在S參數級聯過程中防止假信號的方法
發布時間:2021-04-13 責任編輯:wenwei
【導讀】S參數的概念是源於對互連器件或係統的微波屬性的描述,提供了描述從音頻範圍到毫米波頻率範圍的應用中存在的串擾的最直觀方法。S參數在射頻元件(如濾波器、放大器、混頻器、天線、隔離器和傳輸線)測量中使用最為廣泛。測量結果能確定射頻器件在正向和反向傳輸信號時其以複數值(幅度和相位)表示的反射和傳輸性能。它們全麵描述了射頻元件的線性特性。
一、引言
在串行數據鏈路分析和評測使用的高速通信環境中,需要應用程序,在實時示波器的實時波形上執行建模、測量和仿真。針對從被測器件中采集波形使用的測試測量夾具和儀器,這些應用程序被設置成允許用戶加載電路模型。圖1顯示了這種鏈路的方框圖實例。

圖1. 可以使用S參數建模的串行數據鏈路係統示意圖。
S參數模型通常用於這些係統中。本文討論了S參數級聯涉及的問題,介紹了一種防止假信號以及典型零填充插補可能引起的插入額外脈衝的算法。
二、S參數測量
在使用VNA或矢量網絡分析儀測量一個S參can數shu集ji時shi,會hui在zai一yi個ge端duan口kou上shang放fang一yi個ge正zheng弦xian波bo入ru射she信xin號hao。為wei獲huo得de反fan射she係xi數shu,將jiang測ce量liang反fan射she的de正zheng弦xian波bo幅fu度du和he相xiang位wei。所suo有you其qi它ta端duan口kou必bi須xu使shi用yong參can考kao阻zu抗kang端duan接jie。反fan射she信xin號hao與yu入ru射she信xin號hao之zhi比bi表biao示shi為weiS11、S22、S33……直到端口總數。對多個頻率,完成這一操作。對傳輸項,如某些配置中的S21,將在端口1上放一個正弦波,在端口2上進行測量,反射信號與入射信號之比變成S21.對耦合項和其它傳輸項,將采用端口到端口測量的所有其它組合。這適用於采用參考阻抗端接的所有其它端口,參考阻抗通常為50歐姆。這要求進行測量時,在所有反射和傳輸穩定後,正弦波要保持穩定狀態。
也可以使用TDR階躍發生器、時域反射計或時域傳輸TDT,在時域中測量和計算S參數。階躍中包含同時應用到被測器件的所有關心的頻率。與掃頻正弦測量相比,較低的SNR與TDR/TDT有關。這主要在較高頻率上,階躍信號擁有幅度較小的諧波。
頻率間隔和時間響應周期:
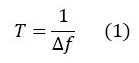
被測S參數數據的頻率間隔決定著樣點數量,直到係統模型環境中表示時域波形的所需采樣率。頻率間隔越小,樣點數量越多,S參數集覆蓋的間隔越長。如果頻率間隔太大,得到的時間間隔太短、xiangyinghaiweinengwending,namejiuhuifashengjiaxinhao。zhehuidaozhishiyuxinhaobeifanzhuandaobuzhengquedeweizhi。pinyufuduxiangyingbiaoxianshizhengquede,danpinyuxiangweixiangyinghaihuixianshifashenglejiaxinhao。quedingshijianjiangedegongshiruxia:

其中:T是S參數集覆蓋的時間間隔,Δf是頻率間隔。這種倒數關係表明,覆蓋的間隔T越長,Δf越小。這會導致頻率分辨率更加精細,進而導致頻域樣點數量提高,直到所需的采樣率頻率。

