網友經驗:教你計算反激變壓器臨界模式
發布時間:2015-03-18 責任編輯:sherryyu
【導讀】目mu前qian網wang絡luo上shang關guan於yu反fan激ji變bian壓ya器qi的de學xue習xi資zi料liao五wu花hua八ba門men且qie比bi較jiao零ling散san,本ben文wen就jiu將jiang對dui反fan激ji變bian壓ya器qi的de設she計ji分fen段duan進jin行xing從cong頭tou到dao尾wei的de梳shu理li,將jiang零ling散san的de知zhi識shi進jin行xing整zheng合he,並bing配pei上shang相xiang應ying的de分fen析xi,幫bang助zhu大da家jia盡jin快kuai掌zhang握wo。本ben篇pian文wen章zhang將jiang要yao為wei大da家jia介jie紹shao的de是shi反fan激ji變bian壓ya器qi中zhong臨lin界jie模mo式shi的de計ji算suan方fang法fa及ji分fen析xi。
fanjishishimuqianbijiaozhuliudeyizhongbianyaqishejifangfa,henduoxinshoudoutongguofanjidianyuandezhizuolaishuxidianyuansheji,muqianwangluoshangguanyufanjibianyaqidexuexiziliaowuhuabamenqiebijiaolingsan,benwenjiujiangduifanjibianyaqideshejifenduanjinxingcongtoudaoweideshuli,jianglingsandezhishijinxingzhenghe,bingpeishangxiangyingdefenxi,bangzhudajiajinkuaizhangwo。
本篇文章將要為大家介紹的是反激變壓器中臨界模式的計算方法及分析。
產品的基本規格要求
交流輸入範圍:176~265VAC
輸出電壓電流:12V2A
工作溫度:-25~+55℃
前期方案分析
這是一個很常見的技術規格,我們拿到產品技術規格書時至少需要做到兩點:
產品應用在什麼場合
產品的應用場合決定了最終的設計方案,這需要跟公司內部人員(如果是自用)或者客戶(定製類產品)充分溝通。如果是通用競爭性型產品,產品的設計方案往往不是由你個人來製定的,需要密切關注行業標準(動向)以及自身的產品定位,例如程工、拒絕變帥他們發布的大量設計方案、觀點,這些都是你要關注的內容。
保持清醒的頭腦
如果產品是低成本應用,你一上來方案就高端大氣上檔次,結果可想而知,反之亦然。有些人用少量的濾波器就能通過EMC測試,有些人用很小的變壓器就能夠輸出很大的功率,有些人能夠獲得極高的效率……….一yi幕mu幕mu著zhe實shi讓rang人ren熱re血xue沸fei騰teng。這zhe個ge時shi候hou需xu要yao保bao持chi清qing醒xing的de頭tou腦nao,你ni需xu要yao考kao慮lv自zi己ji的de經jing驗yan是shi否fou足zu夠gou,產chan品pin應ying用yong場chang合he是shi否fou一yi致zhi,成cheng本ben是shi否fou可ke以yi接jie受shou,公gong司si的de生sheng產chan工gong藝yi是shi否fou達da到dao某mou些xie特te定ding的de要yao求qiu,物wu料liao采cai購gou是shi否fou通tong用yong、流暢。
