如何利用單個反饋源實現任意量級偏置電流網絡
發布時間:2016-08-26 責任編輯:susan
【導讀】利用運放反饋與基準電壓生成任意大小的直流電流是一個簡單、直接的過程。但是,假設須要生成一些任意數量(以N為例)的電流沉/源(current sink/source),而每個電流沉/源的大小任意,可能須要針對不同階段的一些複雜模擬電路進行偏置。
雖然基準電壓的生成僅須一次實施即可,電流沉整個反饋部分的重複進行卻使成本與設計空間密集化。那麼問題來了:是否可以使用單個反饋源來實現這種偏置網絡呢?答案是肯定的,盡管這有些複雜,也須滿足某些特定條件。該網絡(本文分析中僅以電流沉為例)如圖1所示。

圖1:灌電流網絡
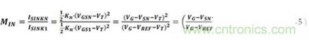
最終MOSFET(金氧半場效晶體管)源電壓VS以及RSET電阻決定著各柱上的灌電流(sink current);通過去除來自外部電流沉柱的反饋(即所有N》1),已失去對VSN的直接控製。因此,RSETN必須精心選擇以生成預期的任意第N個柱的灌電流,即ISINKN。仔細觀察上麵的圖1,很容易得出定義偏置網絡第N個柱電流與第1個柱電流的比值的等式︰

重新調整等式1,得出R1與RN電阻比MRN,等式變為:

那麼該偏置網絡第N個柱的MOSFET源電壓是什麼,VSN?考慮到工作在飽和區的NMOS漏極電流等式是:
必須注意的是,這裏可以很大程度上忽略通道寬度調製的影響。這是因為任何因漏極電壓上升導致的漏極電流的上升會在通過RSET電阻後下降,並導致源電壓的上升。為了使MOSFET能(neng)維(wei)持(chi)任(ren)何(he)電(dian)流(liu),柵(zha)極(ji)電(dian)壓(ya)必(bi)須(xu)大(da)於(yu)源(yuan)電(dian)壓(ya)與(yu)閾(yu)值(zhi)電(dian)壓(ya)的(de)和(he)。也(ye)就(jiu)是(shi)說(shuo),給(gei)定(ding)一(yi)個(ge)柵(zha)極(ji)電(dian)壓(ya),源(yuan)電(dian)壓(ya)將(jiang)被(bei)限(xian)製(zhi)在(zai)至(zhi)少(shao)比(bi)柵(zha)極(ji)電(dian)壓(ya)小(xiao)一(yi)個(ge)閾(yu)值(zhi)電(dian)壓(ya)的(de)值(zhi),且(qie)再(zai)大(da)的(de)漏(lou)極(ji)電(dian)壓(ya)上(shang)升(sheng)也(ye)不(bu)會(hui)提(ti)升(sheng)漏(lou)極(ji)電(dian)流(liu)。因(yin)此(ci),構(gou)建(jian)相(xiang)應(ying)運(yun)行(xing)條(tiao)件(jian),RSET必須足夠大,從而確保在上述限製下可允許作出以下假設:
等式1中的比值可基於等式3和4改寫成:

為了簡化等式5,可作出如下定義:

利用等式5進行替換與調整後,可導出VSN的等式:

將等式8代入等式2可得出:

那麼柵極驅動對閾值電壓的差是什麼呢,VGT?這最終由偏置網絡第1柱的反饋決定;它本質上是維持所需ISINK1電流需要的電壓:
重新調整等式11的項,可得出VGT的等式:

將等式13代入等式10可得出:

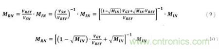
最後,電阻比MRN可以單純地寫成MIN的函數(加上偏置網絡設備的一些物理常數),如下所示:

現在關於RSET電阻比率的等式已導出,接下來可以探究建立任意大小的偏置電流網絡的含義與影響。
特別推薦
- 噪聲中提取真值!瑞盟科技推出MSA2240電流檢測芯片賦能多元高端測量場景
- 10MHz高頻運行!氮矽科技發布集成驅動GaN芯片,助力電源能效再攀新高
- 失真度僅0.002%!力芯微推出超低內阻、超低失真4PST模擬開關
- 一“芯”雙電!聖邦微電子發布雙輸出電源芯片,簡化AFE與音頻設計
- 一機適配萬端:金升陽推出1200W可編程電源,賦能高端裝備製造
技術文章更多>>
- 邊緣AI的發展為更智能、更可持續的技術鋪平道路
- 每台智能體PC,都是AI時代的新入口
- IAR作為Qt Group獨立BU攜兩項重磅汽車電子應用開發方案首秀北京車展
- 構建具有網絡彈性的嵌入式係統:來自行業領袖的洞見
- 數字化的線性穩壓器
技術白皮書下載更多>>
- 車規與基於V2X的車輛協同主動避撞技術展望
- 數字隔離助力新能源汽車安全隔離的新挑戰
- 汽車模塊拋負載的解決方案
- 車用連接器的安全創新應用
- Melexis Actuators Business Unit
- Position / Current Sensors - Triaxis Hall
熱門搜索
SATA連接器
SD連接器
SII
SIM卡連接器
SMT設備
SMU
SOC
SPANSION
SRAM
SSD
ST
ST-ERICSSON
Sunlord
SynQor
s端子線
Taiyo Yuden
TDK-EPC
TD-SCDMA功放
TD-SCDMA基帶
TE
Tektronix
Thunderbolt
TI
TOREX
TTI
TVS
UPS電源
USB3.0
USB 3.0主控芯片
USB傳輸速度




