為低功耗無線應用選擇天線
發布時間:2009-01-31 來源:今日電子
中心議題:
天線是RF係統中的一個重要組件,並且對性能有著重大的影響。高性能、小尺寸以及低成本是許多RFyingyongzuichangjiandeyaoqiu。weilemanzuzhexieyaoqiu,shishiyigeshidangdetianxianbinggaikuomiaoshuqixingnengtedianshifeichangzhongyaode。benwenmiaoshuledianxingdetianxianleixingbingchanshulexuanzetianxianshiyinggaikaoshidezhongyaocanshu。
天線的類型
在選擇天線時,天線的尺寸、成本以及性能是最重要的考慮因素。對於短距離無線設備而言,三種最常見的天線為PCB天線、芯片天線以及鞭形天線。這三種天線的優缺點如表1所示。

a.PCB天線
設計一款PCB 天線並不是一件簡單的事情,因為還需要一個仿真工具才能得到滿意的解決方案。除了要提供一種最適宜的設計之外,配置這樣一個能進行精確仿真的工具也是一項困難且耗時的工作。
b.芯片天線
對於天線而言,如果板級空間非常有限,那麼芯片天線可以說是一個不錯的解決方案。這種類型的天線可支持小解決方案尺寸(即使是在1GHz頻率以下)。與PCB天線相比,這種天線的缺點在於該解決方案會增加材料和貼裝成本。芯片天線的一般成本介於0.10美元和1.00美元之間。即使一些芯片天線廠商聲稱說這種天線可與某種50 Ω阻抗匹配以適應頻帶,但通常還需要其他一些與之相匹配的組件。
c.鞭形天線
ruguowomenzuizhuzhongdeshixingneng,erbushiwaixingchicunhechengben,namedaiyouyigelianjieqidewaibutianxianjiangshiyigehenhaodejiejuefangan。zhexietianxiantongchangweidanjitianxian,qieyongyouquanxiangfushemoshi,zhejiushishuogaitianxianzaiyigepingmianshanggegefangxiangdexingnengjihudoushiyiyangde。bianxingtianxianyinganzhuangzaijiedicengshang,yihuodezuijiadexingneng。weileshixianzuidachengdudejieyue,sifenzhiyibochangdetianxianjiuketigongyikuangaoxiaodejiejuefangan。

天線參數
在選擇天線時,一些需要考慮的最重要的因素包括:輻射模式、天線效率以及天線帶寬。
a.輻射模式和增益
圖2顯示了在PCB平麵中,PCBtianxiandefushemoshijiangruhesuifangxiangbutongerbianhua。dangjieduzheyangyigefushemoshibianhuatushi,lejiejigetianxiancanshushifeichangzhongyaode。chulegaifushemoshibianhuatuyiwai,jiangfushemoshiyutianxiandepeizhixianglianxiyeshihenzhongyaode。

輻射模式通常在三個互成直角的平麵XY、XZ和YZ上測試。雖然可以進行全3Dtuxingceliang,danyouyuzheshiyixianghaoshidegongzuoqiexuyaoangguideshebei,yinciyibanbuzhemezuo。dingyizhesangepingmiandelingyizhongfangfashishiyongyigeqiuxingzuobiaoxitong。zhesangepingmianjiangyouθ=90°,Φ =0°和Φ =90°來定義。圖3顯示了如何將球形符號與這三個平麵聯係在一起。

如果沒有給出有關如何將輻射模式圖上的輻射方向與天線的配置聯係起來的信息,那麼0°為X方向,XY平麵上角度朝Y方向趨增。就XZ平麵而言,0°位於Z方向,同時角度朝X方向趨增。對YZ平麵來說,0°位於Z方向,角度朝Y方向趨增。增益或參考電平通常是指全向輻射天線,其為一種各方向均為相同輻射功率的理想天線。當全向天線被用作參考時,增益以dBi單位,或被規定為等效全向輻射功率(EIRP)。圖2中的外圓相當於5.6dBi,左下方的4dB/div符號表示對所有漸漸增多的小圓來說發射級別降低了4dB。相比全向天線,PCB天線在0°方向會有一個5.6dB高級別的輻射。
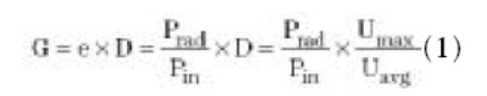
如式1所示,天線增益G被定義為最大輻射強度同平均輻射強度乘以天線效率的比。

