電容傳感器的原理及應用
發布時間:2008-10-11 來源:www.dzsc.com
中心論題:
- 電容式傳感器的優點。
- 電容傳感器的工作原理及應用。
- 改變極板間距離的電容傳感器介紹。
- 電容測微儀的分辨率比差動變壓器傳感器提高了兩個數量級。
- 鋸齒形電極的設計提高傳感器的靈敏度。
- 電容式料位傳感器提高測量精度。
- 差動式電容器及互感器電橋組合結構提高測量範圍和減小非線性誤差。
引言
用電測法測量非電學量時,首先必須將被測的非電學量轉換為電學量而後輸入之。通常把非電學量變換成電學量的元件稱為變換器;根據不同非電學量的特點設計成的有關轉換裝置稱為傳感器,而被測的力學量(如位移、力、速度等)轉換成電容變化的傳感器稱為電容傳感器。
從能量轉換的角度而言,電容變換器為無源變換器,需要將所測的力學量轉換成電壓或電流後進行放大和處理。力學量中的線位移、角位移、間隔、距離、厚度、拉伸、壓縮、膨脹、變形等無不與長度有著密切聯係的量;zhexieliangyoudoushitongguochangduhuozhechangdubizhijinxingceliangdeliang,erqiceliangfangfadexianghuguanxiyehenmiqie。lingwai,zaiyouxietiaojianxia,zhexielixueliangbianhuaxiangdanghuanman,erqiebianhuafanweijixiao,ruguoyaoqiuceliangjixiaojulihuoweiyishiyaoyoujiaogaodefenbianlv,qitachuanganqihennanzuodaoshixiangaofenbianlvyaoqiu,zaijingmiceliangzhongsuopubianshiyongdechadongbianyaqichuanganqidefenbianlvjindadao1~5 μm數量級;而有一種電容測微儀,他的分辨率為0.01 μm,比前者提高了兩個數量級,最大量程為100±5 μm,因此他在精密小位移測量中受到青睞。
對dui於yu上shang述shu這zhe些xie力li學xue量liang,尤you其qi是shi緩huan慢man變bian化hua或huo微wei小xiao量liang的de測ce量liang,一yi般ban來lai說shuo采cai用yong電dian容rong式shi傳chuan感gan器qi進jin行xing檢jian測ce比bi較jiao適shi宜yi,主zhu要yao是shi這zhe類lei傳chuan感gan器qi具ju有you以yi下xia突tu出chu優you點dian:
(1)測量範圍大其相對變化率可超過100%;
(2)靈敏度高如用比率變壓器電橋測量,相對變化量可達10-7數量級;
(3)動態響應快因其可動質量小,固有頻率高,高頻特性既適宜動態測量,也可靜態測量;
(4)穩定性好由於電容器極板多為金屬材料,極板間襯物多為無機材料,如空氣、玻璃、陶瓷、石英等;因此可以在高溫、低溫強磁場、強幅射下長期工作,尤其是解決高溫高壓環境下的檢測難題。
原理及應用
電(dian)容(rong)傳(chuan)感(gan)器(qi)的(de)工(gong)作(zuo)原(yuan)理(li)是(shi)利(li)用(yong)力(li)學(xue)量(liang)變(bian)化(hua)使(shi)電(dian)容(rong)器(qi)中(zhong)其(qi)中(zhong)的(de)一(yi)個(ge)參(can)數(shu)發(fa)生(sheng)變(bian)化(hua)的(de)方(fang)法(fa)來(lai)實(shi)現(xian)信(xin)號(hao)變(bian)換(huan)的(de)。根(gen)據(ju)改(gai)變(bian)電(dian)容(rong)器(qi)的(de)參(can)數(shu)不(bu)同(tong),電(dian)容(rong)傳(chuan)感(gan)器(qi)可(ke)有(you)3類:
a改變極板遮蓋麵積的電容傳感器
圖1是3種這類傳感器的原理圖,圖1(a)中是利用角位移來改變電容器極板遮蓋麵積。假定當2塊極板完全遮蓋時的麵積為S0,兩極板間的距離為d,極板間介質的介電常數為ε。當忽略邊緣效應時,該電容器的電容量為:

如果其中一塊板極相對另一極板轉過θ角,則極板間的相互遮蓋麵積為:

可見,此電容量的變化值和角位移成正比,以此用來測量角位移。
圖1(b)中是利用線位移來改變電容器極板的遮蓋麵積的。如果初始狀態極板全部遮蓋,則遮蓋麵積S0=ab,當2塊極板相對位移x時,則極板的遮蓋麵積變為S1=b(a-x)。在介電常數和極板距離不變時,電容量分別為:

可見,此電容量的變化值和線位移x成正比,用他來測量各類線位移。
圖1(c)所示電容變換器是圖1(b)所示電容器的變種。采用這種鋸齒形電極的目的在於提高傳感器的靈敏度。若鋸齒數為n,尺寸如圖1(b)所示不變,當運動齒相對於固定齒移動一個位移x時,則可得:

