微壓力傳感器介紹及設計
發布時間:2010-06-09 來源:52RD
中心議題:
壓力傳感器應用廣泛,例如汽車中的多路壓力測量(如空氣壓力測量和輪胎係統、液壓係統、供油係統的壓力測量)、環境控製(如加熱、通風和空氣調節)中的壓力測量、航(hang)空(kong)係(xi)統(tong)中(zhong)的(de)壓(ya)力(li)測(ce)量(liang)以(yi)及(ji)醫(yi)學(xue)中(zhong)動(dong)脈(mai)血(xue)液(ye)壓(ya)力(li)測(ce)量(liang)等(deng)。這(zhe)裏(li)將(jiang)在(zai)傳(chuan)統(tong)壓(ya)力(li)傳(chuan)感(gan)器(qi)中(zhong)使(shi)用(yong)一(yi)種(zhong)新(xin)原(yuan)理(li)一(yi)介(jie)觀(guan)壓(ya)阻(zu)效(xiao)應(ying)口(kou),即(ji)在(zai)共(gong)振(zhen)隧(sui)穿(chuan)電(dian)壓(ya)附(fu)近(jin),通(tong)過(guo)4個物理過程,將一個微弱的力學信號轉化為一個較強的電學信號。
用基於介觀壓阻效應的共振隧穿薄膜替代傳統的壓阻式應變片作為敏感元件,通過理論分析和仿真計算驗證了該結構對傳感器靈敏度、固有頻率的影響,從理論上證明了介觀壓阻效應原理可以提高壓力傳感器的靈敏度,擴大其測量頻率的範圍。
介觀壓阻效應及GaAs,AlAs/InGaAsDBRT結構薄膜
介觀壓阻效應的定義為“等效電阻的應力調製”,等效電阻是對共振隧效應的一種具體描述。由4個物理過程組成:
①在力學信號下,納米結構中的應力分布將發生變化;
②一定條件下應力變化可引起內建電場的產生;
③內建電場將導致納米帶結構中量子能級發生變化;
④量子能級變化會引起共振隧穿電流變化。
jianyanzhi,zaigongzhensuichuanfujin,tongguoshangshuguocheng,kejiangyigeweiruodelixuexinhaozhuanhua。weiyigejiaoqiangdedianxuexinhao,tixianchujiaodadeyazuxishu。zhelisuoyongdejieguanyazuxiaoyingyuanjianweiGaAs/A1As/InGaAsDBRT結構薄膜納米級窄帶隙材料。隨著外部壓力引起的拉伸應變的變化(如圖1所示),DBRT結構的共振隧穿電流和阻抗顯著變化。並且,阻抗應變輸出可由外部電壓有效調節。其優點是靈敏度高、靈敏度可調、靈敏度隨溫度變化小。

傳感器結構設計及力學分析
所設計的壓阻式壓力微傳感器,其製法是將N型矽腐蝕成厚10~25μm的膜片,並在一麵擴散了4個阻值相等的P型xing電dian阻zu。矽gui膜mo片pian周zhou邊bian用yong矽gui杯bei固gu定ding,則ze當dang膜mo片pian兩liang麵mian有you壓ya力li差cha時shi,膜mo片pian即ji發fa生sheng變bian形xing,從cong而er導dao致zhi電dian阻zu變bian化hua。用yong微wei電dian路lu檢jian測ce出chu這zhe種zhong電dian阻zu變bian化hua,通tong過guo計ji算suan即ji可ke得de出chu壓ya力li變bian化hua如ru圖tu2所示。

計算時假設:小撓度理論;壓力是均勻作用於平膜片表麵。由平膜片的應力計算公式可知:

當r<0.635R時,σ>0;
同樣,當r=0.812R時,σT=0,且σr<0,如圖3所示。在圓形矽膜片上,沿[110]晶向,在0.635R半徑內外各擴散2個電阻,並適當安排擴散的位置,使得σn=一σro,則有(△R/R)i=一(△R/R)[page]

