詳解反激式變壓器開關電源
發布時間:2019-03-05 責任編輯:lina
【導讀】反激式開關dianyuanshuchuzhengliulvbodianluyuanlishangshizuijiandande。danshi,youyufanjishikaiguandianyuandenengliangchuandibixutongguobianyaqizhuanhuanshixian,bingyaqidechucijiliangcedekaiguan(MOSFET或整流二極管)均工作在電流斷續狀態。
反激式變壓器開關電源工作原理比較簡單,輸出電壓控製範圍比較大,因此,在一般電器設備中應用最廣。
反fan激ji式shi開kai關guan電dian源yuan輸shu出chu整zheng流liu濾lv波bo電dian路lu原yuan理li上shang是shi最zui簡jian單dan的de。但dan是shi,由you於yu反fan激ji式shi開kai關guan電dian源yuan的de能neng量liang傳chuan遞di必bi須xu通tong過guo變bian壓ya器qi轉zhuan換huan實shi現xian,並bing壓ya器qi的de初chu次ci級ji兩liang側ce的de開kai關guan(MOSFET或整流二極管)均工作在電流斷續狀態。在相同輸出功率條件下,反激式開關電源的開關流過的電流峰值和有效值大於正激式、橋式、推挽式開關電源。為了獲得更低的輸出電壓尖峰,通常的反激式開關電源工作在電感電流(變壓器儲能)斷續狀態,這就進一步增加了開關元件的電流額定。
開(kai)關(guan)電(dian)源(yuan)的(de)電(dian)路(lu)拓(tuo)撲(pu)對(dui)輸(shu)出(chu)整(zheng)流(liu)濾(lv)波(bo)電(dian)容(rong)器(qi)影(ying)響(xiang)也(ye)是(shi)非(fei)常(chang)大(da)的(de),由(you)於(yu)反(fan)激(ji)式(shi)開(kai)關(guan)電(dian)源(yuan)的(de)輸(shu)出(chu)電(dian)流(liu)斷(duan)續(xu)性(xing),其(qi)交(jiao)流(liu)分(fen)量(liang)需(xu)要(yao)由(you)輸(shu)出(chu)整(zheng)流(liu)濾(lv)波(bo)電(dian)容(rong)器(qi)吸(xi)收(shou),當(dang)電(dian)感(gan)電(dian)流(liu)斷(duan)續(xu)時(shi)輸(shu)出(chu)整(zheng)流(liu)濾(lv)波(bo)電(dian)容(rong)器(qi)的(de)需(xu)要(yao)吸(xi)收(shou)的(de)紋(wen)波(bo)電(dian)流(liu)相(xiang)對(dui)最(zui)大(da)。
對應的輸出整流二極管的電流波形如圖1,輸出濾波電容器的電流波形如圖2。

由圖1可以得到流過輸出整流二極管電流峰值與平均值、有效值的關係為如下。
流過輸出整流器的峰值電流與平均值電流的關係:
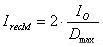
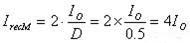
流過輸出整流器的有效值電流與峰值值電流的關係:
流過整流器的有效值電流與平均值電流的關係:
式中:IrecM、Irecrms、IO、Dmax分別為流過輸出整流器的峰值電流、有效值電流、平均值電流和輸出整流二極管的最大導通占空比。
流過輸出濾波電容器的電流有效值略小於流過輸出整流器的有效值電流。
式(1)、(2)、(3)表明,隨著輸出整流器導通占空比的減小,相同輸出電流平均值對應道德峰值電流、有效值電流隨占空比的減小而增加。
zaidaduoshuqingkuangxia,fanjishikaiguandianyuangongzuozaibianyaqidianliulinjiehuoduanxuzhuangtai。zaibianyaqidianliulinjiezhuangtaixia,chujicekaiguanguandaotongzhankongbiyushuchuzhengliuqidaotongzhankongbixiangjiawei1。
在大多數情況下,反激式開關電源的輸出整流器的最大導通占空比約為0.5。這樣,流過輸出整流器的電流峰值與輸出平均值電流之間的關係為:
有效值電流於輸出電流平均值的關係為:
特別推薦
- 噪聲中提取真值!瑞盟科技推出MSA2240電流檢測芯片賦能多元高端測量場景
- 10MHz高頻運行!氮矽科技發布集成驅動GaN芯片,助力電源能效再攀新高
- 失真度僅0.002%!力芯微推出超低內阻、超低失真4PST模擬開關
- 一“芯”雙電!聖邦微電子發布雙輸出電源芯片,簡化AFE與音頻設計
- 一機適配萬端:金升陽推出1200W可編程電源,賦能高端裝備製造
技術文章更多>>
- 突破工藝邊界,奎芯科技LPDDR5X IP矽驗證通過,速率達9600Mbps
- 通過直接、準確、自動測量超低範圍的氯殘留來推動反滲透膜保護
- 從技術研發到規模量產:恩智浦第三代成像雷達平台,賦能下一代自動駕駛!
- 從機械執行到智能互動:移遠Q-Robotbox助力具身智能加速落地
- 品英Pickering將亮相2026航空電子國際論壇,展示航電與電池測試前沿方案
技術白皮書下載更多>>
- 車規與基於V2X的車輛協同主動避撞技術展望
- 數字隔離助力新能源汽車安全隔離的新挑戰
- 汽車模塊拋負載的解決方案
- 車用連接器的安全創新應用
- Melexis Actuators Business Unit
- Position / Current Sensors - Triaxis Hall
熱門搜索
按鈕開關
白色家電
保護器件
保險絲管
北鬥定位
北高智
貝能科技
背板連接器
背光器件
編碼器型號
便攜產品
便攜醫療
變容二極管
變壓器
檳城電子
並網
撥動開關
玻璃釉電容
剝線機
薄膜電容
薄膜電阻
薄膜開關
捕魚器
步進電機
測力傳感器
測試測量
測試設備
拆解
場效應管
超霸科技