比較式(2)和式(3)可見,靈敏度提高了n倍。
b 改變介質介電常數的電容傳感器
圖2是2種改變介質介電常數的電容式傳感器的原理圖。圖2(a)常用來檢測液位的高度,圖2(b)常用來檢測片狀材料的厚度和介電常數。
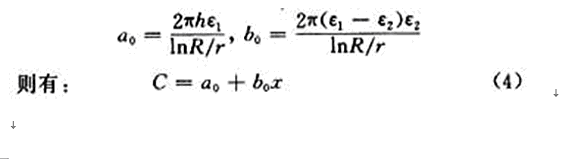
圖2(a)中由圓筒1和圓柱2構成電容器兩極,假定部分浸入被測量液體中(液體應不能導電,若能導電,則電極需作絕緣處理)。這樣,極板間的介質由2部分組成:空氣介質和液體介質,由此而形成的電容式料位傳感器,由於液體介質的液麵發生變化,從而導致電容器的電容C也發生變化。這種方法測量的精度很高,且不受周圍環境的影響。總電容C由液體介質部分電容C1和空氣介質部分電容C2兩部分組成:

x — 電容器浸入液體中的深度;
R — 同心圓電極的外半徑;
r — 同心圓電極的內半徑;
ε1 — 被測液體的介電常數;
ε2 — 空氣的介電常數。
當容器的尺寸和被測介質確定後,則h,R,r,ε1和ε2均為常數,令:
這說明,電容量C的大小與電容器浸入液體的深度x成正比。
圖2(b)是在一個固定電容器的極板之間放入被測片狀材料,則他的電容量為:
式中:S — 電容器的遮蓋麵積;
d1 — 被測物體上側至電極之間的距離;
d2 — 被測物體的厚度;
d3 — 被測物體下側至電極之間的距離;
ε1 — 被測物體上側至電極之間介質的介電常數;
ε2 — 被測物體的介電常數;
ε3 — 被測物體下側至電極之間介質的介電常數。
由於d1+d3=d-d2,且當ε1=ε3時,式(5)還可寫為:
式中d — 兩極板之間的距離。
顯然,在電容器極板的遮蓋麵積S,兩極板之間的距離d,被測物體上下側至電極之間介質的介電常數ε1和ε3確定時,電容量的大小就和被測材料的厚度d2及介電常數ε2有關。如被測材料介電常數ε2已知,就可以測量等厚教材料的厚度d2;或者被測材料的厚度d2已知,就可測量其介電常數ε2。這就是電容式測厚儀和電容式介電常數測量儀的工作原理。
改變極板間距離的電容傳感器
圖3是這類傳感器的原理圖,圖3(a)由2塊極板構成,其中極板2為固定極板,極板1為與被測物體相連的活動極板,可上下移動。當極板間的遮蓋麵積為S,極板間介質的介電常數為ε,初始極板間距為d0時,則初始電容C0為:
當活動極板1在被測物體的作用下向固定極板2位移Δd 時,此時電容C為:
當電容器的活動極板1移動極小時,即Δd<<d0時,上式按泰勒級數展開為:
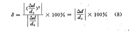
這時電容器的變化量ΔC才近似地和位移Δd成正比。其相對非線性誤差為:
顯然,這種單邊活動的電容傳感器隨著測量範圍的增大,相應的誤差也增大。在實際應用中,為了提高這類傳感器靈敏度、提高測量範圍和減小非線性誤差,常做成差動式電容器及互感器電橋組合結構,如圖3(b)所示。兩邊是固定的電極板1和2,中間由彈簧片支承的活動極板3。2個固定極板與互感器兩端及交流電源U相連接,活動極板連接端子和互感器中間抽頭端子為傳感器的輸出端,該輸出端電壓ΔU隨著活動極板運動而變化。若活動極板的初始位置距2個固定極板的距離均為d0,則固定極板1和活動極板3之間 ,固定2和活動極板3之間的初始電容相等,若令其為C0。當活動極板3在被測物體作用下向固定極板2移動Δd時,則位於中間的活動極板到兩側的固定極板的距離分別為:
由上述推導可知,活動極板和2個固定極板構成電容分別為:
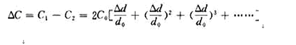
當他們做成差動式電容器及互感器電橋組合結構時,其等效電容為:
雖然電容的變化量仍舊和位移Δd成非線性關係,但是消除了級數中的偶次項,使線性得到改善。當
時(在微小量檢測中,如線膨脹測量等,一般都能滿足這個條件),略去高次項,得:
比較式(9)和式(7)可見,靈敏度提高了1倍。
比較式(10)和式(8)可見,在 1時,非線性誤差將大大下降。
- 噪聲中提取真值!瑞盟科技推出MSA2240電流檢測芯片賦能多元高端測量場景
- 10MHz高頻運行!氮矽科技發布集成驅動GaN芯片,助力電源能效再攀新高
- 失真度僅0.002%!力芯微推出超低內阻、超低失真4PST模擬開關
- 一“芯”雙電!聖邦微電子發布雙輸出電源芯片,簡化AFE與音頻設計
- 一機適配萬端:金升陽推出1200W可編程電源,賦能高端裝備製造
- 從機械執行到智能互動:移遠Q-Robotbox助力具身智能加速落地
- 品英Pickering將亮相2026航空電子國際論壇,展示航電與電池測試前沿方案
- 模擬芯片設計師的噩夢:晶體管差1毫伏就廢了,溫度升1度特性全飄
- 3A大電流僅需3x1.6mm?意法半導體DCP3603重新定義電源設計
- 芯科科技Tech Talks與藍牙亞洲大會聯動,線上線下賦能物聯網創新
- 車規與基於V2X的車輛協同主動避撞技術展望
- 數字隔離助力新能源汽車安全隔離的新挑戰
- 汽車模塊拋負載的解決方案
- 車用連接器的安全創新應用
- Melexis Actuators Business Unit
- Position / Current Sensors - Triaxis Hall




