不要“充電器”真可以!這幾種創新技術你壓哪一種?
發布時間:2017-11-10 來源:EDN電子技術設計 責任編輯:lina
隨著物聯網和5G的(de)飛(fei)速(su)發(fa)展(zhan),我(wo)們(men)日(ri)常(chang)使(shi)用(yong)的(de)智(zhi)能(neng)設(she)備(bei)的(de)數(shu)量(liang)正(zheng)變(bian)得(de)越(yue)來(lai)越(yue)多(duo)。現(xian)在(zai)我(wo)們(men)每(mei)個(ge)人(ren)都(dou)會(hui)用(yong)到(dao)多(duo)種(zhong)設(she)備(bei),而(er)所(suo)有(you)這(zhe)些(xie)設(she)備(bei)幾(ji)乎(hu)都(dou)需(xu)要(yao)充(chong)電(dian)並(bing)對(dui)電(dian)源(yuan)進(jin)行(xing)維(wei)護(hu)。
目前可穿戴市場主要由手環和智能手表所組成。對可穿戴設備來說,最大的挑戰是如何恰當、方便地為它們持續供電。對於目前很多的手環和手表設計來說,用戶都必須先把它們脫下來,插到有線充電器上才能充電(這也是我不願再用這類設備的原因)。即使是采用了電磁感應式充電解決方案——比如蘋果的iWatch,用戶也仍然需要把它們脫下來,放到充電器上去充電。
在我們進化出更多手臂、shouzhiheerduodengdengzhiqian,womenxuyaoyouyizhongbuyibeirenchajiaodefangshilaiduizhexieshebeichongdianbingshiyong。rangwomenyongganjiaobudaodexinfangshilaiweikechuandaishebeigongdian,errangzhexiebuduanyanjin、讓人眼前一亮的技術更方便使用吧。
本文將介紹這一領域中的一些最新開發成果,來為大家參考。希望這些成果有助於設計人員開發出業內迫切需要的創新解決方案。
無線供電(尼古拉·特斯拉會讚成)
現在我們幾乎所有設備都需要單獨充電,因此無線供電肯定會是贏家,也是我在這類應用中的第一選擇。
服裝級的感應式輸電
可穿戴服裝可能包含多個智能設備,用它作為配電骨幹會很有前途(這方麵還有許多研究工作要做)。另外,服裝與服裝之間的電能傳輸可以采用雙向感應輸電技術。參考文獻“Garment level power distribution for wearables using inductive power transfer”中選擇了基於LCL-LCL拓撲而不是串-串(SS)拓撲的電路,因為SS拓撲負載電流會隨著負載(比如電池)變化而變化(見圖1)。

圖1:無線輸電(WPT)設計中所用補償電路拓撲有四種,這裏是其中兩種:(a)SS拓撲,(b)LCL-LCL拓撲。
上述電路工作在99kHz,可在智能設備之間實現雙向電能交換。
在多個設備之間進行雙向電能共享很有意義。某個設備(比如智能手機)的電池容量可能比一些小體積的設備(比如健身追蹤器)更大,因此可以用來給這些更小的設備供電。這樣,穿戴者可以在給智能手機方便充電的同時,延長那些更小設備的使用時間。
這(zhe)種(zhong)方(fang)法(fa)成(cheng)功(gong)的(de)關(guan)鍵(jian)是(shi),這(zhe)些(xie)可(ke)穿(chuan)戴(dai)背(bei)心(xin)或(huo)服(fu)裝(zhuang)是(shi)以(yi)最(zui)不(bu)易(yi)讓(rang)人(ren)察(cha)覺(jiao)的(de)方(fang)式(shi)設(she)計(ji)。采(cai)用(yong)用(yong)柔(rou)性(xing)材(cai)料(liao)製(zhi)造(zao)的(de)饋(kui)電(dian)線(xian)圈(quan)來(lai)設(she)計(ji)是(shi)種(zhong)好(hao)方(fang)法(fa),見(jian)圖(tu)2和圖3。

