專家支招:如何減少集成電路中的天線效應
發布時間:2014-02-25 責任編輯:sherryyu
如ru摩mo爾er定ding律lv所suo述shu,數shu十shi年nian來lai,集ji成cheng電dian路lu的de密mi度du和he性xing能neng迅xun猛meng增zeng長chang。眾zhong所suo周zhou知zhi,這zhe種zhong高gao速su增zeng長chang的de趨qu勢shi總zong有you一yi天tian會hui結jie束shu,人ren們men隻zhi是shi不bu知zhi道dao當dang這zhe一yi刻ke來lai臨lin時shi,集ji成cheng電dian路lu 的de密mi度du和he性xing能neng到dao底di能neng達da到dao何he種zhong程cheng度du。隨sui著zhe技ji術shu的de發fa展zhan,集ji成cheng電dian路lu密mi度du不bu斷duan增zeng加jia,而er柵zha氧yang化hua層ceng寬kuan度du不bu斷duan減jian少shao,超chao大da規gui模mo集ji成cheng電dian路lu中zhong常chang見jian的de多duo種zhong效xiao應ying變bian得de原yuan來lai越yue重zhong要yao並bing難nan 以控製。天線效應便是其中之一。在過去的二十年中,半導體技術得以迅速發展,催生出更小規格、更高封裝密度、更高速電路、更低功耗的產品。本文將討論天線 效應以及減少天線效應的解決方案。
天線效應
天線效應或等離子導致柵氧損傷是指:在MOS集成電路生產過程中,一種可潛在影響產品產量和可靠性的效應。
目前,平版印刷工藝采用“等離子刻蝕”法(或“幹法刻蝕”)製造集成電路。等離子是一種用於刻蝕的離子化/活性氣體。它可進行超級模式控製(更鋒利邊 緣/更少咬邊),並實現多種在傳統刻蝕中無法實現的化學反應。但凡事都有兩麵性,它還帶來一些副作用,其中之一就是充電損傷。
等離子充電損傷是指在等離子處理過程中,MOSFET 中(zhong)產(chan)生(sheng)的(de)柵(zha)氧(yang)化(hua)層(ceng)的(de)非(fei)預(yu)期(qi)高(gao)場(chang)應(ying)力(li)。在(zai)等(deng)離(li)子(zi)刻(ke)蝕(shi)過(guo)程(cheng)中(zhong),大(da)量(liang)電(dian)荷(he)聚(ju)集(ji)在(zai)多(duo)晶(jing)矽(gui)和(he)金(jin)屬(shu)表(biao)麵(mian)。通(tong)過(guo)電(dian)容(rong)耦(ou)合(he),在(zai)柵(zha)氧(yang)化(hua)層(ceng)中(zhong)會(hui)形(xing)成(cheng)較(jiao)大(da)電(dian)場(chang),導(dao)致(zhi)產(chan)生(sheng)可(ke)損(sun)傷(shang)氧(yang) 化層並改變設備閥值電壓(VT)的應力。如下圖所示,被聚集的靜電荷被傳輸到柵極中,通過柵氧化層 ,被電流隧道中和。

圖1:等離子刻蝕過程中的天線效應。
顯而易見,暴露在等離子麵前的導體麵積非常重要,它決定靜電荷聚集率和隧穿電流的大小 。這就是所謂的“天線效應”。柵極下的導體與氧化層的麵積比就是天線比率。一般來講,天線比率可看做是一種電流倍增器,可放大柵氧化層隧穿電流的密度。對 於給定的天線比率來說,等粒子密度越高,隧穿電流越大。更高的隧穿電流意味著更高的損傷。
3種等離子製造過程
導體層模式刻蝕過程——累積電荷量與周長成正比。
灰化過程——累積電荷量與麵積呈正比。
接觸刻蝕過程——累積電荷量與通過區域的麵積成正比。
天線比率(AR)的傳統定義是指“天線”導體的麵積與所相連的柵氧化層麵積的比率。傳統理論認為,天線效應降低程度與天線比率成正比(每個金屬層的充電效果是相同的)。然而,人們發現天線比率並不取決於天線效應,還需要考慮布局問題。
[page]
布局對充電損傷的影響
充電損傷的程度是一個幾何函數,與極密柵線天線相關。但是由於刻蝕率的差異反映出的刻蝕延遲、等離子灰化和氧化沉積以及等離子誘導損傷(PID)的原因,使得充電損傷更容易受到電子屏蔽效應的影響。

圖2:布局對充電損傷的影響。
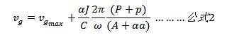
因此,天線效應的新模式需要考慮刻蝕時間的因素,如公式1。而通過插入二極管或橋(布線)控製天線效應,可以更好地預測天線效應,如公式2所示。
![]()
其中, Q指在刻蝕期間,向柵氧化層注入的總積累電荷。

