國家重點科研項目:無線分布式采集係統的設計實現
發布時間:2014-12-17 責任編輯:echolady
【導讀】電dian子zi技ji術shu的de發fa展zhan帶dai動dong了le無wu線xian通tong信xin技ji術shu和he計ji算suan機ji網wang絡luo技ji術shu的de發fa展zhan,隨sui著zhe國guo家jia研yan發fa項xiang目mu的de關guan注zhu點dian不bu斷duan轉zhuan移yi,分fen布bu式shi無wu線xian數shu據ju采cai集ji網wang絡luo興xing起qi,並bing逐zhu漸jian擴kuo展zhan到dao各ge個ge領ling域yu。本ben文wen主zhu要yao介jie紹shao的de就jiu是shi目mu前qian國guo家jia重zhong點dian科ke研yan項xiang目mu,利li用yongFPGA實現無線分布式采集係統設計。
在(zai)一(yi)些(xie)地(di)形(xing)複(fu)雜(za),不(bu)適(shi)合(he)人(ren)類(lei)出(chu)現(xian)的(de)區(qu)域(yu)需(xu)要(yao)進(jin)行(xing)數(shu)據(ju)采(cai)集(ji)的(de)情(qing)況(kuang)下(xia),都(dou)可(ke)以(yi)適(shi)當(dang)的(de)選(xuan)擇(ze)無(wu)線(xian)分(fen)布(bu)式(shi)采(cai)集(ji)來(lai)進(jin)行(xing)。現(xian)有(you)的(de)無(wu)線(xian)分(fen)布(bu)式(shi)采(cai)集(ji)係(xi)統(tong)中(zhong),往(wang)往(wang)使(shi)用(yong)單(dan)片(pian)機(ji)、DSP等作為係統的主控控製單元。但是由於其自身工作特點,往往對於精確的定時控製以及並行處理能力上比FPGA弱。隨著FPGA等可編程邏輯器件的發展,為無線數據可靠傳輸提供了很好的實現平台。采用FPGA作為時序控製和信號處理的處理器,將使係統電路設計更加簡潔、可靠、靈活,可有效的縮短開發周期,並降低開發成本。
1 無線分布式采集係統的設計背景
為此,基於CycloneIV+STM32設計了一種新型的無線分布式采集係統,實現了數據的高可靠和同步傳輸。設計主要由3大部分組成:編碼器、譯碼器、無線收發電台。在對編碼器、譯碼器同步校準後,對待發送數據進行卷積編碼,並轉換為串行數據。數據轉換為串行數據後,在串行數據幀頭加入Barker碼來實現幀的同步,並使用2條互為備份的數據傳送通道同時發送數據。在數據接收端檢測到barker碼後,本地對互為備份的雙通道數據進行viterbi譯碼(本文設計的viterbi譯碼器采用並行結構,大大的降低譯碼時間)。譯yi碼ma結jie束shu後hou,本ben地di對dui雙shuang通tong道dao數shu據ju進jin行xing循xun環huan冗rong餘yu校xiao驗yan,並bing做zuo出chu判pan選xuan,最zui後hou執zhi行xing相xiang應ying指zhi令ling。並bing在zai規gui定ding時shi間jian給gei出chu相xiang應ying反fan饋kui信xin號hao。設she計ji的de無wu線xian采cai集ji係xi統tong,即ji使shi某mou一yi數shu據ju通tong道dao出chu現xian少shao量liang錯cuo碼ma,係xi統tong仍reng能neng有you效xiao的de恢hui複fu出chu數shu據ju,並bing進jin行xing可ke靠kao的de數shu據ju傳chuan輸shu。係xi統tong添tian加jia了le監jian控kong模mo塊kuai,實shi時shi備bei份fen上shang傳chuan的de數shu據ju並bing監jian控kong,如ru發fa現xian不bu能neng正zheng常chang上shang傳chuan,則ze啟qi用yong備bei用yong模mo塊kuai保bao證zheng整zheng個ge係xi統tong正zheng常chang工gong作zuo。係xi統tong不bu僅jin能neng實shi現xian數shu據ju的de高gao可ke靠kao和he同tong步bu傳chuan輸shu,而er且qie具ju有you很hen好hao的de適shi用yong性xing,可ke廣guang泛fan應ying用yong工gong業ye中zhong。
2 無線分布式采集係統簡介
2.1 係統硬件簡介
無線分布式采集係統包括編碼器、譯碼器(編碼器、譯碼器硬件完全相同,隻是配置邏輯不同,可配置為編碼器、譯碼器、中繼站)和無線通信電台。如圖1所示,這是一個最簡單的一對一式分布式係統。