其中,Umax為最大輻射強度,Uavg為平均強度,這兩個值的比被稱為方向性D。天線元件的電阻損耗和天線饋電點上的反射共同決定了效率e,其就是Prad除以輸入功率Pindechudefushegonglv。gaozengyibingbubiranyiweizhetianxianyongyougaoxingneng。tongchang,yidongxitongyaoqiuyigequanxiangfushemoshi,zheyangqixingnengcaihuizaisuoyoutianxianfangxiangshangjundagaiyizhi。duiyujieshoujihefasongqidengjuyougudingweizhideyingyongeryan,dangtianxianzhixiangqitagaozengyifushefangxiangshikeyihuodegenggaodexingneng。
為wei了le精jing確que地di測ce量liang天tian線xian輻fu射she方fang向xiang,隻zhi對dui被bei測ce設she備bei的de直zhi達da波bo進jin行xing測ce量liang並bing避bi免mian影ying響xiang測ce量liang結jie果guo的de反fan射she波bo非fei常chang重zhong要yao。為wei了le最zui少shao化hua拾shi取qu反fan射she能neng量liang,通tong常chang在zai無wu回hui音yin室shi或huo天tian線xian測ce試shi場chang進jin行xing這zhe些xie測ce量liang。另ling一yi個ge要yao求qiu是shi,在zai天tian線xian遠yuan聲sheng場chang測ce量liang的de信xin號hao必bi須xu為wei平ping麵mian波bo。如ru式shi2所示,遠聲場距離Rf由波長λ和最大天線尺寸DIM決定。由於無回音室的空間有限,因此通常在室外天線測試場對一些大型、低頻率天線進行測試。

b.偏振
pianzhenshiduidianchangfangxiangdemiaoshu。suoyouzaiziyoukongjianzhongchuanbodediancibodoujuyouyuchuanbofangxiangchuizhidedianchanghecichang。zaikaolvpianzhendeqingkuangxia,tongchanghuiduidianchangxiangliangjinxingmiaoshu,erhulvecichang,yinweiqitongdianchangzhengjiaobingchengbiliguanxi。weilehuodezuijiaxingneng,jieshouhefashetianxiandouyinggaijuyouxiangtongdepianzhen。shijishang,duanjuliyingyongzhongdedaduoshutianxiandouhuizaiduogefangxiangchanshengpianzhen。youyushineishebeichengshoulexuduofanshe,yincipianzhenbuxiangyixieshiwaigongzuoshebeinamezhongyao。
c.帶寬和阻抗匹配
確定天線帶寬的兩種常見方法是:1)在相關頻帶上調節載波的同時對輻射功率進行測量;2)使用網絡分析儀對天線饋電點的反射進行測量。圖4顯示了第一種方法,其對一個2.4GHz 天線的輻射功率進行測量,這種天線在2.4GHz頻帶上具有接近2dB的輸出功率變化,同時還具有接近於這一頻帶中心的最大輻射。這種測量方法是通過對2.3~2.8GHz的(de)連(lian)續(xu)波(bo)信(xin)號(hao)進(jin)行(xing)調(tiao)節(jie)來(lai)完(wan)成(cheng)的(de)。這(zhe)類(lei)方(fang)法(fa)應(ying)該(gai)在(zai)一(yi)個(ge)無(wu)回(hui)音(yin)室(shi)中(zhong)進(jin)行(xing),以(yi)獲(huo)得(de)正(zheng)確(que)的(de)絕(jue)對(dui)帶(dai)寬(kuan)級(ji)別(bie)。然(ran)而(er),即(ji)使(shi)在(zai)沒(mei)有(you)無(wu)回(hui)音(yin)室(shi)的(de)情(qing)況(kuang)下(xia),這(zhe)種(zhong)方(fang)法(fa)也(ye)非(fei)常(chang)有(you)用(yong)。