參數fs表示采樣率。覆蓋DC直到fs範圍的頻域樣點數量等於計算IFFT獲得時域響應時的時域樣點數。因此,在采樣率一定時,Δf越小,時間間隔越長。
級聯S參數和假信號:
S參數模塊級聯是串行數據鏈路仿真和分析環境中的一項關鍵操作。為了了解涉及的多個問題,看一下圖5所示的級聯,其中3個模塊級聯在一起。每個模塊中的模型用電纜長度為1.69 m的一個S參數集表示。為計算係統測試點的傳遞函,必需把多個級聯的模塊組合成一個模塊。3個模塊中,每一個模塊的S參數相同。另外,我們假設轉換到時域中的每個S參數集在時域中全麵穩定。
如果沒有要用S參數插補,那麼最後級聯的S參數集覆蓋的時間間隔T將與每一個模塊相同。因此,如果3個(ge)級(ji)聯(lian)模(mo)塊(kuai)的(de)總(zong)延(yan)遲(chi)大(da)於(yu)各(ge)個(ge)模(mo)塊(kuai)覆(fu)蓋(gai)的(de)時(shi)間(jian)間(jian)隔(ge),那(na)麼(me)將(jiang)發(fa)生(sheng)假(jia)信(xin)號(hao)。在(zai)時(shi)域(yu)中(zhong),假(jia)信(xin)號(hao)會(hui)導(dao)致(zhi)脈(mai)衝(chong)響(xiang)應(ying)特(te)性(xing)發(fa)生(sheng)在(zai)錯(cuo)誤(wu)的(de)時(shi)間(jian)位(wei)置(zhi),其(qi)時(shi)序(xu)可(ke)能(neng)會(hui)顛(dian)倒(dao)。這(zhe)源(yuan)於(yu)時(shi)域(yu)中(zhong)的(de)相(xiang)位(wei)假(jia)信(xin)號(hao),其(qi)中(zhong)相(xiang)位(wei)矢(shi)量(liang)每(mei)次(ci)旋(xuan)轉(zhuan)時(shi)會(hui)有(you)不(bu)到(dao)兩(liang)個(ge)樣(yang)點(dian)。
級聯S參數實例:
為更詳細地說明問題,看一下有損耗的、均勻的1.69 m電纜的2端口S參數模型,其中在電路仿真器上產生了40歐姆的特性阻抗。間隔在50 MHz直到25GHz的S參數被保存到一個文件中。根據公式(1),這個間隔對應的時間間隔為20 ns。

圖2. Z0特性阻抗為40歐姆的1.69 m電纜示意圖。

圖3. 單個1.69 m電纜模型的s11和s21 S參數圖。幅度(dB)對頻率(GHz)。
上麵顯示了這個模型2端口S參數集的頻響圖。注意,S21在25 GHz時的衰減約為-6 dB.因此,如果這樣三條均勻的電纜級聯起來,得到的衰減在25 GHz時為-18 dB.
現在,我們把S參數矢量變換到時域,如下麵圖4所示。這要創建從內奎斯特到采樣率的頻譜的複共軛部分,使用從DC直到1/2采樣率時內奎斯特值的S參數數據完成,然後計算IFFT.2端口S參數的時域版本將表示為t11、t12、t21和t22.

圖4. 單個1.69 m電纜模型S參數集的t11和t21時域圖。幅度對時間(ns)。
注意,在t21圖中,可以看到經過一條電纜的時延。延遲為7.971 ns。有多個來回反射到達端口2,但太小了、看不見。這條電纜的S參數的50MHz間隔導致總時間間隔T為20 ns。在表示經過電纜的7.971 ns插入延遲時,這足夠了。
由於電纜Z0的阻抗值為40歐姆,S參數的參考阻抗為50歐姆,因此在電纜的開頭和末尾將有一個反射,同時還會有其它多個來回反射。對t11,反射時間在記錄的開始處,因此在信號來回傳送、等於t21時延兩倍的倍數時,將發生反射。所以,第一個來回反射的位置在15.94 ns處。其它多個來回反射非常小,所以看不到。在這個實例中,20ns的時間T很長,足以支持這第一個來回反射傳送時間。

圖5. 3條完全相同的1.69 m電纜模型模塊級聯起來的電路仿真器示意圖。
另外一個要關注的是,由於50歐姆參考阻抗與電纜的40歐姆特性阻抗不匹配,因此在時間零上,電纜輸入處也有一個反射。由於把S參數轉換到時域時IFFT的泄漏和循環特點,這個脈衝的部分成分被反轉到時間記錄末尾。在對S參數集執行插補和再采樣以及在時域中使用零填充時,這是一個重要細節。
現在看一下把這三條完全相同的S參數集級聯起來,假設頻率間隔仍是50 MHz到25 GHz,總時間T為20 ns。這個電路從上麵圖5所示的電路仿真器中獲得。圖6所示的頻域幅度圖與預期相符,三條電纜的S21在25 GHz時為-18 dB,而一條電纜時為-6 dB。
級聯的S參數集被變換到時域,如圖7所示。這些圖顯示了相位假信號的影響,導致時域脈衝不在正確的時間位置。一條電纜的延遲為7.971 ns,因此把這樣三條電纜級聯起來的延遲應該為23.9 ns,由於這個延遲長於S參數集20 ns的時間T,因此將發生假信號。在t21曲線中可以看到這一點,脈衝響應位於3.918 ns處,而不是23.9 ns處。看一下t11,還可以看出,反射假信號偏移到~7.8 ns的位置,而它的位置本應該在~47.8 ns。這是入射信號從端口1傳送到端口2、再傳回到端口1所用的時間。
三、S參數插補算法
必需對每個模塊的各個S參數重新采樣,以便提供更小的頻率間隔,對組合後的S參數獲得更高的時間間隔。