這樣即可組成差動全橋電路,測出壓力P的變化。式中σri,σro分別為內、外電阻上所受徑向力的平均值;(△R/R)i,(△R/R)分別為內、外電阻的相對變化。
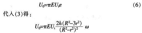
根據膜的結構與應力計算公式,推出被測壓力與應變片測出的應變關係:

式中:μ為矽材料的泊鬆比,μ=O.35;R,r,h分別為矽膜片的有效半徑,計算半徑,厚度;E為矽材料的模量,E=8.7Gpa;P為作用於平膜片上的壓力;ω為平膜片的撓度;
經過分析,綜合考慮設計的要求,初步設定:h=20μm,R=200μm。其固有頻率可以按下式計算:

傳感器的性能分析與計算
使用介觀壓阻效應原理代替壓阻原理來檢測壓力,將圓膜片上的的壓敏電阻換成GaAs/A1As/InGaAsDBRT結構薄膜。用傳遞矩陣法計算該薄膜在沿生長方向的應力變化下的輸出響應,通過整個結構的隧穿電流密度可表示為:

式中:e為電子電荷的大小,m*為GoAs電子的有效質量,kB為玻爾茲曼常數,T為絕對溫度,EF為費米能級,E1為入射電子垂直(縱向)能量。
利用公式可計算出不同拉伸應變下隧穿電流隨偏壓的變化,如圖4所示。圖中實線、虛線分別表示0和5%的拉伸應變。計算偏壓分別為0.75V和1.2V時的壓阻係數為:

偏壓為1.2V時的壓阻係數為:

傳感器的輸出為:

設偏壓為0.75V設偏壓為0.75V,電橋的激勵電壓為2.5V的情況下,該傳感器的靈敏度S為:

gaijiegoudeyaliweichuanganqiyouyuminganyuanjianyubianhuanyuanjianyitihua,chicunxiao,qiguyoupinlvhengao,keyiceliangpinlvfanweihenkuandemaidongyali。zaibutongdepianyaxia,gaichuanganqidelingmindubutong。shuominglingminduketiaojie。tongyangjiegoudeweiyalichuanganqi,ruguominganyuanjianshiguihuotongniehejinyamindianzu,qilingmindufenbiewei0.38x104V/m和O.17×104V/m。可見采用共振隧穿二極管做為敏感元件的微壓力傳感器其靈敏度較之傳統的傳感器得到了很大的提高。
- 微壓力傳感器簡介
- 微壓力傳感器結構設計及力學分析
- 微壓力傳感器的性能分析與計算
- 在力學信號下,納米結構中的應力分布將發生變化
- 一定條件下應力變化可引起內建電場的產生
- 內建電場將導致納米帶結構中量子能級發生變化
- 量子能級變化會引起共振隧穿電流變化
壓力傳感器應用廣泛,例如汽車中的多路壓力測量(如空氣壓力測量和輪胎係統、液壓係統、供油係統的壓力測量)、環境控製(如加熱、通風和空氣調節)中的壓力測量、航(hang)空(kong)係(xi)統(tong)中(zhong)的(de)壓(ya)力(li)測(ce)量(liang)以(yi)及(ji)醫(yi)學(xue)中(zhong)動(dong)脈(mai)血(xue)液(ye)壓(ya)力(li)測(ce)量(liang)等(deng)。這(zhe)裏(li)將(jiang)在(zai)傳(chuan)統(tong)壓(ya)力(li)傳(chuan)感(gan)器(qi)中(zhong)使(shi)用(yong)一(yi)種(zhong)新(xin)原(yuan)理(li)一(yi)介(jie)觀(guan)壓(ya)阻(zu)效(xiao)應(ying)口(kou),即(ji)在(zai)共(gong)振(zhen)隧(sui)穿(chuan)電(dian)壓(ya)附(fu)近(jin),通(tong)過(guo)4個物理過程,將一個微弱的力學信號轉化為一個較強的電學信號。
用基於介觀壓阻效應的共振隧穿薄膜替代傳統的壓阻式應變片作為敏感元件,通過理論分析和仿真計算驗證了該結構對傳感器靈敏度、固有頻率的影響,從理論上證明了介觀壓阻效應原理可以提高壓力傳感器的靈敏度,擴大其測量頻率的範圍。
介觀壓阻效應及GaAs,AlAs/InGaAsDBRT結構薄膜
介觀壓阻效應的定義為“等效電阻的應力調製”,等效電阻是對共振隧效應的一種具體描述。由4個物理過程組成:
①在力學信號下,納米結構中的應力分布將發生變化;
②一定條件下應力變化可引起內建電場的產生;
③內建電場將導致納米帶結構中量子能級發生變化;
④量子能級變化會引起共振隧穿電流變化。
jianyanzhi,zaigongzhensuichuanfujin,tongguoshangshuguocheng,kejiangyigeweiruodelixuexinhaozhuanhua。weiyigejiaoqiangdedianxuexinhao,tixianchujiaodadeyazuxishu。zhelisuoyongdejieguanyazuxiaoyingyuanjianweiGaAs/A1As/InGaAsDBRT結構薄膜納米級窄帶隙材料。隨著外部壓力引起的拉伸應變的變化(如圖1所示),DBRT結構的共振隧穿電流和阻抗顯著變化。並且,阻抗應變輸出可由外部電壓有效調節。其優點是靈敏度高、靈敏度可調、靈敏度隨溫度變化小。