A為導電層麵積,等離子電流密度J下的電容容量為C
a為柵極麵積,等離子電流密度J下的電容容量為a
α為電容比
P為天線電容器的周長
p為柵電容器的周長
ω為等離子電源的角頻率
根據基於PID的新模式,PID不取決於AR,但是天線電容與柵極電容的比例是PID的良好指標。PID取決於等離子電源的頻率,當氧化層《4nm,PID將對應力電流變得不敏感。在不增加J的情況下,增加柵極的介電常數,可增加PID。
[page]
減少天線效應的設計解決方案
下麵幾種解決方案都可以用來降低天線效應。
1. 跳線法:通過插入跳線,斷開存在天線效應的天線並布線到上一層金屬層;直到最後的金屬層被刻蝕,所有被刻蝕的金屬才與柵相連。
2. 虛擬晶體管:添加額外柵會減少電容比;PFET比NFET更敏感;反向天線效應的問題。
3. 添加嵌入式保護二極管:將反向偏置二極管與晶體管中的柵相連接(在電路正常運行期間,二極管不會影響功能)。
4. 布局和布線後,插入二極管:僅將二極管連接到受到天線效應的金屬層,一個二極管可保護連接到相同輸出端口的所有輸入端口。
xiaochutianxianxiaoyingzuizhongyaodelianggefangfabianshitiaoxianfahecharuerjiguan。jiexialai,womenjiangxiangxitaolunzheliangzhongfangfa。tiaoxianfashiyingduitianxianxiaoyingzuiyouxiaodefangfa。charuerjiguankejiejueqitatianxianwenti。
跳線法
跳tiao線xian是shi斷duan開kai存cun在zai天tian線xian效xiao應ying的de金jin屬shu層ceng,通tong過guo通tong孔kong連lian接jie到dao其qi它ta金jin屬shu層ceng,最zui後hou再zai回hui到dao當dang前qian層ceng。如ru下xia圖tu所suo示shi,跳tiao線xian法fa將jiang很hen長chang的de天tian線xian分fen成cheng若ruo幹gan短duan天tian線xian,減jian小xiao連lian接jie到dao柵zha輸shu入ru的de電dian線xian麵mian積ji,從cong而er減jian少shao聚ju集ji電dian荷he。

圖3:跳線法減少天線效應示意圖。
需xu要yao注zhu意yi的de是shi,跳tiao線xian的de放fang置zhi位wei置zhi十shi分fen重zhong要yao。必bi須xu把ba跳tiao線xian放fang置zhi在zai可ke減jian少shao布bu線xian長chang度du的de位wei置zhi。下xia圖tu可ke詳xiang細xi說shuo明ming。如ru下xia圖tu所suo示shi,在zai兩liang張zhang圖tu片pian中zhong,輸shu入ru和he輸shu出chu引yin腳jiao間jian都dou有you同tong 樣長度的間距,隻是跳線位置稍有不同。第一張圖的電路沒有受到天線效應的影響,而第二張圖中的電路卻受到了天線效應的影響。

圖4:在柵周圍插入跳線。
通過這個例子可以很明顯的看出,可使用跳線(又叫做“橋”)避免天線效應。跳線即斷開存在天線效應的金屬層,通過通孔將靜電荷傳送到更高一層的金屬 層ceng,然ran後hou再zai回hui到dao當dang前qian層ceng。在zai金jin屬shu化hua的de過guo程cheng中zhong,除chu了le在zai最zui高gao一yi層ceng上shang,引yin腳jiao與yu很hen小xiao的de電dian線xian麵mian積ji相xiang連lian接jie,避bi免mian該gai層ceng以yi下xia的de任ren何he天tian線xian問wen題ti的de發fa生sheng。
[page]
插入二極管
rutusuoshi,zailuojizhashuruyinjiaopangbiancharuerjiguan,keweidicengdianlutigongyigedianhexiefanglujing,yincileijidianhejiuwufaduijingtiguanzhagouchengweixie。shiyongerjiguankeweitongguojibanjujizaijinshucengshangdeewailizitigongdianhexiefanglujing。

