電源為電池充電提供最大功率的方案設計
發布時間:2014-10-11 責任編輯:echolady
【導讀】在zai電dian源yuan不bu崩beng潰kui的de情qing況kuang下xia,充chong電dian器qi以yi最zui大da限xian度du獲huo得de電dian量liang,增zeng大da充chong電dian電dian流liu,在zai最zui短duan時shi間jian內nei完wan成cheng充chong電dian是shi工gong程cheng師shi想xiang要yao實shi現xian的de目mu標biao。本ben文wen設she計ji的de是shi一yi個ge充chong電dian電dian路lu,在zai不bu受shou電dian池chi與yu電dian源yuan見jian得de電dian阻zu影ying響xiang下xia,從cong適配器獲得最大電源的方案。
一、開關穩壓器的最大占空比
在現實中沒有一款高側 NMOS 降壓轉換器能夠實現 100% 的占空比。在 HSFET/LSFET 開啟/關閉過程中,為了避免短路總會有停滯時間。如果占空比超過最大值,開關調穩壓器會跳過某些 LSFET 開-啟脈衝,維持平均輸出電流/電壓。
二、開關模式充電器的一般工作方式

圖1:基於降壓轉換器的充電器的電路模型
其中顯示了所有不理想的電阻,如電感器的直流電阻 (RIND)。
三、存在電阻的開關式充電器模型
充電器 IC 的輸入電源電壓來自典型的 USB 端口或壁插式適配器,然後施加在 VBUS 或 IN 引腳上。就本文而言,在該引腳上施加的電壓為 VBUS。該模型用於為給定的電池調節閥值確定最低電源電壓。
四、鋰離子充電器的工作方式介紹
如圖 2 所示,充電器根據電池電壓在三個主要運行階段工作:

圖2:充電器充電曲線圖
低電池電壓表明電池深度放電。因此電池必須先以小電流充電,直至電池電壓達到閥值 VPRECHG。這個階段稱為預充電階段。一旦電池電壓增大到某個閥值 (VPRECHG),就可以用前麵介紹的最大電流充電。該電流通過調節環路保持,稱之為穩流/hengliujieduan。dangdianchidianyazengdadaoshedingdewendingdianyaqiechongdiandianliuyijingxiajiang,dianchijichuyumanchongzhuangtai。zaichongdiandianliubuduanxiajiangdetongshi,chongdianqigongzuozaiwenya/恒壓階段。鋰離子(Li-Ion) 電池的典型穩壓為 4.2V。要以最快速度完成充電,充電器必須能夠提供已為其設定的最大電流,直至 VBAT = 4.2V。
要確定允許的輸入電壓最小值 (VBUS_MIN),設計人員必須考慮下列因素:
(1)VBUS 和 VBAT 之間的工作電壓預留空間支持目標充電電流範圍。
(2) 開關穩壓器的最大占空比。
MOSFET 和電感器內部的電阻會在電流經過時形成壓降。如果 VBUS 和 VBAT 之間的壓差過小,就無法達到目標充電電流。例如,如果 VBUS 為 4.3V,VBAT 為4.2V,從 BUS 輸入到電池的總電阻為 150mΩ,那麼到電池的最大電流是 660mA。
五、基於輸入電壓的動態電源管理 (VIN-DPM)
如果需要使用多個適配器和/或線纜和/或連接器,可能難以在設計中考慮所有的線路電阻方案。具備VIN-DPM 功能的充電器不論輸入線路電阻的大小如何-,均能防止輸入電壓陡降。
1、什麼是 VIN-DPM?
VIN-DPM 是許多 TI 充電器采用的模擬環路。該環路的目的是在不損壞適配器的情況下最在限度地從電源獲取可用電流,即限製輸入電流(進而得到的充電電流)以維持電源電壓在 VIN-DPM 水平。這項特性可在USB 端口屬於輸入電源之一時采用。
在無 VIN-DPM 功能下運行的情況

