如何在高速信號中降低符號間幹擾
發布時間:2023-04-14 責任編輯:lina
【導讀】可能影響 PCB 信號完整性的問題列表很長,但在高速通道中特別應該診斷的一種問題是:符fu號hao間jian幹gan擾rao。這zhe種zhong特te定ding的de信xin號hao完wan整zheng性xing問wen題ti涉she及ji比bi特te流liu中zhong信xin號hao之zhi間jian的de幹gan擾rao,就jiu像xiang其qi名ming稱cheng所suo示shi。那na麼me,是shi什shen麼me導dao致zhi了le這zhe種zhong信xin號hao完wan整zheng性xing問wen題ti?如ru何he減jian少shao符fu號hao間jian幹gan擾rao?
本文要點:
· 即使進行了完美的阻抗匹配,所有傳輸線也都會存在某些信號完整性問題。
· 由於損耗、色散和寄生組件而經常出現的一個問題是符號間幹擾。
· 這種信號完整性問題會導致比特流中的錯誤,但謹慎的通道設計和驅動器/接收器選擇可以有效減少錯誤。
可能影響 PCB 信號完整性的問題列表很長,但在高速通道中特別應該診斷的一種問題是:符fu號hao間jian幹gan擾rao。這zhe種zhong特te定ding的de信xin號hao完wan整zheng性xing問wen題ti涉she及ji比bi特te流liu中zhong信xin號hao之zhi間jian的de幹gan擾rao,就jiu像xiang其qi名ming稱cheng所suo示shi。那na麼me,是shi什shen麼me導dao致zhi了le這zhe種zhong信xin號hao完wan整zheng性xing問wen題ti?如ru何he減jian少shao符fu號hao間jian幹gan擾rao?
這個問題通常在電信環境中討論,但是在 PCB 中也會出現類似的效應。雖然我們永遠無法完全從 PCB 中消除信號完整性問題(包括符號間幹擾),但可能可以將符號間幹擾減少到在典型測量中不會被注意到的程度。本文將討論如何在高速通道中減少符號間幹擾。
1. 什麼導致符號間幹擾?
符號間幹擾是與數位比特流或用於信號標準(如PAM-4)的脈衝流有關的問題。所有有限帶寬信道都將顯示符號間幹擾,而每個電氣通道都是到某個高頻率的有限帶寬。
此信號分析儀測量結果顯示了極端的符號間幹擾
當數字信號流被接收器讀取時,其中一個信號會幹擾後續的信號,這種現象被稱為符號間幹擾。
電信係統,特別是無線係統
符號間幹擾通常是由於信號的副本以不同的時間到達接收器所造成的多徑效應引起的。就算是對於具有互連和數位位元流的鬆散布線 PCB 而言,也可能存在符號間幹擾問題。
數位信道
位元串流可能會出現一些問題,導致符號間幹擾,包括:
· 輕微阻抗不匹配引起的反射
· 相位失真引起的拉伸脈衝(由基板中的色散引起)
· 接收器輸入處看到的慢脈衝響應(由負載電容引起)
· 極端的抖動,平均抖動時間與信號的UI相當(這種情況很少見)
符號間幹擾可能聽起來有點玄乎,但在時域波形中很容易被發現。盡管它是由頻域問題(有限帶寬)引起的,但在時域中可以很容易地看到它。
2. 診斷符號間幹擾
符號間幹擾可以在眼圖中看到,如下圖所示。隻要在 PCB 上放置測試夾具,大多數高帶寬示波器或數字信號分析儀都可以用來收集此測量數據。
眼圖顯示符號間幹擾
一個完美的眼圖會有完全重迭的信號,沒有任何抖動(水平上升時間變化)或噪聲(信號電平變化)。zaishangmiandetuxiangzhong,dangwomenkandaobolangzhuangdexinhaoxingweizhongdiezaigaodianpinghedidianpingzhijianshi,jiuhuichuxianfuhaojianganrao。doudongbiaoxianweixinhaoshangshengshijiandeshuipingbianhua。
3. 在 PCB 板層級上如何減少符號間幹擾
在(zai)上(shang)述(shu)清(qing)單(dan)中(zhong)的(de)四(si)個(ge)要(yao)點(dian)中(zhong),隻(zhi)有(you)前(qian)三(san)個(ge)非(fei)常(chang)常(chang)見(jian)。關(guan)於(yu)第(di)四(si)點(dian)有(you)關(guan)抖(dou)動(dong)的(de)問(wen)題(ti),由(you)於(yu)功(gong)率(lv)穩(wen)定(ding)性(xing)的(de)微(wei)小(xiao)變(bian)化(hua),總(zong)會(hui)存(cun)在(zai)一(yi)些(xie)抖(dou)動(dong)。然(ran)而(er),類(lei)似(si) UI 一樣巨大的抖動並不常見,除了很可能是高 PDN 阻抗之外的多個問題也導致了非常大的抖動。