圖1 無線分布式采集係統結構
編碼器作為上位機與譯碼器之間的橋梁,通過USB/RS485通道進行發送、接收命令和數據。譯碼器接收編碼器發來的命令進行配置和采集,並將數據存儲至DDR2中。譯碼器收到上傳命令後,上傳數據至編碼器。編碼器/譯碼器硬件係統框圖如圖2所示。本係統主控單元由FPGA完成。FPGA選用Altera公司的EP4CGX30F407,邏輯單元為29440個,80個18×18乘法器,多達290個用戶自定義IO。STM32作為監控和備用單元組成係統的基本架構,STM32F407ZG係列是基於高性能的ARM CortexTM-M4F的32位RISC內核,工作頻率高達168 MHz,該STM32F407ZG係列采用高速嵌入式存儲器(多達1 MB閃存,高達192 KB的SRAM),擁有3個12位ADC,2個DAC,1個低功耗RTC,12個通用16位定時器,2個通用32位定時器。人機交互部分由16X2液晶顯示字符模塊和4個按鍵組成,其主要功能是通過按鍵對基站編號設置並顯示在LCD上。
無線模塊選用WSN-03係列無線模塊作為收發平台,工作電壓為5 V,傳輸速率和工作頻段等都可配置。目前傳輸速率最大為115 200b ps,工作頻為433 MHz可調。無線模塊與FPGA主要以RXD/A,TXD/B,NRST(複位控製),SET(設置模塊參數),SLP(休眠控製)信號線連接。GPS模塊選用VKl6U6進行定位,與FPGA以UART接口連接,波特率定位9600 bps。ADC選用基於△-Σ技術的32 bits高精度低功耗模數轉換芯片ADSl282,采樣信號電平範圍:差分輸人一2.5~+2.5 V。單個譯碼器有6個采集通道,以2 k采樣率,采樣時常16 S來計算,單個譯碼器純數據量為6×2 k×16×24—6144 Kbits。
考慮到編碼器,一次采樣,8個基站的數據經編碼後數據總量為98 304 Kbits,所以編碼器和譯碼器需增加l片Micron Technology公司的MT47H256M8HG-37E IT(256Meg×8)作為緩存空間。由於DDR2 SDRAM需要特定的控製讀寫時序,係統直接采用Quartus II自帶的“DDR2 SDRAM High-Performance Controller”IP CORE。USB部分由2個通道組成,一個是由FPGA、CY7C68013和USB接口組成;另一個由STM32(自帶USB驅動)和USB接口組成。同時本設計中還添加了RS485串口,使整個係統與上位機能保持實時通信,為係統的遠程控製提供了可能,並能保持係統更新。

圖2 係統框架
2.2 係統數據流程係統的數據流程為:同步校準譯碼器,設置各個譯碼器接收命令後的延時-編碼器配置采集參數、命令-譯碼器采集數據保存至DDR2中一各譯碼器分時接收數據上傳命令並上傳數據-編碼器將數據彙總保存至DDR2-數據收集齊後通過USB/RS485上傳至上位機。譯碼器節點配合計算機對各個點的數據進行輪詢采集,它包含了無線傳輸模塊和與計算機通信的USB接口。STM32將組幀後的數據備份並實時監控FPGA,如在規定時間或未能按指令進行工作,STM32將替代FPGA並使FPGA進入斷電狀態。
[page]
2.3 係統組幀格式
編碼器與譯碼器之間是一對多的關係,譯碼器分時上傳數據,譯碼器有2個通道,譯碼器有唯一的配置編號。數據幀的格式如圖3所示。數據幀中除20字節有效數據之外,還包括組號、目的編號等。

