基於電機控製的高效家電設計實現
發布時間:2014-09-15 責任編輯:stone
【導讀】事實上,采用最新的集成運轉控製平台,設計者甚至能夠為自己的設計選擇較小和較低成本的電機,而不會犧牲最終的性能。
xiyijihebingxiangdengjiadianzhizaoshangdoumianlinzhetigaochanpinxingnengyugongnengdeyali,tongshihaiyaojiangdizhengtinenghao。shejizheyaomanzuzhexiesihuxianghumaodundemubiao,tongshibuhuizhaozhimingxiandechengbensunshi,guanjianshishiyongzhenduikongzhijiadianzhongzhongdengguimodianjidexinjishu。shishishang,caiyongzuixindejichengyunzhuankongzhipingtai,shejizheshenzhinenggouweizijideshejixuanzejiaoxiaohejiaodichengbendedianji,erbuhuixishengzuizhongdexingneng。

圖1PM交流電機麵向現場無傳感器控製
家電電機控製
交(jiao)流(liu)感(gan)應(ying)電(dian)機(ji)是(shi)多(duo)數(shu)家(jia)電(dian)應(ying)用(yong)中(zhong)電(dian)機(ji)的(de)首(shou)選(xuan)目(mu)標(biao)。這(zhe)主(zhu)要(yao)是(shi)由(you)於(yu)它(ta)們(men)可(ke)以(yi)直(zhi)接(jie)用(yong)交(jiao)流(liu)電(dian)運(yun)行(xing),而(er)無(wu)需(xu)增(zeng)加(jia)控(kong)製(zhi)電(dian)路(lu)或(huo)姿(zi)態(tai)反(fan)饋(kui)傳(chuan)感(gan)器(qi)。例(li)如(ru),冰(bing)箱(xiang)中(zhong)的(de)傳(chuan)統(tong)家(jia)電(dian)控(kong)製(zhi)器(qi)是(shi)一(yi)個(ge)簡(jian)單(dan)電(dian)路(lu),它(ta)定(ding)期(qi)執(zhi)行(xing)壓(ya)縮(suo)機(ji)的(de)開(kai)機(ji)和(he)停(ting)機(ji),以(yi)保(bao)持(chi)目(mu)標(biao)區(qu)域(yu)的(de)溫(wen)度(du)。
當係統開始運行時,壓縮機就連續運轉。一旦溫度到達了目標區,壓縮機便以低占空比運轉。當係統以低的開/關占空比運轉時,壓縮機在大部分時間裏都偏離最高效的工作點。改變壓縮機的轉速來匹配製冷負荷,可以減少 40% 的能耗,因為製冷係統能夠以更高占空比運行。
采用三相PM(永磁)電機,並將電機控製在變速運行狀態,就能進一步改進家電的效率。這類電機效率通常可高達 90%,與之相比,傳統的單相感應電機的效率為 70%。同時,這類電機還可以簡化速度控製和轉矩控製。
lingwai,youyuyougenggaodexiaolv,jiukeyicaiyongjiaoxiaodedianji,yincijiangdiledanweichengben,gengrongyizuojixiesheji。xianran,congzhexiedianjihuoquzuidaliyideguanjianjiuyoulaiyuqudongfangfadexuanze。yaozhunqueergaoxiaodiqudongbingxianghuoxiyijidengjiadianzhongdebiansudianji,zhongyaodeshinenggouhuodezhuanzizitaidexinxi。zuixianeryijiandefangshishicaiyongfujiadejianceyuanjian。danshi,zhehuitongshiyingxiangkekaoxinghechengben,shijishangshibuxianshidefangfa。yinci,shejizhezhengzaixunzhaowuchuanganqijishu。
無傳感器的變速電機控製
由於電機控製技術的進步,現在無需姿態傳感器也能實現高效率的三相PM電機交流傳動。圖1是這類係統的一個實例。圖中,右側是三相電源逆變器,它控製著從直流電源進入PM電機繞組的電流,同時空間矢量PWM單dan元yuan是shi功gong率lv晶jing體ti管guan計ji算suan時shi序xu信xin號hao,然ran後hou由you功gong率lv晶jing體ti管guan為wei電dian機ji提ti供gong三san相xiang正zheng弦xian波bo電dian壓ya。低di電dian壓ya控kong製zhi信xin號hao與yu連lian接jie到dao高gao電dian壓ya直zhi流liu總zong線xian功gong率lv開kai關guan之zhi間jian的de接jie口kou是shi一yi個ge HVIC(高壓柵極驅動 IC)。
這些 IC 比分立的柵極驅動電路或普通光電耦合、脈衝變壓器方案更強健和精致。最新的 HVIC 技術采用先進的混合信號半導體工藝,結合了低電壓輸入能力與高電壓驅動輸出和大量板載功能。

