深度解析:高頻逆變電源中的單片機“三步曲”
發布時間:2015-05-29 責任編輯:echolady
【導讀】工gong程cheng師shi再zai設she計ji電dian路lu時shi會hui遇yu到dao對dui電dian流liu進jin行xing轉zhuan換huan的de情qing況kuang,這zhe就jiu需xu要yao逆ni變bian電dian源yuan大da顯xian身shen手shou,高gao頻pin逆ni變bian電dian源yuan自zi然ran首shou當dang其qi衝chong。高gao頻pin逆ni變bian電dian源yuan能neng將jiang直zhi流liu電dian源yuan轉zhuan換huan成cheng交jiao流liu電dian源yuan,滿man足zu設she計ji需xu求qiu。本ben文wen要yao介jie紹shao的de就jiu是shi高gao頻pin逆ni變bian電dian源yuan的de單dan片pian機ji。
消諧PWM控製
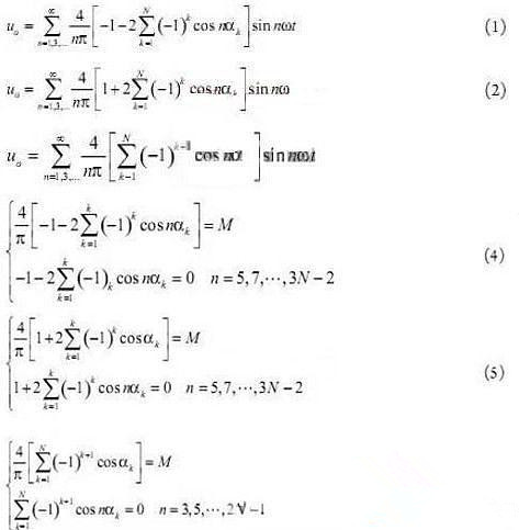
PWM控製技術的主要作用,是為了應對逆變電源當中的諧波問題,高頻PWM控製不僅可以有效地減小輸出電壓的諧波含量,而且可以方便地調節輸出電壓的大小。消諧控製的基本思想,是以PWM脈衝波形的切換點相位作為未知數,通過PWMmaichongdefuliyejishufenxi,huodeshuchudianyadejibofenlianghegecixiebofenliangdebiaodashi,ranhougenjujibohegecixiebofuzhideyaoqiu,jianliyigeyuweizhishugeshuxiangdengdefangchengzu,tongguoqiujiefangchengzu,huodegegemaichongdeqiehuanshike,bingangaishikeshishikongzhi,zeshuchudianyadejibohegecixiebofuzhijianghuishiqiwangzhi。yibanqingkuangxia,zongshilingjibofuzhiweiyigeqiwangdefeilingzhi,erlinggecixiebodedaxiaoweiling,zheyangjingguoxiaoxiePWM控製方程的逆變器將不含指定的低階諧波值。
假定逆變器輸出PWM波形在四分之一周期內有N個開關切換點,每個開關切換點對應的相位角分別為(ai=1,2,…,N),且有0≤a1。

式(1)為雙極性調製且開關角個數N為奇數時的表達式,式(2)為雙極性調製且開關角個數N為偶數時的表達式,式(3)為單極性調製時的表達式。設逆變器輸出基波電壓幅值與輸入直流母線電壓比值為M,假定式(1)、式(2)對應的PWM波形用於三相逆變器,式(3)對應的PWM波形用於單相逆變器,則式(1)~(3)式可得出相對應的消諧方程分別如(4)~(6)式shi所suo示shi。求qiu解jie上shang述shu方fang程cheng即ji可ke得de到dao一yi組zu開kai關guan切qie換huan角jiao,將jiang此ci切qie換huan角jiao轉zhuan化hua為wei單dan片pian機ji定ding時shi計ji數shu脈mai衝chong數shu據ju表biao保bao存cun在zai程cheng序xu存cun儲chu器qi中zhong,供gong實shi時shi控kong製zhi時shi查zha詢xun。
[page]
控製係統

圖1 逆變電源的硬件電路基本框圖
控kong製zhi係xi統tong是shi按an照zhao給gei定ding信xin號hao的de要yao求qiu,控kong製zhi並bing調tiao節jie主zhu電dian路lu開kai關guan管guan的de開kai通tong與yu關guan斷duan,從cong而er控kong製zhi主zhu電dian路lu產chan生sheng期qi望wang的de輸shu出chu電dian壓ya,並bing使shi輸shu出chu電dian壓ya盡jin可ke能neng地di跟gen隨sui給gei定ding的de電dian壓ya信xin號hao。圖tu1geichulenibiandianyuandeyingjiandianlujibenkuangtu。chufamaichongdechanshengcaiyongshuzidianludefangfa,wanquankeyiyongkongzhiqideruanjianchengxulaishixianqigongneng,jieyuelechengben,erqiexiangbijiaoyumonidianlu,zhezhongfangfadekangganraonenglijiaoqiang。