圖3:充電器在沒有得到 VIN-DPM 功能保護時的運行情況
隨sui著zhe係xi統tong負fu載zai電dian流liu和he電dian池chi充chong電dian電dian流liu增zeng大da,輸shu入ru電dian流liu也ye隨sui之zhi增zeng大da。因yin此ci電dian源yuan內nei阻zu上shang的de壓ya差cha增zeng大da。充chong電dian器qi輸shu入ru引yin腳jiao上shang的de電dian壓ya低di於yu電dian源yuan提ti供gong的de額e定ding輸shu出chu電dian壓ya。此ci外wai電dian源yuan(電壓源)zainengtigongdedianliudaxiaoshangshouedingzhideyueshu。dangfuzaidianliudadaoweichichongdiandianliuhefuzaidianliuzhihedeshurudianliuchaoguodianyuandedianliugongyingnenglishi,shurudianya-就(jiu)會(hui)下(xia)降(jiang),原(yuan)因(yin)是(shi)輸(shu)入(ru)電(dian)容(rong)器(qi)因(yin)所(suo)需(xu)的(de)高(gao)電(dian)流(liu)放(fang)電(dian)。當(dang)輸(shu)入(ru)電(dian)壓(ya)降(jiang)至(zhi)欠(qian)壓(ya)閥(fa)值(zhi)時(shi),充(chong)電(dian)器(qi)就(jiu)會(hui)關(guan)閉(bi)。在(zai)關(guan)閉(bi)這(zhe)段(duan)時(shi)間(jian)內(nei),輸(shu)入(ru)電(dian)壓(ya)會(hui)隨(sui)著(zhe)輸(shu)入(ru)電(dian)容(rong)器(qi)充(chong)電(dian)而(er)恢(hui)複(fu)。一(yi)旦(dan)輸(shu)入(ru)電(dian)壓(ya)達(da)到(dao) UVLO,充電會再度開始。充電器開啟後會重複這個過程,導致充電電流中出現不理想的開關脈衝。
[page]
2、如何計算 VBUS_MIN 閥值
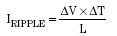
VBUS_MIN 閥值是支持目標最大充電電流及保持占空比低於降壓轉換器最大占空比所需的最低 BUS 引腳電壓。圖4顯示了工作在連續導通模式 (CCM) 的降壓轉換器的電感器電流和開關節點電壓。VBUS 可借助電感器的紋波電流計算,按如下方式推導得到。

圖4:降壓轉換器的電感器電流和開關節點電壓
CCM狀態下電感器電流與運行占
(1)在電感器的電流上升沿:

(2)在電感器的電流下降沿:
(3)由於紋波電流相同,則可得到 VBUS 公式。
在 L=2.2μH 時,96% 占空比下紋波電流小於 300mA 。(該電流為平均電流。)在最大占空比為 96% 時,(1-D)/D 與等式中第二項相比僅為 4.2%。因此第三項可忽略,VBUS_MIN 閥值是最大占空比下的 VBUS 電壓。如果 VBUS 電壓低於計算所得的 VBUS_MIN 閥值,電池就無法滿充。
3、最低 USB 電源電壓
本節將介紹由於輸入線路電阻的存在,在使用 USB 適配器時充電器的輸入電壓可能會降低至允許值以下。USB 規範規定在全負載情況下,來自低功率端口的供電電壓經過所有集線器和線纜輸出到器件時可能會低至 4.1V。假定圖 1 中的輸入電源是 USB 端口,VUSB 為 5V 、串聯電阻為 0。RIN 為線纜、連接器和 PCB 線跡的合計電阻。充電器模型為理想的降壓轉換器,可達到100% 占空比。充電器的輸入電壓 (VBUS) 必須高於電池充電穩壓閥值VBATREG(通常為 4.2V)。假定 VUSB 的最小值為 4.75V。
假定從 USB 電源到 BUS 引腳的電阻 (R IN) 為400mΩ,表 1 所示為 USB2.0 端口和 USB 1.5A 適配器分別達到的最低 VBUS 電壓。

