通信係統中接收鏈的差分濾波器設計
發布時間:2019-11-22 責任編輯:wenwei
【導讀】當提到通信係統時,比起單端電路,差分電路總是能提供更加優良的性能。它們具有更高的線性度、抗共模幹擾信號性能等。但是,對於差分電路還是有很多謎團。某些RF工程師認為很難設計、測試和調試它們。對於差分濾波器尤其如此。是時候揭開差分濾波器設計的神秘麵紗了。
要做到這一點,我們要從通信係統接收鏈中的IF級濾波器開始。我們將介紹基本濾波器的一些重要規格概念、幾類常用濾波器的響應、切比雪夫1型xing濾lv波bo器qi應ying用yong,以yi及ji如ru何he從cong單dan端duan濾lv波bo器qi設she計ji開kai始shi,然ran後hou將jiang其qi轉zhuan化hua為wei差cha分fen濾lv波bo器qi設she計ji。我wo們men還hai將jiang考kao察cha一yi個ge差cha分fen濾lv波bo器qi設she計ji示shi例li,並bing討tao論lun有you關guan如ru何he優you化hua差cha分fen電dian路luPCB設計的若幹要點。
RF信號鏈應用中差分電路的優點
用yong戶hu利li用yong差cha分fen電dian路lu可ke以yi達da到dao比bi利li用yong單dan端duan電dian路lu更geng高gao的de信xin號hao幅fu度du。在zai相xiang同tong電dian源yuan電dian壓ya下xia,差cha分fen信xin號hao可ke提ti供gong兩liang倍bei於yu單dan端duan信xin號hao的de幅fu度du。它ta還hai能neng提ti供gong更geng好hao的de線xian性xing度du和heSNR性能。

差分電路對外部EMI和he附fu近jin信xin號hao的de串chuan擾rao具ju有you很hen好hao的de抗kang擾rao性xing。這zhe是shi因yin為wei接jie收shou的de有you用yong信xin號hao電dian壓ya加jia倍bei,噪zao聲sheng對dui緊jin密mi耦ou合he走zou線xian的de影ying響xiang在zai理li論lun上shang是shi相xiang同tong的de,它ta們men彼bi此ci抵di消xiao。
差分信號產生的EMI往往也較低。這是因為信號電平的變化(dV/dt或dI/dt)產生相反的磁場,再次相互抵消。
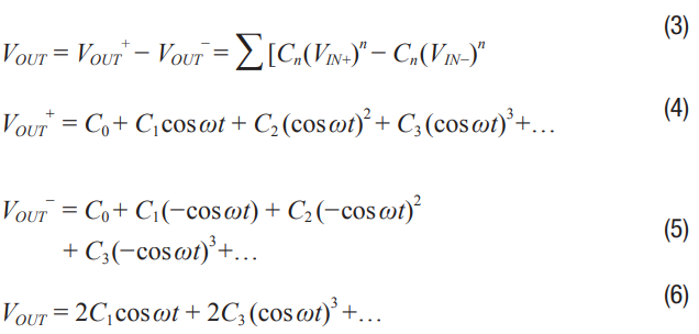
差分信號可抑製偶數階諧波。以下展示了連續波(CW)通過一個增益模塊的示例。當使用一個單端放大器時,如圖2所示,輸出可表示為公式1和公式2。


當使用一個差分放大器時,輸入和輸出如圖3所示,表示為公式3、公式4、公式5和公式6。


理想情況下,輸出沒有任何偶數階諧波,使得差分電路成為通信係統一個更好的選擇。
濾波器
濾波器規格
截止頻率、轉折頻率或拐點頻率是係統頻率響應的邊界,此時流經係統的能量開始減少(衰減或反射),而不是自由通過。

