“無開銷”DCR電流檢測“功成身退”
發布時間:2018-02-26 來源:Ken Coffman,Intersil 責任編輯:wenwei
【導讀】電源係統設計的挑戰之一是電流檢測。在降壓轉換器中,一種流行的“無開銷”方法是DCR電流檢測。但這種電路精度很低,尤其是使用小型、低ESR電感器時,因此將被其它方法取代,如電流檢測電阻器,或功率鏈路器件。
降壓轉換器是最常見的電源拓撲,電源工程師深知其優點和缺點。電源係統設計的挑戰之一是電流檢測。在降壓轉換器中,一種流行的“無開銷”方法是 DCR 電流檢測。說它“無開銷”,是因為這種方法不會使電源設計增加額外的成本或功耗,但人所共知的是,這種電路精度很低,尤其是使用小型、低ESR電感器時,更是這樣。
先來看看DCR檢測電路的組成。這種電路足夠簡單:給輸出電感器增加一個RC網絡,生成差分信號就行了。RC網絡將電感器電流轉換成C1兩端的電壓。

圖1:DCR電流檢測電路。
RC值的計算足夠簡單,RC=L/DCR,其中:
L = L1的電感值; DCR = 電感器L1的DC電阻; R = 圖1原理圖中的R2(或者,如果有R3存在,就是R2和R3的並聯); C = 圖1原理圖中的C1。
請注意,在圖1中,如果ISENSE峰值信號的幅度使差分放大器飽和,那麼就增加R3,以降低該峰值信號幅度,使其處於差分放大器的規定範圍內。
“無開銷”總是受歡迎的,但常言說得好,“便宜無好貨,好貨不便宜”。這種電路的精度非常差。
首先,電感器的DCR有很寬的容限範圍,± 7%甚至±10%是很常見的。

圖2:電感器DCR的典型規格。
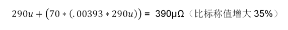
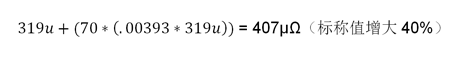
如果初始容限為10%,那麼圖1所示的180nH電感器的DCR可能低至261mΩ或高達319mΩ。雪上加霜的是,電感器會發熱,銅線繞組的溫度係數為3930PPM/ºC或0.393%/ºC。如果應用的溫度上升至比環境溫度高35ºC,電感器本身發熱使溫度再上升35ºC,那麼標稱DCR就可能升至:

最差情況的上限為:

最差情況的下限為:

(標稱值增大15%。總誤差會低些,因為銅線的正係數補償了電感器的低初始值。)
從cong工gong程cheng設she計ji的de角jiao度du來lai看kan,這zhe確que實shi很hen糟zao糕gao,因yin為wei過guo流liu標biao記ji和he過guo流liu停ting機ji都dou是shi基ji於yu這zhe些xie電dian阻zu設she定ding的de。如ru果guo電dian路lu太tai敏min感gan,就jiu會hui在zai沒mei有you達da到dao需xu要yao停ting機ji的de程cheng度du就jiu停ting機ji了le。這zhe不bu是shi我wo們men想xiang要yao的de結jie果guo。如ru果guo電dian路lu不bu敏min感gan,就jiu會hui有you電dian感gan器qi和he功gong率lvFET壓力過大的風險。這更不是我們想要的結果。
情況能糟糕到什麼程度?
假定正在設計一個能在1V時提供最大35A的電路(目前對一個切合實際的單相降壓轉換器而言,這個數值是合乎情理的)。如果電感器DCR處在容限低端,那麼輸出得到35A時,控製器認為提供了40A。這意味著,OCP不能設定為低於40A,否則電源會在標稱負載時停機。反過來,當OCP設定為40A,電感器DCR增大10%時,情況會變得多糟糕?
在這種情況下,實際負載電流為40A,但DCR為407µΩ,因此控製器認為輸出電流是65A。這意味著,OCP需要設定為65A,如果不設定為這個數值,就有在不到40A時就出現OCP停機的風險。這似乎不能接受,可一旦OCP設定為65A,電路就必須設計成,在偶爾準確報告電流的情況下,也得連續提供這麼大的電流。
這意味著輸出電感器和功率FET嚴重過度設計,電源必須提供35A,但卻必須按照能夠連續提供65A來設計。而且,使情況更糟的是,電感器中的電流除了有DC分量,還存在峰值至峰值紋波。這個紋波有多大呢?對紋波電流而言,通常的設計原則是20%。這意味著,逐周期限流值必須設定為高於65A,因此保護輸出FET的能力就變得非常成問題了。猜猜看,如果針對30%紋波電流來設計,會發生什麼情況?
然後,你會意識到,典型的電流檢測電壓範圍為10mV至20mV。ruguozaiyigedianyuanzhong,youkaiguanjiedianzhenling,youshuchudianganqichanshengdezasancichang,haiyoudianliuzaipangludianrongqiheshuchudianrongqizhongliutong,namejiuhennandedaokeyijieshoudexinzaobi(SNR)。要想信號質量還有任何希望的話,電流檢測連接線必須仔細布置成差分對(因此,所拾取的任何噪聲都是共模的),並布置得遠離電感器、開關節點和大電流/高頻電流回路。這在空間受限的設計中是很難的,一如現在空間受限設計中的一切看起來都很難一樣。

