BUCK-BOOST 拓撲電源原理及工作過程解析
發布時間:2023-05-06 責任編輯:lina
【導讀】在非隔離電源方案中,基礎拓撲的Buck、Boost、Buck-Boost電路中,前兩種已經在前麵章節進行了詳細描述。很多工程師對Buck和Boost電路都特別熟悉,隻是對Buck-Boost不熟悉。
在非隔離電源方案中,基礎拓撲的Buck、Boost、Buck-Boost電路中,前兩種已經在前麵章節進行了詳細描述。很多工程師對Buck和Boost電路都特別熟悉,隻是對Buck-Boost不熟悉。
Buck表示降壓,Boost表示升壓,那麼顧名思義,Buck-Boost表示升降壓。作為基本拓撲結構的Buck-Boost電路雖然可以升降壓,但是輸出跟輸入比確實一個極性相反的電壓,即:產生一個負壓。
Buck-Boost電路是一種常用的DC/DC變換電路,其輸出電壓既可低於也可高於輸入電壓,但輸出電壓的極性與輸入電壓相反。下麵我們詳細討論理想條件下,Buck-Boost 的原理、元器件選擇、設計實例以及實際應用中的注意事項。
電路原理
Buck-Boost電路簡圖如圖1。
當功率管Q1閉合時,電流的流向見圖2左側圖。
輸入端,電感L1直接接到電源兩端,此時電感電流逐漸上升。導通瞬態時di/dt很大,故此過程中主要由輸入電容CIN供電。輸出端,COUT依靠自身的放電為RL提供能量。當功率管Q1關斷時,電流的流向見圖2右側圖。輸入端VIN給輸入電容充電。輸出端,由於電感的電流不能突變,電感通過續流管D1給輸出電容COUT及負載RL供電。
係統穩定工作後,電感伏秒守恒。Q1 導通時,電感電壓等於輸入端電壓VIN;Q1關斷時,電感電壓等於輸出端電壓VOUT。設T為周期,TON為導通時間,TOFF為關斷時間,D為占空比(D=TON/T),下同。由電感伏秒守恒有:
由此可得:
占空比小於0.5時,輸出降壓;占空比大於0.5時,輸出升壓。以上式子隻考慮電壓的絕對值,未考慮輸出電壓的方向。
元器件計算及各點波形(電感電流連續模式)
以下均在電感電流連續模式下討論,即CCM。
首先我們先看一下各點理想情況下的波形:
電感 L1
通常ΔI可以取0.3倍的IIN+IOUT,在導通時,電感的電壓等於輸入電壓,電感感量可由下式計算:
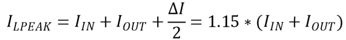
若按上述感量選擇電感,則流過電感的峰值電流:
實際應用應留有一定的餘量,電感的電流能力通常取1.5*(IIN+IOUT)以上
續流二極管D1
當Q1導通時,續流二極管的陰極SW點電壓為VIN,續流二極管的陽極電壓為-VOUT,故D1承受的電壓為:
當Q1關斷時,續流二極管續流,電流的峰值為ILPEAK,平均電流為IOUT。
由於二極管在高溫下漏電容易造成芯片的損壞,故通常要留有一定的餘量,其中電壓建議1.5倍的餘量。
功率管Q1
當Q1關斷時,SW點電壓被鉗位到-VOUT,故功率MOS承受的最大電壓:
當Q1導通時,Q1的電流峰值為ILPEAK,平均電流為IIN。
輸入電容
輸入電容紋波電流有效值可用下式計算:
如果設CIN電容在MOS導通時,電壓跌落不超過ΔV1,則可用下式計算最小容量:
設計實例
要求
輸入電壓10~14V,輸出電壓-5V,輸出電流1A,選取合適的芯片,並計算主要元器件參數。
解決步驟
1.計算輸入電流:輸出功率約5W,輸入最大電流,假設80%的效率,則輸入電流為 5W/0.8/10V=0.625A;:
2.計算輸入峰值電流:1.15*(1A+0.625A)=1.87A;
3.計算功率管、續流肖特基管峰值電壓:|-5V|+|14V|=29V;
4.選擇合適的芯片,可選耐壓為40V左右,電流能力大於2A以上的BUCK降壓芯片,此處選擇XL4201;
5.計算10V時的占空比:D=5V/(5V+10V)=0.33;
6.計算電感量:L=0.33*10V/(0.3*150KHz*(1A+0.625A))=45uH;
7.計算最小電流能力IL=1.5*(1A+0.625A)=2.44A,選用47uh/3 電感;
8.肖特基二極管耐壓要大於29V,平均電流1A,峰值電流約1.87A,可選SS36;
9.輸入電容紋波電流有效值:ICINRMS=0.625A*sqrt((1-0.33)/0.33)=0.89A,“sqrt”代表根號;
10.假設輸入電壓最大跌落0.05V,則CIN=(1-0.33)*0.625A/(0.05V*150KHz)=56uF,選用47uF電解電容;
11.輸出電容紋波電流有效值:ICOUTRMS=1A*sqrt(0.33/(1-0.33))=0.70A;
12.假設輸出放電電壓最大跌落0.05V,則COUT=0.33*1A/(0.05V*150KHz)=44uF,選用100uF電解電容。
實際電路可參考下圖:
注意事項
1. 芯片與肖特基二極管D1的耐壓均要大於輸入電壓與輸出電壓絕對值之和;
2. CINB與C1為芯片提供純淨電源,CINB可以選用10uF以上電容即可;
3. 芯片的GND引腳與輸入、輸出功率地不是同一屬性,注意區分;
4. BUCK-BOOST電路的效率要低於單純的BUCK或BOOST電路,實際使用時要注意多留餘量。
(來源:硬件十萬個為什麼微信公眾號)
免責聲明:本文為轉載文章,轉載此文目的在於傳遞更多信息,版權歸原作者所有。本文所用視頻、圖片、文字如涉及作品版權問題,請聯係小編進行處理。
推薦閱讀:
- 噪聲中提取真值!瑞盟科技推出MSA2240電流檢測芯片賦能多元高端測量場景
- 10MHz高頻運行!氮矽科技發布集成驅動GaN芯片,助力電源能效再攀新高
- 失真度僅0.002%!力芯微推出超低內阻、超低失真4PST模擬開關
- 一“芯”雙電!聖邦微電子發布雙輸出電源芯片,簡化AFE與音頻設計
- 一機適配萬端:金升陽推出1200W可編程電源,賦能高端裝備製造
- 邊緣AI的發展為更智能、更可持續的技術鋪平道路
- 每台智能體PC,都是AI時代的新入口
- IAR作為Qt Group獨立BU攜兩項重磅汽車電子應用開發方案首秀北京車展
- 構建具有網絡彈性的嵌入式係統:來自行業領袖的洞見
- 數字化的線性穩壓器
- 車規與基於V2X的車輛協同主動避撞技術展望
- 數字隔離助力新能源汽車安全隔離的新挑戰
- 汽車模塊拋負載的解決方案
- 車用連接器的安全創新應用
- Melexis Actuators Business Unit
- Position / Current Sensors - Triaxis Hall