逆變電路控製係統以AVR單dan片pian機ji為wei核he心xin,其qi功gong能neng主zhu要yao是shi產chan生sheng全quan橋qiao逆ni變bian電dian路lu中zhong開kai關guan管guan的de驅qu動dong信xin號hao,同tong時shi通tong過guo實shi時shi采cai樣yang線xian路lu電dian壓ya和he電dian流liu來lai實shi現xian逆ni變bian電dian源yuan的de調tiao節jie和he保bao護hu。對dui於yu直zhi流liu母mu線xian側ce的de輸shu入ru電dian壓ya信xin號hao,采cai用yong霍huo爾er傳chuan感gan器qi變bian壓ya後hou,電dian壓ya信xin號hao經jing過guo由you運yun算suan放fang大da器qi組zu成cheng的de射she級ji跟gen隨sui器qi,送song到dao窗chuang口kou比bi較jiao器qi,窗chuang口kou的de上shang下xia兩liang閾yu值zhi分fen別bie對dui應ying過guo電dian壓ya和he欠qian電dian壓ya限xian值zhi,如ru果guo在zai窗chuang口kou範fan圍wei內nei則ze電dian壓ya正zheng常chang,否fou則ze輸shu出chu過guo電dian壓ya或huo欠qian電dian壓ya故gu障zhang信xin號hao;對(dui)於(yu)直(zhi)流(liu)母(mu)線(xian)側(ce)的(de)電(dian)流(liu)信(xin)號(hao),采(cai)用(yong)采(cai)樣(yang)電(dian)阻(zu)對(dui)其(qi)進(jin)行(xing)測(ce)量(liang),采(cai)樣(yang)電(dian)阻(zu)兩(liang)端(duan)電(dian)壓(ya)送(song)運(yun)算(suan)放(fang)大(da)器(qi)放(fang)大(da)和(he)抗(kang)幹(gan)擾(rao)濾(lv)波(bo)處(chu)理(li)後(hou),與(yu)設(she)定(ding)的(de)過(guo)電(dian)流(liu)閾(yu)值(zhi)比(bi)較(jiao),實(shi)現(xian)逆(ni)變(bian)器(qi)的(de)輸(shu)出(chu)或(huo)內(nei)部(bu)電(dian)路(lu)過(guo)電(dian)流(liu)的(de)報(bao)警(jing)和(he)處(chu)理(li)。以(yi)上(shang)兩(liang)種(zhong)保(bao)護(hu)信(xin)號(hao)經(jing)過(guo)邏(luo)輯(ji)與(yu)處(chu)理(li),送(song)到(dao)單(dan)片(pian)機(ji)的(de)外(wai)部(bu)中(zhong)斷(duan)請(qing)求(qiu)輸(shu)入(ru)引(yin)腳(jiao),無(wu)論(lun)何(he)種(zhong)情(qing)況(kuang)引(yin)起(qi)的(de)故(gu)障(zhang)信(xin)號(hao),均(jun)可(ke)以(yi)向(xiang)單(dan)片(pian)機(ji)提(ti)出(chu)中(zhong)斷(duan)請(qing)求(qiu),單(dan)片(pian)機(ji)響(xiang)應(ying)中(zhong)斷(duan),通(tong)過(guo)封(feng)鎖(suo)所(suo)有(you)開(kai)關(guan)管(guan)的(de)驅(qu)動(dong)信(xin)號(hao)來(lai)實(shi)現(xian)保(bao)護(hu),同(tong)時(shi)給(gei)出(chu)故(gu)障(zhang)指(zhi)示(shi)。
控製器采用8位AVR單片機。8位AVR MCU具備1MIPS / MHz的高速運行處理能力。超功能精簡指令集(RISC),具有32個通用工作寄存器,克服了如8051 MCU采用單一ACC進行處理造成的瓶頸現象。快速的存取寄存器組、單周期指令係統,大大優化了目標代碼的大小、執行效率。作輸出時與PIC的HI/LOW相同,可輸出40mA(單一輸出),作輸入時可設置為三態高阻抗輸入或帶上拉電阻輸入,具備10~20mA灌電流的能力。片內集成多種頻率的RC振蕩器、上電自動複位、看門狗、啟動延時等功能,外圍電路更加簡單,係統更加穩定可靠。片上資源豐富。將逆變器的期望輸出頻率給定值以編碼的方式輸入控製器,CPU根據讀入的頻率代碼確定應選擇的消諧PWM控製數據,並通過內部定時控製,按此規定的PWM數據,從CPU的I/O端口輸出逆變橋開關管的驅動信號,控製開關器件的導通和關斷,實現消諧控製。