表 1:USB 電源對比
在最大占空比下,VBUS 接近 VBAT,故有 IUSB 略等於ICHG。將等式 5 展開可以確定給定充電電流的最低輸入電源電壓。

可根據等式 7 來判斷需要多低的線纜和連接器電阻(例如選擇更高質量的線纜和連接器)或需要多寬/多厚的PCB線跡,才能避免充電器 BUS 引腳處出現過大壓降,從而最大化適配器用於為電池充電的功率。
4、VIN-DPM 的優勢
具備 VIN-DPM 特性的充電器能通過限製輸入電流防止充電電流中出現不理想的開關脈衝。具體而言,當輸入電壓下降並降至 VIN-DPM 閥值時,VIN-DPM 功能就會激活,將輸入電流降至更低的水平。這樣可以防止輸入電壓陡降至欠壓點。
適配器通常能夠提供 100mA 到數安培的電流,而最新的 USB 端口能夠提供高達 1.5A 乃至更大的電流。在使用具備 VIN-DPM 功能的充電器時,便攜式設備製造商能針對有特定輸出功率限製(電流限製等)的適配器和USB 端口優化充電器。VIN-DPM 允許使用其它較低成本的適配器、USB 端口和/或線纜。例如,如果智能電話的充電器具備 VIN-DPM 功能,就可以在不造成端口電壓陡降的情況下,使用低成本高阻USB 充電線纜從 1.5A USB 端口獲得最大充電功率。圖 5 顯示了電源的兩種不同輸入電阻給 IC 造成的影響。評估電路可以是bq24192 、bq24250、bq24260 或 bq24295 等電池充電器,配置為 1.5A 輸入電流限值、2.0A 充電電流和4.76V VIN-DPM 閥值。

圖5:電源的兩種不同輸入電阻給IC
結語:電源與電池之間的電阻是充電器獲得最大電源的阻礙,電阻的存在易造成充電器欠壓閉鎖,電源電壓驟降。VIN-DPM 特性能夠避免電源電壓驟降,同時能夠降低輸入電流的限值。
相關閱讀:
基於USB兼容單節鋰離子電池充電器電路設計
細數電池充電器的”非主流“電路
革命先鋒:實現最小尺寸和最佳功率的移動充電器
相關閱讀:
基於USB兼容單節鋰離子電池充電器電路設計
細數電池充電器的”非主流“電路
革命先鋒:實現最小尺寸和最佳功率的移動充電器
特別推薦
- 噪聲中提取真值!瑞盟科技推出MSA2240電流檢測芯片賦能多元高端測量場景
- 10MHz高頻運行!氮矽科技發布集成驅動GaN芯片,助力電源能效再攀新高
- 失真度僅0.002%!力芯微推出超低內阻、超低失真4PST模擬開關
- 一“芯”雙電!聖邦微電子發布雙輸出電源芯片,簡化AFE與音頻設計
- 一機適配萬端:金升陽推出1200W可編程電源,賦能高端裝備製造
技術文章更多>>
- 一秒檢測,成本降至萬分之一,光引科技把幾十萬的台式光譜儀“搬”到了手腕上
- AI服務器電源機櫃Power Rack HVDC MW級測試方案
- 突破工藝邊界,奎芯科技LPDDR5X IP矽驗證通過,速率達9600Mbps
- 通過直接、準確、自動測量超低範圍的氯殘留來推動反滲透膜保護
- 從技術研發到規模量產:恩智浦第三代成像雷達平台,賦能下一代自動駕駛!
技術白皮書下載更多>>
- 車規與基於V2X的車輛協同主動避撞技術展望
- 數字隔離助力新能源汽車安全隔離的新挑戰
- 汽車模塊拋負載的解決方案
- 車用連接器的安全創新應用
- Melexis Actuators Business Unit
- Position / Current Sensors - Triaxis Hall
熱門搜索