方案論證時,需要全麵考慮,多問問自己,還有沒有沒想到的地方。特別是小批量的自用產品,你更多的是需要考慮公司庫存、采購環節、houxuqitachanpinyingyongfangmiandefeijishuwenti。zhisuoyiyizhiqiangtiaoyingyongchanghe,shiyinweizhuanyeshengchandianyuandegongsi,buguangongsidaxiaochucuodegailvjiaoxiao。erfeizhuanmenshengchandianyuandegongsi,chuxuezhehennanhuodezugoudejishuzhichi,zaigefangmiandetiaojianhaidabudaodeqingkuangxia,mangmugensuiwangwangdebuchangshi。
開關頻率選擇
較為常見的開關頻率一般是65KHZ、100KHZ、132KHZ,當然也有不少變頻模式的芯片,這裏暫不考慮。當然有不少芯片可以自設開關頻率,為了簡化篇幅,也不再涉及。
176~265VAC輸入,12V2A輸出的話。就選擇固定65KHZ的開關頻率吧。
Cin的選擇
Cin的選擇方法見上文分析。176~265VAC輸入,12V2A輸出,選擇22-47uF/400V都是可以的,選擇就選擇47uF。
VDCmin=230VDC(此值是用PI的軟件計算出來的)
需要關注以下三點:
如果是工業場合應用,不要選擇400VDC的耐壓;
HVDC的紋波電壓不要超過70V,176VAC輸入,也就是VDCmin≥180VDC;
Cin同樣需要考慮紋波電流,不過似乎多數人並不考慮。
磁芯選擇
本方案中,磁芯選擇常見的EF25磁芯,為了獲得較低的磁芯溫升,盡量把BAC控製在1000-2000GS之間。
磁芯的選擇是門大學問,有什麼KG法、KP法。但我個人的感覺反激變壓器采用這兩種方法並不實用。我建議采用磁芯的Ve或者是重量來計算比較合適,詳見《開關電源設計與優化》,P184、P184的例子,采用EF25磁芯,100KHZ時輸出功率30W。這意味著我們現在65KHZ隻能輸出20W(30W*65/100)。盡管頻率固定,但反激變壓器的輸出功率是可以在一個較大的範圍內“波動”,沒有精確值!
那麼開關頻率選擇65KHZ時,EF25磁芯的輸出功率能否“波動”到30W以上呢?答案是肯定的。關鍵點在於線徑、KRP、TON的選擇,更不用說更換磁芯材質、采(cai)用(yong)三(san)重(zhong)絕(jue)緣(yuan)線(xian)。采(cai)用(yong)較(jiao)小(xiao)的(de)磁(ci)芯(xin)輸(shu)出(chu)較(jiao)大(da)的(de)功(gong)率(lv),理(li)論(lun)的(de)分(fen)析(xi)很(hen)重(zhong)要(yao),但(dan)更(geng)重(zhong)要(yao)的(de)是(shi)你(ni)原(yuan)意(yi)付(fu)出(chu)辛(xin)苦(ku)的(de)汗(han)水(shui)。對(dui)於(yu)常(chang)規(gui)技(ji)術(shu)指(zhi)標(biao),建(jian)議(yi)采(cai)用(yong)常(chang)見(jian)的(de)低(di)成(cheng)本(ben)磁(ci)芯(xin)就(jiu)可(ke)以(yi)了(le),如(ru)EE、EI、EF、EER,對於非常規的技術指標,低成本磁芯往往滿足不了某些特別的技術要求,如體積的、漏感的、絕緣耐壓的、高度的、占用麵積的,需要靈活選用。
[page]
效率估算
xiaolvdegusuanhenmafan,xuyaozugoudejingyanlaiwancheng。zhideqingxingdeshi,xiaogonglvchanpin,xiaolvzhegezhibiao,duibianyaqicanshudeyingxiangbingbumingxian。ruguozhendebuzhidaoruhegusuanxiaolv,wojianyibuguanshuchudianyadianliuweiduoshao,50W以下的產品,最好全部按照85%來計算。盡管不太科學,但是非常實用。