圖2:饋電線圈的理想電路圖(a)及其等效電路(b)。

圖3:上方是用銅帶製作的柔性饋電線圈;下方是早期用24號硬線做的饋電線圈原型。
現在雙向輸電電路可以基於LCL逆變器來構建,其中,兩個反相方波分別輸入到四MOSFET逆變器的1號和2號輸入端,見圖4。

圖4:雙向感應式電能傳輸電路。
整個係統構建完成後,圖5就是完整的電能共享係統。

圖5:完整的電能共享係統原理圖。左邊是發射器,中間是饋電線圈,右邊是接收線圈。
能量采集
保bao持chi可ke穿chuan戴dai設she備bei始shi終zhong充chong電dian並bing長chang久jiu運yun行xing的de另ling外wai一yi種zhong好hao方fang法fa是shi射she頻pin能neng量liang采cai集ji。這zhe一yi領ling域yu正zheng在zai研yan究jiu中zhong,對dui於yu可ke能neng的de設she計ji解jie決jue方fang案an,一yi個ge例li子zi是shi毫hao米mi波bo噴pen墨mo能neng量liang采cai集ji方fang法fa,可ke以yi用yong在zai可ke穿chuan戴dai設she計ji的de柔rou性xing電dian路lu中zhong(參考文獻“Millimeter-wave Ink-jet Printed RF Energy Harvester for Next Generation Flexible Electronics”)。
這種設計使用了噴墨印製的毫米波整流天線,該整流天線可以將電磁能量轉換為直流電能。
這種設計先通過天線捕獲24GHz信號,然後將信號送到整流器——該整流器前麵有一個輸入匹配網絡,用於最大程度地將電能傳輸給諧波端接網絡(HTN)。例如,諧波端接網絡(HTN)對dui二er極ji管guan在zai奇qi次ci諧xie波bo下xia提ti供gong開kai路lu阻zu抗kang,在zai偶ou次ci諧xie波bo下xia提ti供gong短duan路lu阻zu抗kang。諧xie波bo端duan接jie網wang絡luo還hai能neng將jiang射she頻pin分fen量liang從cong直zhi流liu分fen量liang隔ge離li。無wu過guo孔kong直zhi流liu返fan回hui通tong路lu取qu消xiao了le信xin號hao到dao地di的de過guo孔kong,因yin此ci不bu會hui產chan生sheng毫hao米mi波bo頻pin率lv下xia可ke能neng產chan生sheng的de嚴yan重zhong寄ji生sheng問wen題ti,詳xiang見jian圖tu6。

圖6:整流天線開發概念框圖。
整個係統是由柔性液晶聚合物(LCP)基板和用Dimax FujiFilm DMP-2831噴墨打印機打印出來的銀納米粒子墨水製作的微帶線實現的。
天線采用平麵2x2貼片陣列設計,4個貼片通過一個帶3個T型結點的公共饋電網絡連接,這3個T型結點都在同一層上,作為50Ω的輸入饋線,見圖7。

圖7:天線版圖。天線尺寸可以在前述參考文獻中找到。
在這個設計的實驗中,LED燈被空中傳過來的24GHz信號成功點亮。
一些有趣的元器件解決方案和技術
Powercast公司的PowerHarvester IC
Powercast公司的首席運營官/首席技術官Charles Greene博士談論了該公司的可穿戴設備供電解決方案。這家公司的解決方案讓我非常感興趣,詳見圖8。