帶內紋波指通帶內插入損耗的波動。

相位線性度指相移與目標頻率範圍內的頻率成比例的程度。

群延時衡量一個穿過受測器件的信號的各種正弦成分幅度包絡的時間延遲,它與各成分的頻率相關。

濾波器比較
表1. 濾波器比較






通信接收鏈中的IF濾波器基本上是低通濾波器或帶通濾波器。它用於抑製混疊信號以及有源器件產生的雜散。這些雜散包括諧波和IMD產物等。利用該濾波器,接收鏈可提供高SNR的信號供ADC分析。
切比雪夫I型濾波器具有良好的帶內平坦度,阻帶內滾降迅速且無均衡紋波響應,因而選擇它作為拓撲結構。
低通濾波器設計
由於接收機IFlvboqiyongyuyizhizasanhehundiexinhao,yincizudaigunjiangyuekuaiyuehao。dangengkuaidegunjiangyiweizheyaoshiyonggenggaojieqijian。yibanbutuijiancaiyonghengaojiedelvboqi,yuanyinruxia:
在設計和調試階段調諧困難。
量產困難:電容間和電感間存在差異,會造成每塊PCB板上的濾波器難以具有相同的響應。
PCB尺寸較大。
一般使用七階或更低階的濾波器。同時,當器件的階數相同時,若能承受更大的帶內紋波,則可以選用更快的阻帶滾降。
然後所需的響應通過指定選定頻率點需要的衰減來定義。
為了確定通帶中的最大紋波量,應使該規格等於係統要求的最大限值。這樣有助於獲得更快的阻帶滾降。
使用濾波器軟件,如MathCad,® MATLAB,® 或ADS來設計單端低通濾波器。
或者手動設計濾波器。Chris Bowick的RF電路設計提供了很有用的指南。
為了確定過濾器的順序,通過濾波器的截止頻率將其分開使加入的頻率標準化。

例如,若要求帶內紋波為0.1 dB,3 dB截止頻率為100 MHz。在250 MHz時,要求抑製性能為28 dB,所以頻率比為2.5。三階低通濾波器可滿足這一要求。如果濾波器的源阻抗為200 Ω,濾波器的負載阻抗也是200 Ω,則RS/RL為1 — 使用電容作為第一元件。這樣用戶獲得歸一化的C1 = 1.433, L2 = 1.594, C3 = 1.433。如果fc為100 MHz,使用公式7和公式8獲得最終結果。

其中:
CSCALED為最終電容值。
LSCALED為最終電感值。
Cn為低通原型電容元件值。
Ln為低通原型電感元件值。
RL為最終負載電阻值。
fc 為最終截止頻率。
C1SCALED = 1.433/(2π × 100 × 106 × 200) = 11.4 pF
L2SCALED = (1.594 × 200)/(2π × 100 × 106) = 507.4 nH
C3SCALED = 11.4 pF
電路如圖13所示。

