]
6 測量誤差分析
對式(8)微分:

對應表1中的計算值tr,在表2中列出p和f的相應值。
表2 與表1中計算值tr對應的p和f值

表2的誤差傳遞係數f的估算值與表1的計算結果基本相符。
由表1及表2可以看出在較低過載倍數下由電流測量誤差所引起的延時時間誤差較大。
7 保護特性的斜率調節
7.1 建立數學模型
為了滿足不同的配合需要,現在有的製造廠**了改變長延時保護特性斜率的調節功能[2]或參照IEC 60255標準**了不同數學模型的保護特性。為了實現保護特性的斜率調節,本文推薦兩種數學模型並用的方案。
(1)基本數學模型
經對比分析我們可以以式(7)作為基本保護特性的基本數學模型。
(2)用於斜率調節的數學模型
可選用國家標準GB 14598.7(等同IEC 60255-3)推薦的數學模型用於斜率調節。根據GB 14598.7:
式中:N=I/Ir
指數α可選
K為常數
現以三種斜率的保護特性為例:
A型反時限
tr=K/(N0.02-1) (17)
B型反時限
tr=K/(N-1) (18)
C型反時限
tr=K/(N4-1) (19)
K值可根據保護要求設定,或參照前述基本保護特性NIr(如N=2或N=6)對應的時間tr設定。
相關閱讀:
選型技巧:如何選擇電機保護器型號
細說電壓、電流對步進電機的性能影響
試分析軟起動器對電機過載保護的控製方法(下)
特別推薦
- 噪聲中提取真值!瑞盟科技推出MSA2240電流檢測芯片賦能多元高端測量場景
- 10MHz高頻運行!氮矽科技發布集成驅動GaN芯片,助力電源能效再攀新高
- 失真度僅0.002%!力芯微推出超低內阻、超低失真4PST模擬開關
- 一“芯”雙電!聖邦微電子發布雙輸出電源芯片,簡化AFE與音頻設計
- 一機適配萬端:金升陽推出1200W可編程電源,賦能高端裝備製造
技術文章更多>>
- 從機械執行到智能互動:移遠Q-Robotbox助力具身智能加速落地
- 品英Pickering將亮相2026航空電子國際論壇,展示航電與電池測試前沿方案
- 模擬芯片設計師的噩夢:晶體管差1毫伏就廢了,溫度升1度特性全飄
- 3A大電流僅需3x1.6mm?意法半導體DCP3603重新定義電源設計
- 芯科科技Tech Talks與藍牙亞洲大會聯動,線上線下賦能物聯網創新
技術白皮書下載更多>>
- 車規與基於V2X的車輛協同主動避撞技術展望
- 數字隔離助力新能源汽車安全隔離的新挑戰
- 汽車模塊拋負載的解決方案
- 車用連接器的安全創新應用
- Melexis Actuators Business Unit
- Position / Current Sensors - Triaxis Hall
熱門搜索
按鈕開關
白色家電
保護器件
保險絲管
北鬥定位
北高智
貝能科技
背板連接器
背光器件
編碼器型號
便攜產品
便攜醫療
變容二極管
變壓器
檳城電子
並網
撥動開關
玻璃釉電容
剝線機
薄膜電容
薄膜電阻
薄膜開關
捕魚器
步進電機
測力傳感器
測試測量
測試設備
拆解
場效應管
超霸科技


