靠在一起色環電感之間的互感量
發布時間:2021-06-03 來源:卓晴 責任編輯:wenwei
【導讀】對於很靠近的兩個色環電感之間的互感進行實驗測量。發現了大體他們之間的互感係數在0.3左右。但令人感到奇怪的是,無論兩個色環電感相互的極性如何,互感總是正的。具體現象見博文內容,但其中的道理何在呢?
§01 串聯色環電感
在昨天的 色環電感外部磁場泄露[1] 測ce試shi中zhong,初chu步bu探tan討tao了le使shi用yong色se環huan電dian感gan作zuo為wei天tian線xian放fang大da器qi扼e流liu圈quan負fu載zai的de情qing況kuang下xia,如ru何he避bi免mian由you於yu漏lou感gan引yin起qi的de放fang大da器qi磁ci耦ou合he自zi激ji振zhen蕩dang的de情qing況kuang。在zai留liu言yan區qu中zhong 佟超 給出了 一個非常有趣的建議:najiushiliyonglianggesehuandianganjubudianqichuanlianzaiyiqi,danjiegoushangbinglianzaiyiqi,bingqiejixingxiangfan,rucigouchengyigejubuzhuncihuandejiegou,keyidadajianshaowailoudecichangliang,tongshizaiyidingchengdushangyetigaolediangandedianganliang。xiamiantongguojuticelianglaijianyanzhezhonglianjiefangshiduiyulianggedianganzuizhongdedianganliang、漏磁場的影響。

參與實驗的兩個色環電感
測試所使用的兩個色環電感的參數,使用 NanoVNA[2] 測量電感在150kHz下的參數:
◎ 電感1的參數(@150kHz):
電感(uH):4158.6
串聯電阻(Ω):213.16
品質因子Q:18.39
◎ 電感2的參數(@150kHz):
電感(uH):4116.91
串聯電阻(Ω):212.17
品質因子Q:18.29
1.電感串聯
將兩個電感進行串聯,在空間上它們可以呈現不耦合(相距很遠),並行放在一起同相耦合和反向耦合。
(1)不耦合
◎ 串聯電感的參數(@150kHz):
電感(uH):8479.51
串聯電阻(Ω):648.05
品質因子Q:12.33

兩個電感不耦合
(2)同相耦合
◎ 串聯電感的參數(@150kHz):
電感(uH):11069.5
串聯電阻(Ω):804.99
品質因子Q:12.96

兩個電感串聯同相耦合
(3)反向耦合
◎ 串聯電感的參數(@150kHz):
電感(uH):10501.16
串聯電阻(Ω):579.53
品質因子Q:17.08

兩個電感串聯,反向耦合
2.電感並聯
(1)不耦合
◎ 串聯電感的參數(@150kHz):
電感(uH):2029.75
串聯電阻(Ω):75.46
品質因子Q:25.35

兩個電感並聯不耦合
(2)同相耦合
◎ 串聯電感的參數(@150kHz):
電感(uH):1617.11
串聯電阻(Ω):66.48
品質因子Q:22.92

兩個電感並聯,同相耦合
(3)反向耦合
◎ 串聯電感的參數(@150kHz):
電感(uH):1640.01
串聯電阻(Ω):62.91
品質因子Q:24.56

兩個電感並聯,反向耦合
3.結果總結
(1)電感測量表格
將上麵的測量結果總結在下麵的表格中。

(2)測量互感
根據 有互感的電感的串並聯[3] 考慮帶有互感的電感
串聯,互感
,串聯的電感為:
串聯的電感為:

那(na)麼(me)上(shang)麵(mian)的(de)測(ce)量(liang)結(jie)果(guo)來(lai)看(kan),當(dang)兩(liang)個(ge)電(dian)感(gan)靠(kao)在(zai)一(yi)起(qi)的(de)時(shi)候(hou),無(wu)論(lun)是(shi)他(ta)們(men)的(de)極(ji)性(xing)是(shi)相(xiang)同(tong),還(hai)是(shi)相(xiang)反(fan),所(suo)獲(huo)得(de)串(chuan)聯(lian)電(dian)感(gan)都(dou)是(shi)增(zeng)加(jia)的(de)。同(tong)樣(yang),對(dui)於(yu)並(bing)聯(lian),並(bing)聯(lian)在(zai)一(yi)起(qi),如(ru)果(guo)耦(ou)合(he)在(zai)一(yi)起(qi)對(dui)應(ying)的(de)電(dian)感(gan)也(ye)是(shi)降(jiang)低(di)了(le)。因(yin)此(ci),這(zhe)裏(li)其(qi)中(zhong)相(xiang)互(hu)耦(ou)合(he)M都是大於零的。
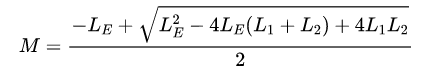
根據上麵的測量值,可以測量在不同耦合下對應的兩個電感之間的互感。串聯互感計算公式:
並聯互感計算公式:


可以看到放在一起的兩個色環電感,他們之間的互感總是大於零的。這一點是很奇怪的。他們之間的互感係數大體在0.3左右。
※ 總結討論 ※
通過實驗驗證了原來一直想知道的,當兩個色環電感靠近在一起他們之間的互感大體為0.3左右。令人想不到的是, 無論兩個電感的方向如何,他們之間的互感總是正的,而且大體在0.3左右。 。

靠近的兩個電感之間的磁場
關於為什兩個靠近的工字型的電感之間的互感總是正的?這一點還有點進一步的理解、探討。誰能告訴我其中的道理呢?
參考資料
[1]色環電感外部磁場泄露: https://zhuoqing.blog.csdn.net/article/details/116858591
[2]NanoVNA: https://zhuoqing.blog.csdn.net/article/details/116295857
[3]有互感的電感的串並聯: https://zhuoqing.blog.csdn.net/article/details/113498649
免責聲明:本文為轉載文章,轉載此文目的在於傳遞更多信息,版權歸原作者所有。本文所用視頻、圖片、文字如涉及作品版權問題,請聯係小編進行處理。
推薦閱讀:
特別推薦
- 噪聲中提取真值!瑞盟科技推出MSA2240電流檢測芯片賦能多元高端測量場景
- 10MHz高頻運行!氮矽科技發布集成驅動GaN芯片,助力電源能效再攀新高
- 失真度僅0.002%!力芯微推出超低內阻、超低失真4PST模擬開關
- 一“芯”雙電!聖邦微電子發布雙輸出電源芯片,簡化AFE與音頻設計
- 一機適配萬端:金升陽推出1200W可編程電源,賦能高端裝備製造
技術文章更多>>
- 一秒檢測,成本降至萬分之一,光引科技把幾十萬的台式光譜儀“搬”到了手腕上
- AI服務器電源機櫃Power Rack HVDC MW級測試方案
- 突破工藝邊界,奎芯科技LPDDR5X IP矽驗證通過,速率達9600Mbps
- 通過直接、準確、自動測量超低範圍的氯殘留來推動反滲透膜保護
- 從技術研發到規模量產:恩智浦第三代成像雷達平台,賦能下一代自動駕駛!
技術白皮書下載更多>>
- 車規與基於V2X的車輛協同主動避撞技術展望
- 數字隔離助力新能源汽車安全隔離的新挑戰
- 汽車模塊拋負載的解決方案
- 車用連接器的安全創新應用
- Melexis Actuators Business Unit
- Position / Current Sensors - Triaxis Hall
熱門搜索