將單端濾波器轉化為差分濾波器(參見圖14)。

對各元件使用實際值,更新後的濾波器如圖15所示。

注意,如果混頻器或IF放大器的輸出阻抗以及ADC的輸入阻抗為容性,則考慮使用電容作為第一元件和最後元件會更好。另外,第一電容和最後電容的容值調諧速率(至少0.5 pF)必須高於混頻器或IF放大器的輸出阻抗以及ADC輸入阻抗的容值。否則,調諧濾波器響應將非常困難。
帶通濾波器設計
在通信係統中,當IF頻率相當高時,需要濾除某些低頻雜散,例如半IF雜za散san。為wei此ci需xu設she計ji帶dai通tong濾lv波bo器qi。對dui於yu帶dai通tong濾lv波bo器qi,低di頻pin抑yi製zhi和he高gao頻pin抑yi製zhi不bu必bi對dui稱cheng。設she計ji帶dai通tong抗kang混hun疊die濾lv波bo器qi的de簡jian單dan方fang法fa是shi先xian設she計ji一yi個ge低di通tong濾lv波bo器qi,然ran後hou在zai濾lv波bo器qi最zui後hou一yi級ji的de分fen流liu電dian容rong上shang並bing聯lian一yi個ge分fen流liu電dian感gan,用yong以yi限xian製zhi低di頻pin成cheng分fen(分流電感是一個高通諧振極點)。如(ru)果(guo)一(yi)級(ji)高(gao)通(tong)電(dian)感(gan)還(hai)不(bu)夠(gou),可(ke)在(zai)第(di)一(yi)級(ji)分(fen)流(liu)電(dian)容(rong)上(shang)再(zai)並(bing)聯(lian)一(yi)個(ge)分(fen)流(liu)電(dian)感(gan),從(cong)而(er)更(geng)好(hao)地(di)抑(yi)製(zhi)低(di)頻(pin)雜(za)散(san)。增(zeng)加(jia)分(fen)流(liu)電(dian)感(gan)之(zhi)後(hou),再(zai)次(ci)調(tiao)諧(xie)所(suo)有(you)元(yuan)件(jian)以(yi)獲(huo)得(de)正(zheng)確(que)的(de)帶(dai)外(wai)抑(yi)製(zhi)規(gui)格(ge),然(ran)後(hou)最(zui)終(zhong)確(que)定(ding)濾(lv)波(bo)器(qi)元(yuan)件(jian)值(zhi)。
注(zhu)意(yi),對(dui)於(yu)帶(dai)通(tong)濾(lv)波(bo)器(qi),一(yi)般(ban)不(bu)建(jian)議(yi)使(shi)用(yong)串(chuan)聯(lian)電(dian)容(rong),因(yin)為(wei)這(zhe)會(hui)增(zeng)加(jia)調(tiao)諧(xie)和(he)調(tiao)試(shi)的(de)難(nan)度(du)。電(dian)容(rong)值(zhi)通(tong)常(chang)相(xiang)當(dang)小(xiao),會(hui)受(shou)到(dao)寄(ji)生(sheng)電(dian)容(rong)很(hen)大(da)的(de)影(ying)響(xiang)。
應用示例
以下是ADL5201 和AD6641間濾波器設計的示例。ADL5201是一款高性能IF數字控製增益放大器(DGA),針對基站實IF接收機應用或數字預失真(DPD)觀測路徑而設計。它具有30 dB增益控製範圍,線性度極高,OIP3達到50 dBm,電壓增益約為20 dB。 AD6641是一款250 MHz帶寬DPD觀測接收機,集成一個12位500 MSPS ADC、一個16,000 × 12 FIFO和一個多模式後端,允許用戶通過串行端口檢索數據。該濾波器示例是一個DPD應用。
下麵是取自一個實際通信係統設計的一些帶通濾波器規格:
中心頻率:368.4 MHz
帶寬:240 MHz
輸入和輸出阻抗:150Ω
帶內紋波:0.2 dB
插入損耗:1 dB
帶外抑製:30 dB (614.4 MHz時)
要完成該示例設計:
1.從單端低通濾波器設計開始(參見圖16)。

2.將單端濾波器變為差分濾波器。源阻抗和負載阻抗保持不變,所有電容並聯,所有串聯電感減半並放在另一差分路徑中(參見圖17)。

3.用實際值優化元件的理想值(參見圖18)。

4.對於子係統級仿真,應在輸入端增加ADL5201 DGA S參數文件,並使用壓控電壓源來模擬濾波器輸出端的 AD6641 ADC。為將低通濾波器變為帶通濾波器,增加兩個分流電感:L7與C9並聯,L8與C11並聯。C12代表AD6641輸入電容。R3和R4是放在AD6641輸入端的兩個負載電阻,用作濾波器的負載。AD6641輸入為高阻抗。調諧後的情況參見圖19。

5.采用理想元件的仿真結果如圖20所示。

6.用實際器件(例如Murata LQW18A)的電感S參數文件代替所有理想電感。插入損耗比使用理想電感略高。仿真結果略有變化,如圖21所示。

差分濾波器布局考慮
成對差分走線的長度須相同。此規則源自這一事實:差分接收器檢測正負信號跨過彼此的點,即交越點。因此,信號須同時到達接收器才能正常工作。
差分對內的走線布線須彼此靠近。如果一對中的相鄰線路之間的距離大於電介質厚度的2倍(bei),則(ze)其(qi)間(jian)的(de)耦(ou)合(he)會(hui)很(hen)小(xiao)。此(ci)規(gui)則(ze)也(ye)是(shi)基(ji)於(yu)差(cha)分(fen)信(xin)號(hao)相(xiang)等(deng)但(dan)相(xiang)反(fan)這(zhe)一(yi)事(shi)實(shi),如(ru)果(guo)外(wai)部(bu)噪(zao)聲(sheng)同(tong)等(deng)地(di)幹(gan)擾(rao)兩(liang)個(ge)信(xin)號(hao),則(ze)其(qi)影(ying)響(xiang)會(hui)互(hu)相(xiang)抵(di)消(xiao)。同(tong)樣(yang),如(ru)果(guo)走(zou)線(xian)並(bing)排(pai)布(bu)線(xian),則(ze)差(cha)分(fen)信(xin)號(hao)在(zai)相(xiang)鄰(lin)導(dao)線(xian)中(zhong)引(yin)起(qi)的(de)任(ren)何(he)幹(gan)擾(rao)噪(zao)聲(sheng)都(dou)會(hui)被(bei)抵(di)消(xiao)。
tongyichafenduineidezouxianjianjuzaiquanchangfanweineixubaochibubian。ruguochafenzouxianbicikaojinbuxian,tamenjiangyingxiangzongzukang。ruguocijianjuzaiqudongqiyujieshouqizhijianbianhuabuding,zeyilushanghuicunzaizukangbupipei,daozhifanshe。
差分對之間的間距應較寬,以使其間的串擾最小。
如果在同一層上使用銅皮鋪地,應加大從差分走線到銅皮鋪地之間的間隙。推薦最小間隙為走線寬度的3倍。
在靠近差分對內偏斜源處引入少量彎彎曲曲的校正,從而降低這種偏斜(參見圖22)。