圖2MCE與同時集成的8051微控製器芯片上帶有A/D
如圖 1 所示,控製電路的關鍵是需要實現一個磁場定向控製(FOC)算法。這種算法通常用於工業傳動係統中,它計算提供所需速度和轉矩的電機電壓與電流,有最高的電機效率。
FOC 采用向量變換,將交流電機繞組的電流分解成兩個用於驅動電機磁鏈和轉矩的“準直流”(quasi DC)電流分量。這種變換包括作為轉子磁鏈角函數的一個向量旋轉(e-jq),以取得與轉子磁鏈相配合的一個電流分量(ID);還有一個產生電機轉矩的正交分量(IQ)。
電流反饋控製回路計算出兩個“準直流”的電壓分量VD和VQ,用於保持目標轉矩和磁鏈。第二個向量旋轉為脈衝寬度調製器計算出交流電壓基準。FOC算法的優勢在於,電機轉矩是IQ基準的一個線性函數,它產生一個簡單的線性速度控製規則。在PM電機情況下,控製器將磁鏈電流分量(ID)保持為零,從而實現運動係統效率的最大化。
采用這種算法的一個主要優點是,控製器能夠通過測量逆變器直流鏈接(隻用一個直流鏈接分流器為電機提供電流)中的電流,計算出轉子的位置。
估計轉子位置
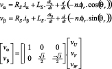
使shi用yong轉zhuan子zi角jiao評ping估gu器qi電dian路lu,通tong過guo下xia麵mian的de電dian機ji繞rao組zu電dian路lu方fang程cheng,支zhi持chi無wu傳chuan感gan器qi的de轉zhuan子zi姿zi態tai反fan饋kui。三san相xiang至zhi兩liang相xiang的de變bian換huan簡jian化hua了le計ji算suan,並bing得de到dao兩liang個ge關guan係xi,分fen別bie是shi轉zhuan子zi磁ci鏈lian角jiao的de正zheng弦xian函han數shu和he餘yu弦xian函han數shu。

解jie出chu這zhe些xie方fang程cheng即ji得de到dao電dian機ji電dian流liu與yu電dian壓ya的de正zheng弦xian函han數shu和he餘yu弦xian函han數shu。反fan正zheng切qie計ji算suan可ke以yi確que定ding轉zhuan子zi角jiao,但dan基ji於yu以yi下xia誤wu差cha函han數shu的de鎖suo相xiang環huan方fang法fa更geng為wei強qiang大da,它ta能neng產chan生sheng一yi個ge副fu產chan品pin,即ji過guo濾lv的de速su度du測ce量liang法fa。
kongzhiqitongguoduizhiliulianbingliandianzushangdecaiyangdianliuyijigonglvnibianqikaiguandeshixuzuotongbu,zhongjiandianjidexiangdianliu。ruqiansuoshu,shangshufangfadeyigexianzhuyoudianshidianjifankuixinhaoquzidangezhiliubingliandianzu,yinciwuxushiyongzitaichuanganqihuogelishidianliuchuanganqi。yushijiuhuodeleduijiadianPM交流電機具有成本效益的控製方法,大大提高了效率和性能。
實現無傳感器控製
雖然上述方法為電機控製提供了一種可靠、準確的方法,但它們也給設計工程師帶來了一個重大挑戰,尤其是在建立軟件編碼時。基於這個原因,國際整流器公司開發了iMOTION平台概念,它包含針對各種應用領域的集成電機控製係統,如家電。
iMOTION平台概念的核心是專用的運轉控製IC。這些 IC在單隻芯片內包含了兩個計算引擎,如圖 2 所示。第一個是運轉控製引擎(MCE),它包含了PM電機無傳感器控製所需的全部代碼;第二個是一隻8位高速微控製器。MCE包(bao)括(kuo)一(yi)係(xi)列(lie)硬(ying)件(jian)實(shi)現(xian)的(de)控(kong)製(zhi)元(yuan)件(jian),設(she)計(ji)者(zhe)可(ke)以(yi)作(zuo)適(shi)當(dang)配(pei)置(zhi),建(jian)立(li)針(zhen)對(dui)特(te)定(ding)應(ying)用(yong)的(de)運(yun)轉(zhuan)控(kong)製(zhi)算(suan)法(fa)。配(pei)置(zhi)工(gong)作(zuo)通(tong)過(guo)一(yi)個(ge)簡(jian)單(dan)易(yi)用(yong)的(de)圖(tu)形(xing)化(hua)編(bian)譯(yi)器(qi)完(wan)成(cheng)。
MCE中提供了FOC算法的關鍵部分,作為完整的預定控製塊。IC還包括一個ADC以及相應的算法,完全支持單一並聯電流重建。有了MCE處理運轉控製,8051微控製器就能自由地運行家電應用軟件,包括排序、用戶界麵、主機通信以及較高層的控製任務。MCE和8051MCU共同訪問雙口RAM,允許共享目標速度等設置點,並可在軟件控製下作調整。
相關閱讀:
馬達控製中關鍵安全應用的解決方案
工業自動化方案:傳感器技術及馬達控製的實現
實例告訴你——如何使用 PolySwitch 器件保護馬達
特別推薦
- 噪聲中提取真值!瑞盟科技推出MSA2240電流檢測芯片賦能多元高端測量場景
- 10MHz高頻運行!氮矽科技發布集成驅動GaN芯片,助力電源能效再攀新高
- 失真度僅0.002%!力芯微推出超低內阻、超低失真4PST模擬開關
- 一“芯”雙電!聖邦微電子發布雙輸出電源芯片,簡化AFE與音頻設計
- 一機適配萬端:金升陽推出1200W可編程電源,賦能高端裝備製造
技術文章更多>>
- 築基AI4S:摩爾線程全功能GPU加速中國生命科學自主生態
- 一秒檢測,成本降至萬分之一,光引科技把幾十萬的台式光譜儀“搬”到了手腕上
- AI服務器電源機櫃Power Rack HVDC MW級測試方案
- 突破工藝邊界,奎芯科技LPDDR5X IP矽驗證通過,速率達9600Mbps
- 通過直接、準確、自動測量超低範圍的氯殘留來推動反滲透膜保護
技術白皮書下載更多>>
- 車規與基於V2X的車輛協同主動避撞技術展望
- 數字隔離助力新能源汽車安全隔離的新挑戰
- 汽車模塊拋負載的解決方案
- 車用連接器的安全創新應用
- Melexis Actuators Business Unit
- Position / Current Sensors - Triaxis Hall
熱門搜索