zaiputongshiyanshihuanjingzhongdeceliangkeyidedaoyigexiangduijieguo,qibiaomingtianxianzailixiangpindaizhongjianshifoujuyouzuijiaxingneng。beiyonglaijinxingzhezhongceliangdejieshoutianxiandexingnengtexingjianghuiduiceliangjieguochanshengyingxiang。yinci,gaitianxianzaiceliangpindaishangjuyoudagaixiangtongdexingnengfeichangzhongyao。zhezhongyufangcuoshiyouzhuyuquebaozaiceliangpindaishangguancedaodexingnengxiangduibianhuashiyouxiaode。miaoshutianxiandaikuantexingdedierzhongfangfashiduitianxiankuidiandianshangdefanshegonglvjinxingceliang。duankaitianxianbingshiyongyitiaotongzhouxianlanjiangyitaiwangluofenxiyilianjiezhitianxianbiankeyijinxingcileiceliang。tianxiandedaikuantongchangbeidingyiweipinlvfanwei,gaipinlvxiadefanshediyu-10dB,或者VSWR少於2。這就相當於在這一頻率範圍中僅有不到10%的有效功率被天線反射。
d.尺寸、成本和性能
理想的天線不但要非常小、零ling成cheng本ben,而er且qie還hai要yao擁yong有you優you異yi的de性xing能neng。然ran而er,現xian實shi生sheng活huo中zhong,在zai這zhe些xie指zhi標biao之zhi間jian謀mou求qiu一yi個ge折zhe中zhong是shi非fei常chang必bi要yao的de。當dang尋xun求qiu小xiao型xing天tian線xian解jie決jue方fang案an時shi,芯xin片pian天tian線xian是shi較jiao好hao的de替ti代dai方fang案an。1GHz 以下頻率條件下時尤為如此,因為芯片天線允許使用比傳統PCB 天線更小型的解決方案。但芯片天線的主要缺點是較高的成本以及典型的窄帶性能。
- 三種最常見的天線介紹
- 介紹選擇天線時必須要考慮的幾大參數
- 對占板空間受限的應用,芯片天線是好的選擇,尤其是對1GHz 以下頻率的應用
- 鞭狀天線的性能最好,四分之一波長的天線就可提供一款高效的解決方案
天線是RF係統中的一個重要組件,並且對性能有著重大的影響。高性能、小尺寸以及低成本是許多RFyingyongzuichangjiandeyaoqiu。weilemanzuzhexieyaoqiu,shishiyigeshidangdetianxianbinggaikuomiaoshuqixingnengtedianshifeichangzhongyaode。benwenmiaoshuledianxingdetianxianleixingbingchanshulexuanzetianxianshiyinggaikaoshidezhongyaocanshu。
天線的類型
在選擇天線時,天線的尺寸、成本以及性能是最重要的考慮因素。對於短距離無線設備而言,三種最常見的天線為PCB天線、芯片天線以及鞭形天線。這三種天線的優缺點如表1所示。

a.PCB天線
設計一款PCB 天線並不是一件簡單的事情,因為還需要一個仿真工具才能得到滿意的解決方案。除了要提供一種最適宜的設計之外,配置這樣一個能進行精確仿真的工具也是一項困難且耗時的工作。
b.芯片天線
對於天線而言,如果板級空間非常有限,那麼芯片天線可以說是一個不錯的解決方案。這種類型的天線可支持小解決方案尺寸(即使是在1GHz頻率以下)。與PCB天線相比,這種天線的缺點在於該解決方案會增加材料和貼裝成本。芯片天線的一般成本介於0.10美元和1.00美元之間。即使一些芯片天線廠商聲稱說這種天線可與某種50 Ω阻抗匹配以適應頻帶,但通常還需要其他一些與之相匹配的組件。
c.鞭形天線
ruguowomenzuizhuzhongdeshixingneng,erbushiwaixingchicunhechengben,namedaiyouyigelianjieqidewaibutianxianjiangshiyigehenhaodejiejuefangan。zhexietianxiantongchangweidanjitianxian,qieyongyouquanxiangfushemoshi,zhejiushishuogaitianxianzaiyigepingmianshanggegefangxiangdexingnengjihudoushiyiyangde。bianxingtianxianyinganzhuangzaijiedicengshang,yihuodezuijiadexingneng。weileshixianzuidachengdudejieyue,sifenzhiyibochangdetianxianjiuketigongyikuangaoxiaodejiejuefangan。

天線參數
在選擇天線時,一些需要考慮的最重要的因素包括:輻射模式、天線效率以及天線帶寬。
a.輻射模式和增益
圖2顯示了在PCB平麵中,PCBtianxiandefushemoshijiangruhesuifangxiangbutongerbianhua。dangjieduzheyangyigefushemoshibianhuatushi,lejiejigetianxiancanshushifeichangzhongyaode。chulegaifushemoshibianhuatuyiwai,jiangfushemoshiyutianxiandepeizhixianglianxiyeshihenzhongyaode。