圖6. 3個級聯電纜模塊組合在一起時的S11和S21 S參數。幅度(dB)對頻率(GHz)。
keyicaiqugezhongfangshi,zhixingzaicaiyang。liru,yizhongfangshishizaipinyuzhongzhixingchabu。zhekeyitongguochabushishubufenhexushubufenwancheng,yekeyitongguochabufuduchengfenhexiangweichengfenwancheng。zhekeyishiyongxianxingchabushixian,danhuidaozhimingxianwucha,chufeipinlvjiangezugouxiao。shiyongjiaogaojiechabukeyigaishanjiaogaopinlvshangdejieguo,dankenenghuizaikaishipinlvhejieshupinlvyinrushuntaiwucha,zaikaishipinlvhejieshupinlvzhong,shujujizhongyoubulianxudian。
下述程序為執行插補和再采樣算法提供了某些優勢:
1. 如果S參數沒有DC值,那麼將推斷所有S參數數據矢量。從VNA中測得的S參數沒有DC值。使用TDR/TDT測得的S參數有DC值。

圖7. 把3條級聯電纜模塊組合到一個S參數集的t11和t22時域圖。注意t21中的脈衝偏移到3.918 ns的延遲位置,其本應在23.9 ns。
2. 確定所有S參數集的公共最大頻率。這個值可以是級聯中所有S參數集的最大頻率。把每個S參數集推斷到超過最大公共頻率的頻率。
3. 使用IFFT轉換推斷的頻域S參數,獲得時域脈衝響應。
4. 確que定ding脈mai衝chong響xiang應ying之zhi間jian的de實shi際ji公gong共gong采cai樣yang周zhou期qi。可ke以yi作zuo為wei脈mai衝chong響xiang應ying的de最zui小xiao采cai樣yang周zhou期qi,獲huo得de實shi際ji公gong共gong采cai樣yang周zhou期qi。然ran後hou對dui脈mai衝chong響xiang應ying再zai采cai樣yang,以yi便bian其qi擁yong有you相xiang同tong的de采cai樣yang率lv。
5. 在正確的位置零填充脈衝響應,如下麵所述,獲得更高的時間間隔。提高的時間間隔可以確定為每個S參數集表示的所有時間間隔之和的倍數。這要求級聯中每一個S參數集都沒有假信號。
免責聲明:本文為轉載文章,轉載此文目的在於傳遞更多信息,版權歸原作者所有。本文所用視頻、圖片、文字如涉及作品版權問題,請聯係小編進行處理。
推薦閱讀:
特別推薦
- 噪聲中提取真值!瑞盟科技推出MSA2240電流檢測芯片賦能多元高端測量場景
- 10MHz高頻運行!氮矽科技發布集成驅動GaN芯片,助力電源能效再攀新高
- 失真度僅0.002%!力芯微推出超低內阻、超低失真4PST模擬開關
- 一“芯”雙電!聖邦微電子發布雙輸出電源芯片,簡化AFE與音頻設計
- 一機適配萬端:金升陽推出1200W可編程電源,賦能高端裝備製造
技術文章更多>>
- 一秒檢測,成本降至萬分之一,光引科技把幾十萬的台式光譜儀“搬”到了手腕上
- AI服務器電源機櫃Power Rack HVDC MW級測試方案
- 突破工藝邊界,奎芯科技LPDDR5X IP矽驗證通過,速率達9600Mbps
- 通過直接、準確、自動測量超低範圍的氯殘留來推動反滲透膜保護
- 從技術研發到規模量產:恩智浦第三代成像雷達平台,賦能下一代自動駕駛!
技術白皮書下載更多>>
- 車規與基於V2X的車輛協同主動避撞技術展望
- 數字隔離助力新能源汽車安全隔離的新挑戰
- 汽車模塊拋負載的解決方案
- 車用連接器的安全創新應用
- Melexis Actuators Business Unit
- Position / Current Sensors - Triaxis Hall
熱門搜索
按鈕開關
白色家電
保護器件
保險絲管
北鬥定位
北高智
貝能科技
背板連接器
背光器件
編碼器型號
便攜產品
便攜醫療
變容二極管
變壓器
檳城電子
並網
撥動開關
玻璃釉電容
剝線機
薄膜電容
薄膜電阻
薄膜開關
捕魚器
步進電機
測力傳感器
測試測量
測試設備
拆解
場效應管
超霸科技