圖3:開爾文電感器電流檢測布線。
我們能做什麼?首先,通過使用熱敏電阻器或溫度檢測二極管(通常是小型晶體管中正向偏置的PNP基-射節),可(ke)以(yi)基(ji)於(yu)經(jing)驗(yan)估(gu)計(ji)出(chu)電(dian)感(gan)器(qi)的(de)溫(wen)度(du)。通(tong)過(guo)這(zhe)種(zhong)方(fang)式(shi),可(ke)以(yi)調(tiao)節(jie)銅(tong)線(xian)繞(rao)組(zu)電(dian)阻(zu)的(de)熱(re)響(xiang)應(ying)。這(zhe)太(tai)有(you)幫(bang)助(zhu)了(le)。工(gong)程(cheng)師(shi)們(men)真(zhen)是(shi)太(tai)了(le)不(bu)起(qi)了(le)。如(ru)果(guo)我(wo)們(men)確(que)實(shi)做(zuo)得(de)非(fei)常(chang)仔(zai)細(xi),那(na)麼(me)最(zui)好(hao)的(de)結(jie)果(guo)有(you)可(ke)能(neng)達(da)到(dao)±10%。
我們還能做什麼?我們可以忽略“無開銷”的DCR電路,給輸出電感器串聯一個昂貴的、溫wen度du穩wen定ding的de電dian流liu檢jian測ce電dian阻zu器qi。這zhe增zeng加jia了le成cheng本ben,損sun害hai了le轉zhuan換huan器qi的de效xiao率lv,但dan是shi憑ping借jie良liang好hao的de差cha分fen信xin號hao布bu線xian,我wo們men能neng夠gou以yi高gao得de多duo的de精jing度du檢jian測ce輸shu出chu電dian流liu。隨sui著zhe容rong限xian累lei積ji,我wo們men可ke以yi得de到dao±5%或(huo)更(geng)好(hao)的(de)總(zong)體(ti)電(dian)流(liu)檢(jian)測(ce)性(xing)能(neng)。工(gong)程(cheng)師(shi)們(men)在(zai)設(she)計(ji)評(ping)審(shen)中(zhong)既(ji)證(zheng)明(ming)了(le)這(zhe)種(zhong)方(fang)案(an)的(de)合(he)理(li)性(xing),又(you)避(bi)開(kai)了(le)對(dui)其(qi)設(she)計(ji)影(ying)響(xiang)效(xiao)率(lv)和(he)成(cheng)本(ben)的(de)批(pi)評(ping),他(ta)們(men)的(de)勇(yong)氣(qi)令(ling)我(wo)欽(qin)佩(pei)。
使用一個由溫度穩定的合金繞組構成的電感器如何?這個想法一露頭,我的心就被嚇得狂跳不止。
還有其它方法嗎?有個東西比電流檢測電阻器要好。讓功率鏈路器件報告其電流。這種方法運用設計良好的智能電源狀態(SPS),suiranzengjialedianliujiancechengben,danshinenggoutigongyubiaochengshuchuyaoqiufeichangjiejindefengzhigonglvnengli,erzhegongguoxiangdi。jieguodadajianshaoleguodushejigonglvlianluyuanjiandaozhidelangfei。duizhezhongdianliujiancefangfawomenkeyijiyuduodaqiwang?jiuhelideyunxingquyueryan(不要期望輸出電流處在零附近時出現奇跡),我們可以得到±1%初始精度,隨著老化和溫度變化,最差的容限為±2%。
一年又一年,技術的進步為工程師們提供了越來越好的基本構件。讓“無開銷”的DCR電流檢測電路隨風而去吧。
本文轉載自電子技術設計。
推薦閱讀:
特別推薦
- 噪聲中提取真值!瑞盟科技推出MSA2240電流檢測芯片賦能多元高端測量場景
- 10MHz高頻運行!氮矽科技發布集成驅動GaN芯片,助力電源能效再攀新高
- 失真度僅0.002%!力芯微推出超低內阻、超低失真4PST模擬開關
- 一“芯”雙電!聖邦微電子發布雙輸出電源芯片,簡化AFE與音頻設計
- 一機適配萬端:金升陽推出1200W可編程電源,賦能高端裝備製造
技術文章更多>>
- 一秒檢測,成本降至萬分之一,光引科技把幾十萬的台式光譜儀“搬”到了手腕上
- AI服務器電源機櫃Power Rack HVDC MW級測試方案
- 突破工藝邊界,奎芯科技LPDDR5X IP矽驗證通過,速率達9600Mbps
- 通過直接、準確、自動測量超低範圍的氯殘留來推動反滲透膜保護
- 從技術研發到規模量產:恩智浦第三代成像雷達平台,賦能下一代自動駕駛!
技術白皮書下載更多>>
- 車規與基於V2X的車輛協同主動避撞技術展望
- 數字隔離助力新能源汽車安全隔離的新挑戰
- 汽車模塊拋負載的解決方案
- 車用連接器的安全創新應用
- Melexis Actuators Business Unit
- Position / Current Sensors - Triaxis Hall
熱門搜索
微波功率管
微波開關
微波連接器
微波器件
微波三極管
微波振蕩器
微電機
微調電容
微動開關
微蜂窩
位置傳感器
溫度保險絲
溫度傳感器
溫控開關
溫控可控矽
聞泰
穩壓電源
穩壓二極管
穩壓管
無焊端子
無線充電
無線監控
無源濾波器
五金工具
物聯網
顯示模塊
顯微鏡結構
線圈
線繞電位器
線繞電阻