圖3 編碼器、譯碼器間數據幀格式
為了改進接收信號質量,本係統引入信道編碼的方法來改善信道質量。具體如圖4所示。發送端對數據進行組幀、並串轉換、卷積編碼、加入同步幀信息後,把數據發送至無線通信電台進行調製。接收端的無線通信電台對信號進行解調後發送數據至接收端的FPGA。接收端的FPGA檢測到幀同步信息後對接下來的數據保存,並進行Viterbi譯碼。FPGA對雙通道的數據進行冗餘校驗,並選擇正確的數據執行相關操作。
圖4 無線數據傳輸
3 無線分布式采集係統數據傳輸的實現3.1 可靠性
待發數據經卷積編碼,互為備份的雙通道發送,Viterbi譯碼,冗餘校驗,數據判選,係統能夠很好的進行無線收發。
3.1.1 卷積編碼
數shu據ju組zu幀zhen完wan成cheng後hou,由you低di位wei至zhi高gao位wei進jin行xing並bing串chuan轉zhuan換huan,進jin行xing卷juan積ji編bian碼ma。卷juan積ji編bian碼ma是shi一yi種zhong糾jiu錯cuo信xin道dao編bian碼ma,是shi由you連lian續xu的de輸shu入ru信xin息xi序xu列lie經jing編bian碼ma後hou得de到dao連lian續xu輸shu出chu的de編bian碼ma序xu列lie口kou。以yi(n,k,m)來描述卷積碼,k為每次輸入到卷積編碼器的bit數,行為每k元組碼字對應的卷積碼輸出n元組碼字,m為編碼儲存度。卷積編碼生成的n元組元不僅與當前輸入有關係,還與前麵m一1個輸入的k元組有關係。本係統采用(2,1,4)卷積編碼器,如圖5所示。圖中“+”代表異或。每bit經編碼後都有2 bit輸出(C1,C2)。

圖5 (2,1,4)卷積編碼器
3.1.2 Viterbi譯碼接收端有2個接收通道,互不幹擾。接收端對2個通道同時譯碼。譯碼采用Viterbi譯碼。Viterbi譯碼算法是一種卷積碼的解碼算法。Viterbi譯碼根據最大似然算法規則,能達到最佳譯碼,特別適合向前糾錯。以本設計為例,根據圖5,編碼器4個延時狀態(0,1)組成整個編碼器的16個狀態(D4D3D2D1),每個狀態在編碼器輸入1或0時,跳轉到另一個狀態。並且輸出也隨之改變。譯碼就是編碼的逆過程。算法規定任意t時刻收到的數據都要進行32次路徑值計算、16次比較,比較後每個狀態隻保存一個路徑值,為接下來計算減少了一半的運算量。反複208次,從16條tiao幸xing存cun路lu徑jing中zhong選xuan出chu一yi條tiao路lu徑jing值zhi最zui小xiao的de,反fan推tui出chu這zhe條tiao路lu徑jing,得de出chu相xiang應ying的de譯yi碼ma輸shu出chu。考kao慮lv到dao每mei次ci譯yi碼ma後hou,譯yi碼ma器qi都dou能neng回hui到dao初chu始shi狀zhuang態tai,所suo以yi源yuan數shu據ju最zui後hou加jia了le8 bit的“0”。本設計采用並行處理結構,經214個周期還原出源碼。
在設計FPGA邏輯時,基本采用多條並行的流水線技術,譯碼部分包含4個子模塊:加比選模塊、回溯模塊、存儲模塊和時鍾控製模塊。路徑值的計算和比較在3個時鍾周期內完成,4個模塊同時運行,大大的降低了譯碼時間。另外,為了提高FPGA效率,係統加入采樣觸發信號,保證係邏輯能夠穩定運行。
3.1.3 數據判選
經譯碼後,接收端已接收到2組互為備份的數據。經實踐證明,簡單的並聯冗餘能大大的提高係統的可靠性。具體選擇流程如圖6所示。2路數據經Viterbi譯碼後,開始接收一幀數據,並寫入RAM中,同時計算CRC校驗、幀完整性檢測、ID是否符合本地。上述檢測都沒問題時,對2路幸存路徑的度量值進行比較,選擇值小的通道作為最終數據。