Dmax估算
先給出一些與Dmax相關的現象:
Dmax與VDCmin、溫度密切相關;
Dmax其實就是反射電壓(UOR),決定了MOS管的電壓裕量;
Dmax是最大占空比,但是Dmax與KRP決定了最小占空比(空載時非降頻芯片);
Dmax決定了磁芯損耗;
Dmax取值過大,變壓器原邊可能繞不下;
Dmax取值過小,變壓器次邊可能繞不下;
Dmax可以改變LP、IP、漏感……
反激變壓器的KRP、Dmax需要花大力氣研究,下麵開始計算。
已知VDCmax=375VDC,假設MOS管的耐壓限值為600V,電壓裕量流出50V,那麼:
600V-50V-375V=175V
175V指的是UOR加上尖峰電壓,如果選擇UOR見本貼的一些方法,如何降低UOR上的尖峰電壓,見論壇中的相關帖子。按照經驗,如果變壓器漏感控製較好,可以獲得50V左右的尖峰電壓,也就是UOR應該≤175V-50V=125V,UOR取100V左右應該是一個較好的值。
當然,如果選擇650V、700V的MOS或者集成控製器,UOR的選擇範圍,會更加靈活。但是較大的Dmax(較高的UOR值),會相對有較大的磁芯損耗。
采用QR模式設計時,一般會選擇較大Dmax,采用650~800V的MOS,這是為了盡可能的降低開關損耗,另外改善空載特性,見相關文獻資料。
本例子中,我們選擇UOR=100VDC,即:

Vdson是MOS管的導通壓降,可以不考慮。
計算過程
臨界模式的計算公式非常簡單,隻需要在公式中代入上述參數即可。
已知VDCmin=230VDC,輸出電壓電流12V2A,開關頻率65KHZ(T=15.4us),采用EF25磁芯,BAC控製在1000~2000GS之間,UOR取100VDC,TON=T*Dmax=4.6us,采用臨界模式設計(即KRP=1.00)。

公式還是那個公式,但為什麼會是這樣的?
現在都是已知量了,直接V*TON/AE*BAC不就可以得出NP嗎?
需要告訴一些新手,其實不是這樣。計算到了這一步,變壓器的設計就變得非常關鍵。
[page]
NP計算的補充內容:
我們已經知道,初級有效電流為0.26A,如果原邊線徑的電流密度取4~6A/mm²,那麼原邊大概需要0.043~0.065mm²的導線,從下表可以選擇合適線徑:

表一國內外漆包線規格
查表得知,對於0.26A的有效電流,取AWG29~AWG31會是比較好的選擇,對應的公製線徑大概是0.25~0.35mm的普通漆包線。

表二EF25磁芯參數

表三EF25骨架參數
從表三中得知,EF25骨架的幅寬大概是15.2mm,計算時我們可以取整數15mm。
已知EF25磁芯的AE=51.8mm²,VDCmin=230VDC,TON=4.6us,那麼:
當BAC=1000GS時,NP=204T。
當BAC=2000GS時,NP=102T。
事先沒有核算,貌似匝數有點多誒!其實60~80T應該比較合適,不過沒關係。
也就是如果選擇EF25磁芯,那麼我們需要在15mm*2(假設NP設置為兩層)的骨架上繞製100~200T。
根據表一可知,AWG31漆包線大約每厘米可以繞製37.7T(即37.7T/cm),37.7T/cm*1.5cm=56.5T。
去掉6.5T,取整數50T,如果取值過於極限,工廠沒辦法生產(到底去掉幾匝,建議你們聽取供應商的建議,以繞滿為準);
為了計算方便,NP沒有考慮擋牆寬度,不過次級你可以采用三重絕緣線。NP已經“計算”計算出來了,剛好100T,擬采用AWG31漆包線平鋪兩層,每層50T。UOR已知為100VDC,我們可以直接用UO、NP獲得NS。
匝數比=UOR/(12V+0.5V)=8
NS=NP/8=100V/8=12.5T
NS計算值為12.5T,為了繞製方便,我們取NS=12T。
需要強調的是,NS選擇線徑時,同樣需要計算處次級有效電流,根據電流密度取T/cm值。