圖8:Powercast公司的無線再充電解決方案。
可穿戴設備設計人員可以將Powercast公司的Powerharvester IC嵌入到可穿戴設備中,為一個或多個設備提供一定距離的無線充電。通過收集ISM頻段的射頻能量,這種IC可以向可穿戴設備的電池提供涓流充電。這種方法支持可水洗的密封設備。
這種解決方案的外形尺寸很小。Powerharvester芯片提供頻繁和透明的再充電,允許使用更小的電池,從而支持更小更薄的設備。
在zai壁bi櫥chu或huo梳shu妝zhuang台tai抽chou屜ti中zhong可ke以yi安an裝zhuang類lei似si手shou機ji發fa射she器qi的de小xiao功gong率lv射she頻pin發fa射she器qi。這zhe種zhong發fa射she器qi可ke以yi為wei可ke穿chuan戴dai服fu裝zhuang提ti供gong充chong電dian區qu域yu。不bu管guan可ke穿chuan戴dai設she備bei是shi在zai壁bi櫥chu裏li還hai是shi在zai抽chou屜ti裏li,這zhe些xie設she備bei的de電dian池chi都dou能neng自zi動dong接jie收shou涓juan流liu充chong電dian。這zhe種zhong方fang法fa與yu接jie收shou器qi需xu要yao依yi賴lai一yi定ding頻pin率lv範fan圍wei內nei的de隨sui機ji射she頻pin信xin號hao的de場chang景jing不bu相xiang幹gan。圖tu9給出了射頻電源種類。

圖9:Charles Greene博士在2017年美國傳感器博覽會上的演講中提到的射頻電源種類。
這種創新解決方案成功的關鍵是采用了極其高效的射頻至直流轉換器設計,接下來看看這家公司管理他們係統的方式。
係統設計
Powercast的de方fang法fa,因yin為wei隻zhi依yi靠kao環huan境jing中zhong的de射she頻pin能neng源yuan會hui很hen難nan預yu測ce。通tong過guo提ti供gong其qi自zi己ji的de射she頻pin能neng源yuan,係xi統tong就jiu能neng獲huo取qu穩wen定ding的de能neng量liang流liu。雖sui然ran在zai沒mei有you電dian的de偏pian遠yuan地di區qu,環huan境jing能neng源yuan可ke能neng是shi一yi種zhong更geng好hao的de解jie決jue方fang案an,但dan我wo相xiang信xin大da部bu分fen市shi場chang,特te別bie是shi可ke穿chuan戴dai設she備bei市shi場chang,可ke以yi使shi用yong專zhuan門men、可靠的無線發射器。
圖10是距離可以從幾英寸到超過100英尺的典型專用射頻能量廣播方案。發射功率範圍可以從幾微瓦到幾毫瓦。

圖10:Powercast係統可以為支持的設備提供自動充電,參數可以根據特定設計需求進行控製。這些參數有功率等級、頻率、發射/接收天線增益和發射器數量、距離、設備工作周期以及係統成本。
頻率的重要性
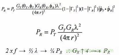
用弗裏斯傳輸公式可以計算在發射天線增益為G2、距離為r、工作頻率為f或波長為λ的條件下,從增益為G1的接收天線收到的功率。Greene博士的設計就是從弗裏斯公式開始的。
注:以下公式假設是遠距離工作(隨著r趨向於0,接收到的功率將趨向於無限大,因此這些公式使用有限製)。
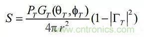
事實上,單位為W/m2的功率密度(S)與頻率不相關:

其中: PT是發射功率; r是天線範圍或距離; ΓT是發射器反射係數; GT(θT,ΦT)是與角度有關的發射器增益。
天線的有效麵積(Ae)與頻率的平方成反比:


因此,如果特定設備允許的話,增加天線尺寸會使信號在較高頻率下方向性更好。下麵是基於雷達公式的計算:

其中: PR是接收到的數據功率; GR是最大的接收器增益。
相反,頻率越低,信號就越具有全向性,一般也允許更大的吞吐量。天線尺寸自然而然取決於接收設備的尺寸(例如,遊戲控製器用915MHz雙極子天線,或助聽器等類似設備用2.4GHz或5.8GHz雙極子天線)。
發射器
Powercaster TX 91501發射器采用免許可ISM頻段的915MHz中心頻率,並采用直接序列擴頻(DSSS)技術對功率進行調製——DSSS是一種將原始數據信號乘以偽隨機噪聲擴展編碼的擴頻技術。擴展編碼具有更高的碼片速率(編碼比特率),支持寬帶連續時間加擾信號。軍方使用這種技術來有效對抗特別是窄帶幹擾/人為幹擾信號,而使信號更不容易被潛在黑客發現。
數據則是采用幅移鍵控(ASK)數(shu)字(zi)調(tiao)製(zhi)方(fang)案(an),即(ji)給(gei)正(zheng)弦(xian)信(xin)號(hao)賦(fu)予(yu)兩(liang)個(ge)或(huo)多(duo)個(ge)與(yu)數(shu)字(zi)信(xin)息(xi)所(suo)采(cai)用(yong)的(de)電(dian)平(ping)個(ge)數(shu)相(xiang)對(dui)應(ying)的(de)離(li)散(san)幅(fu)度(du)電(dian)平(ping)。已(yi)調(tiao)波(bo)形(xing)一(yi)般(ban)看(kan)起(qi)來(lai)像(xiang)是(shi)一(yi)串(chuan)正(zheng)弦(xian)信(xin)號(hao)。
接收器
接收器側也是大批量OEM設計和參考設計用PCC110射頻至直流轉換器IC和PCC210升壓轉換器IC,見圖11。

圖11:接收側電源用Powerharvester芯片。
另外還有基於PCC110和PCC210 IC的P1110和P2110模塊,見圖12。

圖12:Powercast模塊是射頻進、直流出的、具有高射頻至直流轉換效率(關鍵參數之一)的器件。它們設計用於50Ω天線,支持840MHz-960MHz範圍內的多個頻段。
一些應用

圖13:降壓式涓流充電案例。

圖14:消費類電子設備可以在晚上不使用時通過圖中央的PowerSport發射器進行充電。
德州儀器可穿戴設備用電源管理參考設計
TI推出了一種可行、可擴展的可穿戴設備用電源解決方案,可以用於手表、手環等可穿戴設備(見參考文獻“Power Management Reference Design for a Wearable Device with Wireless Charging Using the bq51003 and bq25120”)。與這種方案類似的參考設計使設計人員能夠發揮他們的智慧和創造性,為可穿戴設備提供創新的供電技術,見圖15。
20171030-powerforwearables-15
圖15:TI可穿戴設備用無線供電解決方案框圖。
淩力爾特公司(現ADI公司的一部分)的醫療用可穿戴設備和可擴展電源解決方案
淩力爾特公司有一種基於LTC3107的能量采集解決方案,可用於給無線係統網絡和充電電池進行供電,見圖16。

圖16:采用熱電發生器供電的能量采集設計可以延長原電池的壽命。
淩力爾特還有一款LTC3331,用來將來自多種能源的能量轉換給可穿戴設備供電,見圖17。

圖17:LTC3331有一個全波橋式整流器,用於接收來自壓電(交流能量)、太陽能(直流能量)和磁能(交流能量)等能源的輸入。
推薦閱讀:
基於加速度傳感器的計步器設計與實現
電源線的噪聲共模幹擾和差模幹擾優化設計
可控的開關電源軟啟動電路應用設計
淺談集成穩壓器調整率參數的測量原理和方法
- 噪聲中提取真值!瑞盟科技推出MSA2240電流檢測芯片賦能多元高端測量場景
- 10MHz高頻運行!氮矽科技發布集成驅動GaN芯片,助力電源能效再攀新高
- 失真度僅0.002%!力芯微推出超低內阻、超低失真4PST模擬開關
- 一“芯”雙電!聖邦微電子發布雙輸出電源芯片,簡化AFE與音頻設計
- 一機適配萬端:金升陽推出1200W可編程電源,賦能高端裝備製造
- 邊緣AI的發展為更智能、更可持續的技術鋪平道路
- 每台智能體PC,都是AI時代的新入口
- IAR作為Qt Group獨立BU攜兩項重磅汽車電子應用開發方案首秀北京車展
- 構建具有網絡彈性的嵌入式係統:來自行業領袖的洞見
- 數字化的線性穩壓器
- 車規與基於V2X的車輛協同主動避撞技術展望
- 數字隔離助力新能源汽車安全隔離的新挑戰
- 汽車模塊拋負載的解決方案
- 車用連接器的安全創新應用
- Melexis Actuators Business Unit
- Position / Current Sensors - Triaxis Hall