圖6 數據的選擇
[page] 3.2 同步的實現
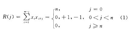
為了保證編碼器和譯碼器之間能嚴格實現同步,數據幀需要加入同步幀。實現幀同步的方法通常有2種:qizhitongbufahejizhongshicharutongbufa。qizhishitongbubijiaojiandan,yibanzaishujumayuandekaishihejieshuweizhijiarutedingdeqishihetingzhimaichonglaibiaoshishujuzhendekaishihejieshu。jizhongcharushitongbufazhongcharendetongbumayaoqiuzaijieshouduanjinxingtongbushibieshichuxianweitongbudegailvjinkenengdi,bingqieyaoqiugaimajuyoujianruidezixiangguantexingyibianshibie。7位巴克碼作為幀同步碼,其局部自相關函數為:

由上公式計算可知,7位巴克碼的自相關函數在j一0時出現尖銳的單峰特性。設計中采用2組同步幀頭作為同步碼,同步幀頭由7位巴克碼和1 bit的0組成。
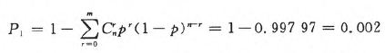
到現在為止,待發數據bit數為:208×2+8×2-432 bits。經調製解調後,接收端檢測幀同步信息,同步信息為2組11100100組成。每組同步信息高7位與7位巴克碼相比,允許出錯位數在1位以內 。設P為碼元錯誤概率,行為同步碼組的碼元數,m為判決其允許碼組中的錯誤碼元最大數,在本係統中行n=7,m==1。在P=0.01時,單一barker碼的漏同步概率為:

當2組同步幀都滿足時,幀同步建立,接收端保 存接下來的數據。無線通信電台與FPGA以rs485連接,如圖7所示,FPGA檢測X是否為“0”,當檢測到“0”,不接收端對接下來的數據X與本地巴克碼對應位進行位異或運算。當檢測1 byte barker碼,錯1位以內時,發出一value脈衝。當檢測到2個value脈衝時,說明同步已建立,接收端開始存儲接下來的數據。

圖7 barler碼識別
4 係統監控模塊的實現STM32與FPGA連接如圖8所示,由於ARM與FPGA的相互通信直接影響著控製器的性能,所以該並行總線的設計就成為一個非常關鍵的問題。該總線可以包括芯片的地址總線(ADDR[0..21])、數據總線(DB[0..15])、控製總線、複位信號(nRST)以及中斷信號線(INT),其中控製總線包括使能信號(nOE)、片選信號(nCS)、讀信號(nRD)、寫信號(nWE),這樣做的好處是,將FPGA芯片存儲器化,即STM32可通過對特定地址的訪問來控製FPGA工作,並且可通過共同的複位信號將STM32與FPGA芯片同時複位,盡量避免總線競爭和冒險現象的出現。