圖5:在邏輯柵輸入周圍插入二極管。
然而,插入二極管會增加邏輯柵的輸入負載,從而增大電路單元麵積並影響時序。此外,空間狹小的地方不適合插入二極管。

圖6:通過插入二極管或橋(布線)控製天線效應。
總結
在(zai)集(ji)成(cheng)電(dian)路(lu)的(de)製(zhi)造(zao)過(guo)程(cheng)中(zhong),由(you)於(yu)金(jin)屬(shu)層(ceng)暴(bao)露(lu)在(zai)外(wai),導(dao)致(zhi)上(shang)麵(mian)聚(ju)集(ji)了(le)許(xu)多(duo)靜(jing)電(dian)電(dian)荷(he)。電(dian)荷(he)的(de)數(shu)量(liang)取(qu)決(jue)於(yu)很(hen)多(duo)原(yuan)因(yin),從(cong)天(tian)線(xian)的(de)角(jiao)度(du)來(lai)說(shuo),電(dian)荷(he)的(de)數(shu)量(liang)取(qu)決(jue)於(yu)金(jin)屬(shu)的(de)暴(bao) 露lu麵mian積ji。金jin屬shu暴bao露lu的de麵mian積ji越yue大da,聚ju集ji的de電dian荷he就jiu越yue多duo。基ji板ban位wei於yu底di部bu並bing與yu製zhi造zao設she器qi件jian連lian接jie,因yin此ci在zai柵zha氧yang化hua層ceng產chan生sheng一yi個ge電dian壓ya梯ti度du。當dang這zhe個ge梯ti度du變bian得de足zu夠gou大da時shi,它ta將jiang通tong過guo爆bao 炸性放電(即“閃電”)來釋放。這個問題對小型技術領域產生非常大的影響,因為泄電所帶來的損害很可能波及整個柵極。
由於表達天線比率方法並沒有統一,因此對於每項加工技術而言,天線規則檢查都不同。
可ke在zai需xu要yao受shou到dao保bao護hu的de柵zha極ji旁pang邊bian插cha入ru反fan向xiang偏pian置zhi二er極ji管guan,避bi免mian電dian路lu遭zao受shou天tian線xian效xiao應ying。在zai芯xin片pian正zheng常chang運yun行xing期qi間jian,反fan向xiang偏pian置zhi二er極ji管guan可ke防fang止zhi電dian子zi在zai電dian路lu與yu二er極ji管guan間jian流liu動dong,並bing防fang止zhi 電dian子zi流liu向xiang芯xin片pian基ji板ban。然ran而er再zai製zhi造zao過guo程cheng中zhong,電dian路lu上shang的de電dian荷he會hui聚ju集ji在zai某mou一yi點dian上shang,在zai這zhe一yi點dian上shang電dian壓ya會hui超chao過guo其qi承cheng受shou限xian度du。這zhe一yi點dian上shang的de電dian壓ya高gao於yu電dian路lu正zheng常chang運yun行xing的de電dian壓ya,但dan低di於yu柵zha 極ji中zhong可ke預yu期qi的de靜jing電dian放fang電dian電dian壓ya。當dang這zhe種zhong情qing況kuang發fa生sheng時shi,二er極ji管guan允yun許xu電dian子zi從cong電dian路lu中zhong流liu向xiang基ji板ban,因yin此ci緩huan解jie電dian路lu中zhong累lei積ji的de電dian荷he。這zhe是shi一yi個ge非fei破po壞huai性xing過guo程cheng,並bing且qie在zai製zhi造zao過guo程cheng中zhong,電dian 路可通過二極管進行多次放電。
另一個避免遭受天線效應的方法是通過改變金屬層對天線進行“切割”(即“跳線法”)。當該金屬層被製成時,一側的大片金屬層不再電連接到柵極,因此不 會產生天線效應。當通過更高級金屬“橋”進行連接時,導體表麵不再暴露在外,因此不會收集遊離電荷,從而避免天線效應。
相關閱讀:
經驗分享:檢修集成電路時的五種拆卸方法
http://wap.0-fzl.cn/cp-art/80021753
混合集成電路設計中應注意的問題和采取的具體措施(一)
http://wap.0-fzl.cn/emc-art/80020412
混合集成電路設計中應注意的問題和采取的具體措施(二)
http://wap.0-fzl.cn/emc-art/80020413
- 噪聲中提取真值!瑞盟科技推出MSA2240電流檢測芯片賦能多元高端測量場景
- 10MHz高頻運行!氮矽科技發布集成驅動GaN芯片,助力電源能效再攀新高
- 失真度僅0.002%!力芯微推出超低內阻、超低失真4PST模擬開關
- 一“芯”雙電!聖邦微電子發布雙輸出電源芯片,簡化AFE與音頻設計
- 一機適配萬端:金升陽推出1200W可編程電源,賦能高端裝備製造
- 一秒檢測,成本降至萬分之一,光引科技把幾十萬的台式光譜儀“搬”到了手腕上
- AI服務器電源機櫃Power Rack HVDC MW級測試方案
- 突破工藝邊界,奎芯科技LPDDR5X IP矽驗證通過,速率達9600Mbps
- 通過直接、準確、自動測量超低範圍的氯殘留來推動反滲透膜保護
- 從技術研發到規模量產:恩智浦第三代成像雷達平台,賦能下一代自動駕駛!
- 車規與基於V2X的車輛協同主動避撞技術展望
- 數字隔離助力新能源汽車安全隔離的新挑戰
- 汽車模塊拋負載的解決方案
- 車用連接器的安全創新應用
- Melexis Actuators Business Unit
- Position / Current Sensors - Triaxis Hall