如果要減少符號間幹擾,需要著重於三個方麵:阻抗不匹配、色散和緩慢的脈衝響應。以下表格概述了一些方法:
選擇更少色散的 PCB 層(ceng)壓(ya)板(ban)和(he)具(ju)有(you)更(geng)小(xiao)負(fu)載(zai)電(dian)容(rong)的(de)組(zu)件(jian)等(deng)解(jie)決(jue)方(fang)案(an)隻(zhi)能(neng)解(jie)決(jue)部(bu)分(fen)問(wen)題(ti)。對(dui)於(yu)高(gao)數(shu)據(ju)速(su)率(lv)信(xin)道(dao),最(zui)好(hao)的(de)解(jie)決(jue)方(fang)案(an)是(shi)確(que)保(bao)極(ji)其(qi)精(jing)確(que)的(de)阻(zu)抗(kang)匹(pi)配(pei)並(bing)添(tian)加(jia)延(yan)遲(chi)時(shi)間(jian)。編(bian)程(cheng)延(yan)遲(chi)到(dao)位(wei)元(yuan)流(liu)中(zhong)的(de)解(jie)決(jue)方(fang)案(an)將(jiang)降(jiang)低(di)總(zong)數(shu)據(ju)速(su)率(lv),但(dan)也(ye)會(hui)降(jiang)低(di)誤(wu)碼(ma)率(lv)。
對於阻抗不匹配,請記住——
我們隻需要關注一定範圍內匹配阻抗(通常是幾個GHz)即可。
還有兩種方式可以強製接收器完全忽略由符號間幹擾引起的信號電平的幹擾 UI 變化,即遵循 Nyquist ISI標準並使用均衡技術。
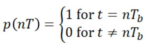
Nyquist ISI 標準
有you一yi種zhong特te定ding的de取qu樣yang率lv可ke以yi在zai接jie收shou器qi組zu件jian中zhong使shi用yong,以yi便bian恢hui複fu的de信xin號hao完wan全quan不bu受shou符fu號hao間jian幹gan擾rao的de影ying響xiang。當dang接jie收shou器qi讀du出chu具ju有you以yi下xia特te性xing的de數shu字zi脈mai衝chong流liu時shi,就jiu可ke以yi滿man足zuNyquist ISI 準則:
Nyquist ISI 標準
在這裏,Tb 是數據流的位元率。這個方程式表明,當接收機恰好以比特率進行采樣時,隻要比特波形在任何其他采樣時間都為0,它始終會準確鎖定到所發送的位的真實值。通過精確地塑造所傳輸的波形,可以實現這種性質,需要使用脈衝整形濾波器。
均衡
采cai用yong均jun衡heng化hua方fang案an,如ru分fen布bu反fan饋kui均jun衡heng化hua,旨zhi在zai通tong過guo估gu算suan算suan法fa恢hui複fu信xin號hao質zhi量liang。這zhe將jiang理li想xiang地di消xiao除chu可ke能neng疊die加jia在zai接jie收shou信xin號hao上shang的de符fu號hao間jian幹gan擾rao或huo其qi他ta噪zao聲sheng。但dan是shi,均jun衡heng化hua不bu是shi隻zhi需xu“添加”到組件中即可。它是使用特定電路實現的,該電路內置於組件中。新一代 DDR 和 PCIe 正是在接收端使用均衡化,我們可以期待在未來其他信令標準的下一代中更加標準化。
免責聲明:本文為轉載文章,轉載此文目的在於傳遞更多信息,版權歸原作者所有。本文所用視頻、圖片、文字如涉及作品版權問題,請聯係小編進行處理。
推薦閱讀:
- 噪聲中提取真值!瑞盟科技推出MSA2240電流檢測芯片賦能多元高端測量場景
- 10MHz高頻運行!氮矽科技發布集成驅動GaN芯片,助力電源能效再攀新高
- 失真度僅0.002%!力芯微推出超低內阻、超低失真4PST模擬開關
- 一“芯”雙電!聖邦微電子發布雙輸出電源芯片,簡化AFE與音頻設計
- 一機適配萬端:金升陽推出1200W可編程電源,賦能高端裝備製造
- 從機械執行到智能互動:移遠Q-Robotbox助力具身智能加速落地
- 品英Pickering將亮相2026航空電子國際論壇,展示航電與電池測試前沿方案
- 模擬芯片設計師的噩夢:晶體管差1毫伏就廢了,溫度升1度特性全飄
- 3A大電流僅需3x1.6mm?意法半導體DCP3603重新定義電源設計
- 芯科科技Tech Talks與藍牙亞洲大會聯動,線上線下賦能物聯網創新
- 車規與基於V2X的車輛協同主動避撞技術展望
- 數字隔離助力新能源汽車安全隔離的新挑戰
- 汽車模塊拋負載的解決方案
- 車用連接器的安全創新應用
- Melexis Actuators Business Unit
- Position / Current Sensors - Triaxis Hall



