知道並理解!MOSFET特性
發布時間:2021-08-11 責任編輯:wenwei
【導讀】功率MOSFET在構造上,如圖1存在寄生容量 MOSFET的G (柵極) 端子和其他的電極間由氧化膜絕緣,DS (漏極、源極) 間形成PN接合,成為內置二極管構造。Cgs, Cgd容量根據氧化膜的靜電容量、Cds根據內置二極管的接合容量決定。
關於MOSFET的寄生容量和溫度特性
MOSFET的靜電容量
功率MOSFET在構造上,如圖1存在寄生容量。
功率MOSFET在構造上,如圖1存在寄生容量 MOSFET的G (柵極) 端子和其他的電極間由氧化膜絕緣,DS (漏極、源極) 間形成PN接合,成為內置二極管構造。Cgs, Cgd容量根據氧化膜的靜電容量、Cds根據內置二極管的接合容量決定。
圖1: MOSFET的容量模型

一般而言MOSFET規格書上記載的是表1中的Ciss/Coss/Crss三類。
表1 MOSFET的容量特性

容量特性如圖2所示,對DS (漏極、源極) 間電壓VDS存在依賴性。VDS大則容量值小。
圖2: 容量 - VDS 依存性

溫度特性
實測例見圖(1) ~ (3)所示
關於容量特性的溫度依存性幾乎沒有差異。
圖3: 容量溫度特性

關於MOSFET的開關及其溫度特性
關於MOSFET的開關時間
柵極電壓ON/OFF之後,MOSFET才ON/OFF。這個延遲時間為開關時間。開關時間如表1所示種類,一般而言,規格書上記載td(on)/ tr/ td(off)/ tf。
ROHM根據圖2電路的測定值決定規格書的typ.值。
表1: MOSFET的SW特性


溫度特性
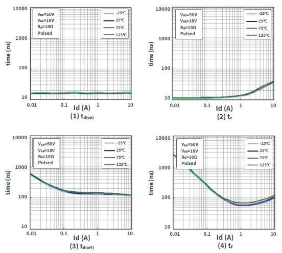
實測例如圖3(1)~(4)所示。
溫度上升的同時開關時間略微增加,但是100°C上升時增加10%成左右,幾乎沒有開關特性的溫度依存性。
圖3: 開關溫度特性

關於MOSFET的VGS(th)(界限値)
關於MOSFET的VGS(th)
MOSFET開啟時,GS (柵極、源極) 間需要的電壓稱為VGS(th)(界限值)。
即輸入界限值以上的電壓時MOSFET為開啟狀態。
那麼MOSFET在開啟狀態時能通過多少A電流?針對每個元件,在規格書的電氣特性欄裏分別有記載。
表1為規格書的電氣特性欄示例。該情況下,輸入VDS=10V時,使1mA電流通過ID所需的柵極界限值電壓ID(th)為1.0V to 2.5V。
表1: 規格書的電氣特性欄

ID-VGS特性和溫度特性
ID-VGS特性和界限值溫度特性的實測例如圖1、2所示。
如圖1,為了通過絕大部分電流,需要比較大的柵極電壓。
表1所記載的機型,其規格書上的界限值為2.5V以下,但是為4V驅動產品。
使用時請輸入使其充分開啟的柵極電壓。
如圖2,界限值隨溫度而下降。
通過觀察界限值電壓變化,能夠計算元件的通道溫度。

圖1: ID-VGS特性
圖2: 界限值溫度特性
免責聲明:本文為轉載文章,轉載此文目的在於傳遞更多信息,版權歸原作者所有。本文所用視頻、圖片、文字如涉及作品版權問題,請聯係小編進行處理。
推薦閱讀:
特別推薦
- 噪聲中提取真值!瑞盟科技推出MSA2240電流檢測芯片賦能多元高端測量場景
- 10MHz高頻運行!氮矽科技發布集成驅動GaN芯片,助力電源能效再攀新高
- 失真度僅0.002%!力芯微推出超低內阻、超低失真4PST模擬開關
- 一“芯”雙電!聖邦微電子發布雙輸出電源芯片,簡化AFE與音頻設計
- 一機適配萬端:金升陽推出1200W可編程電源,賦能高端裝備製造
技術文章更多>>
- 一秒檢測,成本降至萬分之一,光引科技把幾十萬的台式光譜儀“搬”到了手腕上
- AI服務器電源機櫃Power Rack HVDC MW級測試方案
- 突破工藝邊界,奎芯科技LPDDR5X IP矽驗證通過,速率達9600Mbps
- 通過直接、準確、自動測量超低範圍的氯殘留來推動反滲透膜保護
- 從技術研發到規模量產:恩智浦第三代成像雷達平台,賦能下一代自動駕駛!
技術白皮書下載更多>>
- 車規與基於V2X的車輛協同主動避撞技術展望
- 數字隔離助力新能源汽車安全隔離的新挑戰
- 汽車模塊拋負載的解決方案
- 車用連接器的安全創新應用
- Melexis Actuators Business Unit
- Position / Current Sensors - Triaxis Hall
熱門搜索
按鈕開關
白色家電
保護器件
保險絲管
北鬥定位
北高智
貝能科技
背板連接器
背光器件
編碼器型號
便攜產品
便攜醫療
變容二極管
變壓器
檳城電子
並網
撥動開關
玻璃釉電容
剝線機
薄膜電容
薄膜電阻
薄膜開關
捕魚器
步進電機
測力傳感器
測試測量
測試設備
拆解
場效應管
超霸科技



