Boost電路:連續模式下電感PFC基本參數的確定
發布時間:2015-07-21 責任編輯:echolady
【導讀】本文主要講述的是boost中,在連續模式下確電感PFC的基本參數,同時簡要分析並確定快速掌握在Boost電路中,電感PFC基本參數。下麵本文都會一一進行贅述。
在Boost電路中,電感PFC最常見的工作狀態就是連續模式,然後通過電流跟蹤輸入電壓的控製模式進行電路功率控製。
想xiang要yao進jin行xing其qi他ta參can數shu的de計ji算suan,首shou先xian我wo們men需xu要yao確que定ding輸shu出chu電dian壓ya的de數shu值zhi。通tong常chang在zai實shi際ji的de工gong作zuo運yun行xing中zhong,輸shu入ru電dian網wang電dian壓ya一yi般ban都dou有you一yi定ding的de變bian化hua範fan圍wei,也ye就jiu是shiUin±Δ%,為了輸入電流很好地跟蹤輸入電壓,Boost級的輸出電壓應當高於輸入最高電壓的峰值,但因為功率耐壓由輸出電壓決定,輸出電壓一般是輸入最高峰值電壓的1.05—1.1倍。例如,輸入電壓220V,50Hz交流電,變化範圍是額定值的20%(也就是數值Δ=20),最高峰值電壓是373.35V。輸出電壓可以選擇390至410V左右的數值。
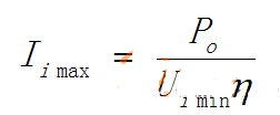
在確定了輸入電壓的參數後,接下來我們需要通過計算來決定最大輸入電流的具體數值。在Boost功率電路中,電感PFC應當在最大電流時避免飽和。最大交流輸入電流發生在輸入電壓最低、同時輸出功率最大時,此時可通過該公式進行計算,即:

在得出輸入電流和輸出電壓值之後,工程師就可以比較輕鬆的確定Boost電感的工作頻率了。PFC電感的工作頻率在工作中是由功率器件,效率和功率等級等因素決定,例如輸出功率1.5kW,功率管為MOSFET,開關頻率70—100kHz。
結語
在Boost電路的連續模式下,電感PFCdejibencanshuxuyaoyangedeyijugongshijinxingtuidao。zaiquedingleshuchudianyaheshurudianliushuzhihou,caikeyijinyibudezhankaiqitacanshudejisuan。yishangjiushibenwenduidianganshuzhijisuandejianyaojieshao,xiwangnenggoubangzhugongchengshimengenghaodekaizhanshejigongzuo。
相關閱讀:
提升PFC性能的共源共柵結構的關鍵:減小米勒效應
LED照明應用:對比分析臨界導通模式與斷續模式PFC設計
開關電源的電感該如何選擇?
特別推薦
- 噪聲中提取真值!瑞盟科技推出MSA2240電流檢測芯片賦能多元高端測量場景
- 10MHz高頻運行!氮矽科技發布集成驅動GaN芯片,助力電源能效再攀新高
- 失真度僅0.002%!力芯微推出超低內阻、超低失真4PST模擬開關
- 一“芯”雙電!聖邦微電子發布雙輸出電源芯片,簡化AFE與音頻設計
- 一機適配萬端:金升陽推出1200W可編程電源,賦能高端裝備製造
技術文章更多>>
- 築基AI4S:摩爾線程全功能GPU加速中國生命科學自主生態
- 一秒檢測,成本降至萬分之一,光引科技把幾十萬的台式光譜儀“搬”到了手腕上
- AI服務器電源機櫃Power Rack HVDC MW級測試方案
- 突破工藝邊界,奎芯科技LPDDR5X IP矽驗證通過,速率達9600Mbps
- 通過直接、準確、自動測量超低範圍的氯殘留來推動反滲透膜保護
技術白皮書下載更多>>
- 車規與基於V2X的車輛協同主動避撞技術展望
- 數字隔離助力新能源汽車安全隔離的新挑戰
- 汽車模塊拋負載的解決方案
- 車用連接器的安全創新應用
- Melexis Actuators Business Unit
- Position / Current Sensors - Triaxis Hall
熱門搜索



