開關電源主要部件的選型之電感L1
發布時間:2018-05-23 責任編輯:xueqi
【導讀】電感在開關電源中發揮著重要作用,本文ROHM將為大家介紹電感的選型方法。
電感:L1
電感L1如電路圖所示,由輸出電容器C5和LC濾波器共同組成。L1電感值的設置要使設備在不連續模式下工作。這是因為如果以連續模式工作,二極管的反向恢複時間、trr間的反向電流會導致二極管的損耗増加,而且該反向電流還會成為MOSFET導通時的峰值電流,因此MOSFET的損耗也會増加。為了避免這種問題而選擇不連續模式。

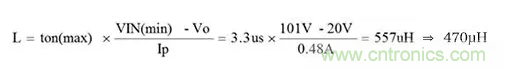
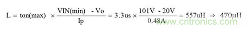
電感值的計算
首先計算電感值。設VIN為101V。假設90VAC條件下,峰值電壓為1.41倍,餘量為20%。
設 VIN = 90VAC×1.41×0.8 = 101V ,則:

Iomax取20%左右的餘量,得出:Iomax = 0.2A×1.2 = 0.24A。
設臨界點(峰值) Ip = Iomax×2 = 0.48A ,則:

根據該計算結果,選擇標準值470µH。
電感電流的計算
接下來計算電感電流,以確定電感的容許電流。
輸入電壓最大時,電感電流最大。最大輸入電壓為264VAC時,電源IC開關(MOSFET)的導通時間為IC的最小導通時間。根據輸出電壓和電感的電感值等條件,該最小導通時間約為0.6~1.5µs。
假設最大輸入電壓264VAC時的最小導通時間為1µs,則:

因此,應該選擇電感值470µH、電感電流0.8A以上的電感。必須要注意的是,一定要通過實際裝機來確認電感電流,確保是電感不飽和的。
特別推薦
- 噪聲中提取真值!瑞盟科技推出MSA2240電流檢測芯片賦能多元高端測量場景
- 10MHz高頻運行!氮矽科技發布集成驅動GaN芯片,助力電源能效再攀新高
- 失真度僅0.002%!力芯微推出超低內阻、超低失真4PST模擬開關
- 一“芯”雙電!聖邦微電子發布雙輸出電源芯片,簡化AFE與音頻設計
- 一機適配萬端:金升陽推出1200W可編程電源,賦能高端裝備製造
技術文章更多>>
- 築基AI4S:摩爾線程全功能GPU加速中國生命科學自主生態
- 一秒檢測,成本降至萬分之一,光引科技把幾十萬的台式光譜儀“搬”到了手腕上
- AI服務器電源機櫃Power Rack HVDC MW級測試方案
- 突破工藝邊界,奎芯科技LPDDR5X IP矽驗證通過,速率達9600Mbps
- 通過直接、準確、自動測量超低範圍的氯殘留來推動反滲透膜保護
技術白皮書下載更多>>
- 車規與基於V2X的車輛協同主動避撞技術展望
- 數字隔離助力新能源汽車安全隔離的新挑戰
- 汽車模塊拋負載的解決方案
- 車用連接器的安全創新應用
- Melexis Actuators Business Unit
- Position / Current Sensors - Triaxis Hall
熱門搜索