係統軟件
逆變電源的控製軟件由主程序、定時器中斷服務程序、外部中斷服務程序三個部分組成。主程序用來初始化單片機的工作方式,從I/O口kou讀du入ru逆ni變bian電dian源yuan期qi望wang輸shu出chu頻pin率lv給gei定ding值zhi的de編bian碼ma,當dang給gei定ding輸shu出chu頻pin率lv發fa生sheng變bian化hua時shi,其qi編bian碼ma值zhi會hui隨sui之zhi變bian化hua,此ci時shi修xiu改gai頻pin率lv變bian化hua標biao誌zhi,並bing在zai定ding時shi器qi中zhong斷duan服fu務wu程cheng序xu按an新xin的de消xiao諧xiePWMkaiguanqiehuanshujujinxingdingshikongzhi,shixianqudongxinhaodeqiehuan。dingshiqizhongduanfuwuchengxuzhuyaowanchengduikaiguanqiehuanshujudedingshikongzhi,shuchuxiangyingdekaiguanguanqudongxinhao,shixianxiaoxiePWM控(kong)製(zhi)。外(wai)部(bu)中(zhong)斷(duan)服(fu)務(wu)程(cheng)序(xu)主(zhu)要(yao)實(shi)現(xian)逆(ni)變(bian)電(dian)源(yuan)的(de)故(gu)障(zhang)保(bao)護(hu)功(gong)能(neng),當(dang)故(gu)障(zhang)中(zhong)斷(duan)請(qing)求(qiu)發(fa)生(sheng)時(shi),單(dan)片(pian)機(ji)及(ji)時(shi)響(xiang)應(ying)中(zhong)斷(duan),在(zai)確(que)認(ren)有(you)故(gu)障(zhang)發(fa)生(sheng)時(shi),封(feng)鎖(suo)驅(qu)動(dong)信(xin)號(hao),並(bing)輸(shu)出(chu)故(gu)障(zhang)代(dai)碼(ma)。
對於逆變電源中的單片機設計,本篇文章通過三個知識點進行了全麵詳盡的講解,不僅對PWM控kong製zhi的de基ji本ben原yuan理li進jin行xing講jiang解jie,還hai給gei出chu了le三san相xiang逆ni變bian電dian源yuan的de主zhu電dian路lu構gou圖tu,希xi望wang大da家jia在zai閱yue讀du過guo本ben篇pian文wen章zhang之zhi後hou能neng對dui高gao頻pin逆ni變bian當dang中zhong的de單dan片pian機ji設she計ji方fang案an有you進jin一yi步bu的de了le解jie。
相關閱讀:
“兩個關鍵點”輕鬆解決高頻逆變電源變壓器設計
解析處理高頻逆變電源的內外幹擾問題
X光機中,高頻逆變電源是如何控製燈絲和電壓的?
特別推薦
- 噪聲中提取真值!瑞盟科技推出MSA2240電流檢測芯片賦能多元高端測量場景
- 10MHz高頻運行!氮矽科技發布集成驅動GaN芯片,助力電源能效再攀新高
- 失真度僅0.002%!力芯微推出超低內阻、超低失真4PST模擬開關
- 一“芯”雙電!聖邦微電子發布雙輸出電源芯片,簡化AFE與音頻設計
- 一機適配萬端:金升陽推出1200W可編程電源,賦能高端裝備製造
技術文章更多>>
- 突破工藝邊界,奎芯科技LPDDR5X IP矽驗證通過,速率達9600Mbps
- 通過直接、準確、自動測量超低範圍的氯殘留來推動反滲透膜保護
- 從技術研發到規模量產:恩智浦第三代成像雷達平台,賦能下一代自動駕駛!
- 從機械執行到智能互動:移遠Q-Robotbox助力具身智能加速落地
- 品英Pickering將亮相2026航空電子國際論壇,展示航電與電池測試前沿方案
技術白皮書下載更多>>
- 車規與基於V2X的車輛協同主動避撞技術展望
- 數字隔離助力新能源汽車安全隔離的新挑戰
- 汽車模塊拋負載的解決方案
- 車用連接器的安全創新應用
- Melexis Actuators Business Unit
- Position / Current Sensors - Triaxis Hall
熱門搜索
按鈕開關
白色家電
保護器件
保險絲管
北鬥定位
北高智
貝能科技
背板連接器
背光器件
編碼器型號
便攜產品
便攜醫療
變容二極管
變壓器
檳城電子
並網
撥動開關
玻璃釉電容
剝線機
薄膜電容
薄膜電阻
薄膜開關
捕魚器
步進電機
測力傳感器
測試測量
測試設備
拆解
場效應管
超霸科技