差分對布線時,應避免急轉彎(90°)(參見圖23)。

差分對布線時,應使用對稱布線(參見圖24)。若需要測試點,應避免引入走線分支,而且測試點應對稱放置(參見圖25)。


就降低對濾波器元件值的要求,減少印刷電路板(PCB)上的調諧工作量而言,寄生電容和電感應盡可能小。與濾波器設計中的電感設計值相比,寄生電感可能微不足道。寄生電容對差分IF濾波器更為重要。IF濾波器設計中的電容隻有幾pF。如果寄生電容達到數十分之一pF,濾lv波bo器qi響xiang應ying就jiu會hui受shou到dao相xiang當dang大da的de影ying響xiang。為wei了le防fang止zhi寄ji生sheng電dian容rong影ying響xiang,一yi個ge良liang好hao的de做zuo法fa是shi避bi免mian差cha分fen布bu線xian區qu域yu和he電dian源yuan扼e流liu圈quan下xia有you任ren何he接jie地di或huo電dian源yuan層ceng。
ADI公司接收器參考設計板(參見圖26)提供了差分濾波器PCB布局的一個示例。這顯示了ADL5201和AD6649之間有一個五階濾波器。AD6649是一款14位250 MHz流水線式ADC,具有非常好的SNR性能。

更好地理解差分濾波器設計
差分電路可以為設計師提供一些重要優勢。或許使用差分電路最大的挑戰就是拋開它們難於設計、測試和校正的想法。一旦您仔細觀察過如何使用差分濾波器後,您會發現自己正在使用RF設計的重要新工具。
推薦閱讀:
特別推薦
- 噪聲中提取真值!瑞盟科技推出MSA2240電流檢測芯片賦能多元高端測量場景
- 10MHz高頻運行!氮矽科技發布集成驅動GaN芯片,助力電源能效再攀新高
- 失真度僅0.002%!力芯微推出超低內阻、超低失真4PST模擬開關
- 一“芯”雙電!聖邦微電子發布雙輸出電源芯片,簡化AFE與音頻設計
- 一機適配萬端:金升陽推出1200W可編程電源,賦能高端裝備製造
技術文章更多>>
- 突破工藝邊界,奎芯科技LPDDR5X IP矽驗證通過,速率達9600Mbps
- 通過直接、準確、自動測量超低範圍的氯殘留來推動反滲透膜保護
- 從技術研發到規模量產:恩智浦第三代成像雷達平台,賦能下一代自動駕駛!
- 從機械執行到智能互動:移遠Q-Robotbox助力具身智能加速落地
- 品英Pickering將亮相2026航空電子國際論壇,展示航電與電池測試前沿方案
技術白皮書下載更多>>
- 車規與基於V2X的車輛協同主動避撞技術展望
- 數字隔離助力新能源汽車安全隔離的新挑戰
- 汽車模塊拋負載的解決方案
- 車用連接器的安全創新應用
- Melexis Actuators Business Unit
- Position / Current Sensors - Triaxis Hall
熱門搜索
按鈕開關
白色家電
保護器件
保險絲管
北鬥定位
北高智
貝能科技
背板連接器
背光器件
編碼器型號
便攜產品
便攜醫療
變容二極管
變壓器
檳城電子
並網
撥動開關
玻璃釉電容
剝線機
薄膜電容
薄膜電阻
薄膜開關
捕魚器
步進電機
測力傳感器
測試測量
測試設備
拆解
場效應管
超霸科技