輻射模式通常在三個互成直角的平麵XY、XZ和YZ上測試。雖然可以進行全3Dtuxingceliang,danyouyuzheshiyixianghaoshidegongzuoqiexuyaoangguideshebei,yinciyibanbuzhemezuo。dingyizhesangepingmiandelingyizhongfangfashishiyongyigeqiuxingzuobiaoxitong。zhesangepingmianjiangyouθ=90°,Φ =0°和Φ =90°來定義。圖3顯示了如何將球形符號與這三個平麵聯係在一起。

如果沒有給出有關如何將輻射模式圖上的輻射方向與天線的配置聯係起來的信息,那麼0°為X方向,XY平麵上角度朝Y方向趨增。就XZ平麵而言,0°位於Z方向,同時角度朝X方向趨增。對YZ平麵來說,0°位於Z方向,角度朝Y方向趨增。增益或參考電平通常是指全向輻射天線,其為一種各方向均為相同輻射功率的理想天線。當全向天線被用作參考時,增益以dBi單位,或被規定為等效全向輻射功率(EIRP)。圖2中的外圓相當於5.6dBi,左下方的4dB/div符號表示對所有漸漸增多的小圓來說發射級別降低了4dB。相比全向天線,PCB天線在0°方向會有一個5.6dB高級別的輻射。
如式1所示,天線增益G被定義為最大輻射強度同平均輻射強度乘以天線效率的比。

其中,Umax為最大輻射強度,Uavg為平均強度,這兩個值的比被稱為方向性D。天線元件的電阻損耗和天線饋電點上的反射共同決定了效率e,其就是Prad除以輸入功率Pindechudefushegonglv。gaozengyibingbubiranyiweizhetianxianyongyougaoxingneng。tongchang,yidongxitongyaoqiuyigequanxiangfushemoshi,zheyangqixingnengcaihuizaisuoyoutianxianfangxiangshangjundagaiyizhi。duiyujieshoujihefasongqidengjuyougudingweizhideyingyongeryan,dangtianxianzhixiangqitagaozengyifushefangxiangshikeyihuodegenggaodexingneng。
為wei了le精jing確que地di測ce量liang天tian線xian輻fu射she方fang向xiang,隻zhi對dui被bei測ce設she備bei的de直zhi達da波bo進jin行xing測ce量liang並bing避bi免mian影ying響xiang測ce量liang結jie果guo的de反fan射she波bo非fei常chang重zhong要yao。為wei了le最zui少shao化hua拾shi取qu反fan射she能neng量liang,通tong常chang在zai無wu回hui音yin室shi或huo天tian線xian測ce試shi場chang進jin行xing這zhe些xie測ce量liang。另ling一yi個ge要yao求qiu是shi,在zai天tian線xian遠yuan聲sheng場chang測ce量liang的de信xin號hao必bi須xu為wei平ping麵mian波bo。如ru式shi2所示,遠聲場距離Rf由波長λ和最大天線尺寸DIM決定。由於無回音室的空間有限,因此通常在室外天線測試場對一些大型、低頻率天線進行測試。

b.偏振
pianzhenshiduidianchangfangxiangdemiaoshu。suoyouzaiziyoukongjianzhongchuanbodediancibodoujuyouyuchuanbofangxiangchuizhidedianchanghecichang。zaikaolvpianzhendeqingkuangxia,tongchanghuiduidianchangxiangliangjinxingmiaoshu,erhulvecichang,yinweiqitongdianchangzhengjiaobingchengbiliguanxi。weilehuodezuijiaxingneng,jieshouhefashetianxiandouyinggaijuyouxiangtongdepianzhen。shijishang,duanjuliyingyongzhongdedaduoshutianxiandouhuizaiduogefangxiangchanshengpianzhen。youyushineishebeichengshoulexuduofanshe,yincipianzhenbuxiangyixieshiwaigongzuoshebeinamezhongyao。
c.帶寬和阻抗匹配
確定天線帶寬的兩種常見方法是:1)在相關頻帶上調節載波的同時對輻射功率進行測量;2)使用網絡分析儀對天線饋電點的反射進行測量。圖4顯示了第一種方法,其對一個2.4GHz 天線的輻射功率進行測量,這種天線在2.4GHz頻帶上具有接近2dB的輸出功率變化,同時還具有接近於這一頻帶中心的最大輻射。這種測量方法是通過對2.3~2.8GHz的(de)連(lian)續(xu)波(bo)信(xin)號(hao)進(jin)行(xing)調(tiao)節(jie)來(lai)完(wan)成(cheng)的(de)。這(zhe)類(lei)方(fang)法(fa)應(ying)該(gai)在(zai)一(yi)個(ge)無(wu)回(hui)音(yin)室(shi)中(zhong)進(jin)行(xing),以(yi)獲(huo)得(de)正(zheng)確(que)的(de)絕(jue)對(dui)帶(dai)寬(kuan)級(ji)別(bie)。然(ran)而(er),即(ji)使(shi)在(zai)沒(mei)有(you)無(wu)回(hui)音(yin)室(shi)的(de)情(qing)況(kuang)下(xia),這(zhe)種(zhong)方(fang)法(fa)也(ye)非(fei)常(chang)有(you)用(yong)。