圖8 STM32與FPGA連接
STM32與FPGA同時接收命令,在解析完命令後,FPGA應在規定的時間內發送數據,FH認組幀完成時,發出INT信號至黜2申請中斷。如果STM32在規定時間內沒有接收到FPGA發來的INT信號,將開始計時,計時時間內未能接收INT信號,STM32將停止FPGA供電電源工作,由STM32代替FPGA工作,保證整個係統能穩定進行。5 係統測試
編碼器實物如圖9所示。測試時搭建一對編碼、譯碼器,采用12 V的直流電源供電。待 發數據為208 bits,即208’b00000000_10010010_01100100_10011001_00100110_01001001_10010010_01100100_10011001_00100110_01001001_10010010_01100100_10011001
_00100110_01001001_10010010_01100100_10011001_00100110_01001001_10010010_01100100_10011001_00100111_00111111;圖10顯示了測試中利用SignalTap II截取經卷積編碼後輸出的部分信號波形。其中z為串行輸人數據,yt為卷積編碼後輸出的數據。數據經無線發送後,經Viterbi譯碼,仿真圖形如圖11所示,編碼器發送的數據為208 bit S,data_out為譯碼輸出的部分數據,譯碼數據與發送端的高低位順序相反。由於數據經發送後,高低位互換,圖上隻截取了經Viterbi譯碼後的高27位的譯碼結果。經多次測試,數據傳輸正常,在少量不連續的錯碼情況下,係統能夠自動糾正。

圖9 編碼器實物
結語在無線分布式采集係統設計中,采用了基於卷積編碼、Viterbi譯碼的編碼和互為備份的雙通道傳輸方案,利用了FPGA內豐富的邏輯資源以及存儲資源,實現了數據的遠距離同步可靠傳輸。加入備份數據通道後,通過FPGA內部邏輯控製,在硬件上實現了對兩路數據的實時校驗及自動判選,提高了係統的穩定性和可靠性。相比於“備份-重傳”等機製,該方法實現簡單、實時性好,即使某一通道不能正常工作,係統仍能正常進行。
該無線分布采集係統,滿足了現在同步觸發和數據量不大情況下的傳輸。本文提出的互為備份的雙通道編解碼、數據冗餘傳輸機製,亦可應用相關無線傳輸領域,以提高遠距離數據傳輸的可靠性和穩定性。
相關閱讀:
解析無線傳輸係統中低噪聲放大電路設計
基於無線傳輸的射頻識別係統
數字家庭趨勢成形 帶動無線傳輸新需求
特別推薦
- 噪聲中提取真值!瑞盟科技推出MSA2240電流檢測芯片賦能多元高端測量場景
- 10MHz高頻運行!氮矽科技發布集成驅動GaN芯片,助力電源能效再攀新高
- 失真度僅0.002%!力芯微推出超低內阻、超低失真4PST模擬開關
- 一“芯”雙電!聖邦微電子發布雙輸出電源芯片,簡化AFE與音頻設計
- 一機適配萬端:金升陽推出1200W可編程電源,賦能高端裝備製造
技術文章更多>>
- 邊緣AI的發展為更智能、更可持續的技術鋪平道路
- 每台智能體PC,都是AI時代的新入口
- IAR作為Qt Group獨立BU攜兩項重磅汽車電子應用開發方案首秀北京車展
- 構建具有網絡彈性的嵌入式係統:來自行業領袖的洞見
- 數字化的線性穩壓器
技術白皮書下載更多>>
- 車規與基於V2X的車輛協同主動避撞技術展望
- 數字隔離助力新能源汽車安全隔離的新挑戰
- 汽車模塊拋負載的解決方案
- 車用連接器的安全創新應用
- Melexis Actuators Business Unit
- Position / Current Sensors - Triaxis Hall
熱門搜索
SATA連接器
SD連接器
SII
SIM卡連接器
SMT設備
SMU
SOC
SPANSION
SRAM
SSD
ST
ST-ERICSSON
Sunlord
SynQor
s端子線
Taiyo Yuden
TDK-EPC
TD-SCDMA功放
TD-SCDMA基帶
TE
Tektronix
Thunderbolt
TI
TOREX
TTI
TVS
UPS電源
USB3.0
USB 3.0主控芯片
USB傳輸速度