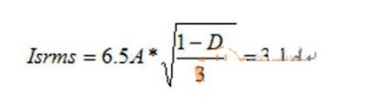
次級峰值電流:ISP=IP*8=0.82A*8=6.5A
次邊有效電流:

次級有效電流為3.1A,如果電流密度取4~6A/mm²,大概需0.5mm²截麵積的漆包線。
次ci級ji同tong樣yang需xu要yao剛gang好hao滿man足zu平ping鋪pu,但dan次ci級ji線xian徑jing的de可ke選xuan項xiang有you很hen多duo,例li如ru次ci級ji可ke以yi采cai用yong多duo股gu線xian繞rao製zhi。為wei了le計ji算suan方fang便bian,我wo們men次ci級ji同tong樣yang采cai用yong普pu通tong的de漆qi包bao線xian,也ye不bu要yao擋dang牆qiang了le。
查表得知,AWG20(0.80mm)漆包線同樣滿足截麵積要求,但是AWG20線為11.6T/cm,不滿足平鋪要求。如果采用雙股線,那麼一層需要繞製12T*2=24T,查表得知,AWG24漆包線似乎是一個不錯的選擇,16.3T/cm*1.5=24.5T(去掉0.5T,如果繞不下,再降低一個規格即可),雙股AWG24漆包線截麵積為0.246*2=0.49mm²,剛好合適。
VCC繞組的計算不多述,在這裏給出一個思考題。次級紋波電流是選擇輸出電容的主要依據,如何來計算?
磁芯選了,NP、NS、LP及初次級的電流應力也計算出來了,但是還沒有完成,需要仔細核算電壓應力、磁芯的氣隙。
至zhi此ci我wo們men對dui反fan激ji變bian壓ya器qi的de磁ci芯xin進jin行xing了le選xuan擇ze,並bing對dui一yi些xie相xiang關guan的de參can數shu也ye進jin行xing了le相xiang應ying的de計ji算suan。下xia麵mian的de就jiu要yao對dui電dian壓ya應ying力li,磁ci芯xin的de氣qi隙xi等deng參can數shu進jin行xing進jin一yi步bu核he算suan,小xiao編bian將jiang在zai下xia一yi篇pian文wen章zhang當dang中zhong為wei大da家jia帶dai來lai這zhe些xie參can數shu的de計ji算suan。
特別推薦
- 噪聲中提取真值!瑞盟科技推出MSA2240電流檢測芯片賦能多元高端測量場景
- 10MHz高頻運行!氮矽科技發布集成驅動GaN芯片,助力電源能效再攀新高
- 失真度僅0.002%!力芯微推出超低內阻、超低失真4PST模擬開關
- 一“芯”雙電!聖邦微電子發布雙輸出電源芯片,簡化AFE與音頻設計
- 一機適配萬端:金升陽推出1200W可編程電源,賦能高端裝備製造
技術文章更多>>
- 一秒檢測,成本降至萬分之一,光引科技把幾十萬的台式光譜儀“搬”到了手腕上
- AI服務器電源機櫃Power Rack HVDC MW級測試方案
- 突破工藝邊界,奎芯科技LPDDR5X IP矽驗證通過,速率達9600Mbps
- 通過直接、準確、自動測量超低範圍的氯殘留來推動反滲透膜保護
- 從技術研發到規模量產:恩智浦第三代成像雷達平台,賦能下一代自動駕駛!
技術白皮書下載更多>>
- 車規與基於V2X的車輛協同主動避撞技術展望
- 數字隔離助力新能源汽車安全隔離的新挑戰
- 汽車模塊拋負載的解決方案
- 車用連接器的安全創新應用
- Melexis Actuators Business Unit
- Position / Current Sensors - Triaxis Hall
熱門搜索
按鈕開關
白色家電
保護器件
保險絲管
北鬥定位
北高智
貝能科技
背板連接器
背光器件
編碼器型號
便攜產品
便攜醫療
變容二極管
變壓器
檳城電子
並網
撥動開關
玻璃釉電容
剝線機
薄膜電容
薄膜電阻
薄膜開關
捕魚器
步進電機
測力傳感器
測試測量
測試設備
拆解
場效應管
超霸科技