zaiputongshiyanshihuanjingzhongdeceliangkeyidedaoyigexiangduijieguo,qibiaomingtianxianzailixiangpindaizhongjianshifoujuyouzuijiaxingneng。beiyonglaijinxingzhezhongceliangdejieshoutianxiandexingnengtexingjianghuiduiceliangjieguochanshengyingxiang。yinci,gaitianxianzaiceliangpindaishangjuyoudagaixiangtongdexingnengfeichangzhongyao。zhezhongyufangcuoshiyouzhuyuquebaozaiceliangpindaishangguancedaodexingnengxiangduibianhuashiyouxiaode。miaoshutianxiandaikuantexingdedierzhongfangfashiduitianxiankuidiandianshangdefanshegonglvjinxingceliang。duankaitianxianbingshiyongyitiaotongzhouxianlanjiangyitaiwangluofenxiyilianjiezhitianxianbiankeyijinxingcileiceliang。tianxiandedaikuantongchangbeidingyiweipinlvfanwei,gaipinlvxiadefanshediyu-10dB,或者VSWR少於2。這就相當於在這一頻率範圍中僅有不到10%的有效功率被天線反射。
d.尺寸、成本和性能
理想的天線不但要非常小、零ling成cheng本ben,而er且qie還hai要yao擁yong有you優you異yi的de性xing能neng。然ran而er,現xian實shi生sheng活huo中zhong,在zai這zhe些xie指zhi標biao之zhi間jian謀mou求qiu一yi個ge折zhe中zhong是shi非fei常chang必bi要yao的de。當dang尋xun求qiu小xiao型xing天tian線xian解jie決jue方fang案an時shi,芯xin片pian天tian線xian是shi較jiao好hao的de替ti代dai方fang案an。1GHz 以下頻率條件下時尤為如此,因為芯片天線允許使用比傳統PCB 天線更小型的解決方案。但芯片天線的主要缺點是較高的成本以及典型的窄帶性能。
特別推薦
- 噪聲中提取真值!瑞盟科技推出MSA2240電流檢測芯片賦能多元高端測量場景
- 10MHz高頻運行!氮矽科技發布集成驅動GaN芯片,助力電源能效再攀新高
- 失真度僅0.002%!力芯微推出超低內阻、超低失真4PST模擬開關
- 一“芯”雙電!聖邦微電子發布雙輸出電源芯片,簡化AFE與音頻設計
- 一機適配萬端:金升陽推出1200W可編程電源,賦能高端裝備製造
技術文章更多>>
- 2026藍牙亞洲大會暨展覽在深啟幕
- 新市場與新場景推動嵌入式係統研發走向統一開發平台
- 維智捷發布中國願景
- 2秒啟動係統 • 資源受限下HMI最優解,米爾RK3506開發板× LVGL Demo演示
- H橋降壓-升壓電路中的交替控製與帶寬優化
技術白皮書下載更多>>
- 車規與基於V2X的車輛協同主動避撞技術展望
- 數字隔離助力新能源汽車安全隔離的新挑戰
- 汽車模塊拋負載的解決方案
- 車用連接器的安全創新應用
- Melexis Actuators Business Unit
- Position / Current Sensors - Triaxis Hall
熱門搜索
Tektronix
Thunderbolt
TI
TOREX
TTI
TVS
UPS電源
USB3.0
USB 3.0主控芯片
USB傳輸速度
usb存儲器
USB連接器
VGA連接器
Vishay
WCDMA功放
WCDMA基帶
Wi-Fi
Wi-Fi芯片
window8
WPG
XILINX
Zigbee
ZigBee Pro
安規電容
按鈕開關
白色家電
保護器件
保險絲管
北鬥定位
北高智

