使用近場探頭探測DC-DC轉換器電磁幹擾
發布時間:2019-08-14 責任編輯:lina
【導讀】板載DC-DC轉換器產生的電磁幹擾(EMI)是物聯網產品的常見問題。這些小電路通常在1MHz和3MHz之間以亞納秒級邊緣速率快速切換,結果產生超過2GHz的寬帶EMI。
板載DC-DC轉換器產生的電磁幹擾(EMI)是物聯網產品的常見問題。這些小電路通常在1MHz和3MHz之間以亞納秒級邊緣速率快速切換,結果產生超過2GHz的寬帶EMI。EMI會影響敏感接收器電路的靈敏度,尤其是蜂窩和全球導航衛星係統(GNSS)。
測量DC-DC轉換器EMI性能的一種有效方式是在時域中使用小型磁場(H-field)探頭測量上升時間和振鈴。通過將磁場探頭耦合到轉換器輸出電感器,即可實現非侵入性測量(如圖1所示)。

圖1:將探頭耦合到輸出電感器來探測典型物聯網板板載DC-DC電源轉換器產生的波形。電感器采用相對較大的圓形封裝,所以很容易識別。如圖所示,探頭應擺平,以實現最大耦合。
jiancekaiguanboxingshangdezhenlinghenzhongyao,yinweizhenlingpinlvkeyizhuanbianweifashetexingzhongdekuanfengzhi。cichangtantoukuaisueranquan,yinweitabuxuyaozhijielianjiedaodianlu,zhixuouhedaoDC-DC轉換器輸出電感器即可。
Rohde&Schwarz HZ-15近場探頭套件包括幾個磁場探頭(或環)。由(you)於(yu)想(xiang)要(yao)耦(ou)合(he)的(de)是(shi)走(zou)線(xian)和(he)元(yuan)件(jian)中(zhong)的(de)電(dian)流(liu),因(yin)此(ci)采(cai)用(yong)了(le)這(zhe)個(ge)類(lei)型(xing)。最(zui)大(da)的(de)那(na)個(ge)探(tan)頭(tou)太(tai)敏(min)感(gan),分(fen)辨(bian)率(lv)太(tai)低(di),不(bu)足(zu)以(yi)隔(ge)離(li)發(fa)射(she)源(yuan)。另(ling)一(yi)個(ge)直(zhi)徑(jing)約(yue)1厘米的較小探頭(型號RS H 50-1),適合在板級識別和探測EMI。簡單地將探頭連接到50Ω示波器輸入端,進行調整,可以獲得顯示良好的波形。
[編者注:Beehive、Com-Power、ETS-Lindgren、Keysight Technologies、Langer EMV、TekBox、Tektronix等公司均提供EMI探頭套件。]
我們用數學方法來驗證這種特征化測量(如圖2所示)。在電感器和磁場探頭之間可能存在某個未知的互耦因子(即下麵等式中的M)。由於我們不知道該互耦因子到底是多少,所以無法對振幅與示波器探頭實際測量的值進行比較。因為我們的目標是EMI,所以在這裏主要關注上升時間、一般開關波形和振鈴頻率(如果有的話)。

圖2:DC-DC轉換器輸出電感器的開關波形(SW)通過互感(M)耦合到磁場探頭。
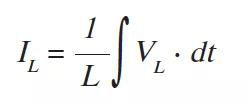
DC-DC轉換器通常具有準方波信號(VL),從轉換器開關節點(SW)和輸出電感器(L)輸入流到地回路,這就是我們要用示波器探頭進行測量的信號。通過電感的電流與電壓的關係如下:

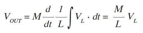
假設磁場探頭靠近電感器,得到一些互耦,M(未知),探頭的輸出是:

合並前麵兩個公式,得出:

然後提出常數M/L,得出VOUT∝V。
由於VOUT與VL成正比,因此可以輕鬆快速地測量最重要的EMI特性,而不會與示波器探針產生連接短路。將磁場探頭靠近每個DC-DC轉換器電感器,可以測量上升時間(表示諧波頻率的上限)、脈衝寬度和周期(也考慮諧波頻率),以及振鈴頻率(在寬帶頻譜中會導致出現寬諧振峰值)。
圖3和圖4比較了帶寬為GHz的RT-ZS20 1.5示波器探頭(帶短探針)和RS H 50-1磁場探頭的開關波形特性。除振幅外,測量結果類似。

圖3:使用耦合磁場探頭(上部跡線)和直連單端探頭(下部跡線)測量典型物聯網設備的DC-DC轉換器輸出電感,顯示了相似的波形。但使用磁場探頭可以快速測量上升時間、周期和振鈴,而沒有電路短路的風險。

圖4:DC-DC轉換器的振鈴測量,可能在8MHz時產生EMI寬峰值(加上高次諧波)。
將同樣的磁場探頭連接到Siglent SSA 3032X頻譜分析儀,其起始和終止頻率分別為1和500MHz,且具有120kHz的分辨率帶寬,結果在寬帶頻譜內得到8MHz諧振峰值(如圖5所示)。

圖5:DC-DC轉換器產生的寬帶頻譜在Marker1處顯示出8MHz諧振峰值。
在我見過的許多案例中,振鈴頻率很容易發生在100MHz左右,引起發射頻譜的寬峰值,在這種情況下,如果耦合到天線狀結構(通常是電纜),則可能導致EMI故障。
特別推薦
- 噪聲中提取真值!瑞盟科技推出MSA2240電流檢測芯片賦能多元高端測量場景
- 10MHz高頻運行!氮矽科技發布集成驅動GaN芯片,助力電源能效再攀新高
- 失真度僅0.002%!力芯微推出超低內阻、超低失真4PST模擬開關
- 一“芯”雙電!聖邦微電子發布雙輸出電源芯片,簡化AFE與音頻設計
- 一機適配萬端:金升陽推出1200W可編程電源,賦能高端裝備製造
技術文章更多>>
- 築基AI4S:摩爾線程全功能GPU加速中國生命科學自主生態
- 一秒檢測,成本降至萬分之一,光引科技把幾十萬的台式光譜儀“搬”到了手腕上
- AI服務器電源機櫃Power Rack HVDC MW級測試方案
- 突破工藝邊界,奎芯科技LPDDR5X IP矽驗證通過,速率達9600Mbps
- 通過直接、準確、自動測量超低範圍的氯殘留來推動反滲透膜保護
技術白皮書下載更多>>
- 車規與基於V2X的車輛協同主動避撞技術展望
- 數字隔離助力新能源汽車安全隔離的新挑戰
- 汽車模塊拋負載的解決方案
- 車用連接器的安全創新應用
- Melexis Actuators Business Unit
- Position / Current Sensors - Triaxis Hall
熱門搜索
微波功率管
微波開關
微波連接器
微波器件
微波三極管
微波振蕩器
微電機
微調電容
微動開關
微蜂窩
位置傳感器
溫度保險絲
溫度傳感器
溫控開關
溫控可控矽
聞泰
穩壓電源
穩壓二極管
穩壓管
無焊端子
無線充電
無線監控
無源濾波器
五金工具
物聯網
顯示模塊
顯微鏡結構
線圈
線繞電位器
線繞電阻