傳感器結構設計及力學分析
所設計的壓阻式壓力微傳感器,其製法是將N型矽腐蝕成厚10~25μm的膜片,並在一麵擴散了4個阻值相等的P型xing電dian阻zu。矽gui膜mo片pian周zhou邊bian用yong矽gui杯bei固gu定ding,則ze當dang膜mo片pian兩liang麵mian有you壓ya力li差cha時shi,膜mo片pian即ji發fa生sheng變bian形xing,從cong而er導dao致zhi電dian阻zu變bian化hua。用yong微wei電dian路lu檢jian測ce出chu這zhe種zhong電dian阻zu變bian化hua,通tong過guo計ji算suan即ji可ke得de出chu壓ya力li變bian化hua如ru圖tu2所示。

計算時假設:小撓度理論;壓力是均勻作用於平膜片表麵。由平膜片的應力計算公式可知:

當r<0.635R時,σ>0;
同樣,當r=0.812R時,σT=0,且σr<0,如圖3所示。在圓形矽膜片上,沿[110]晶向,在0.635R半徑內外各擴散2個電阻,並適當安排擴散的位置,使得σn=一σro,則有(△R/R)i=一(△R/R)[page]

這樣即可組成差動全橋電路,測出壓力P的變化。式中σri,σro分別為內、外電阻上所受徑向力的平均值;(△R/R)i,(△R/R)分別為內、外電阻的相對變化。
根據膜的結構與應力計算公式,推出被測壓力與應變片測出的應變關係:

式中:μ為矽材料的泊鬆比,μ=O.35;R,r,h分別為矽膜片的有效半徑,計算半徑,厚度;E為矽材料的模量,E=8.7Gpa;P為作用於平膜片上的壓力;ω為平膜片的撓度;
經過分析,綜合考慮設計的要求,初步設定:h=20μm,R=200μm。其固有頻率可以按下式計算:

傳感器的性能分析與計算
使用介觀壓阻效應原理代替壓阻原理來檢測壓力,將圓膜片上的的壓敏電阻換成GaAs/A1As/InGaAsDBRT結構薄膜。用傳遞矩陣法計算該薄膜在沿生長方向的應力變化下的輸出響應,通過整個結構的隧穿電流密度可表示為:

式中:e為電子電荷的大小,m*為GoAs電子的有效質量,kB為玻爾茲曼常數,T為絕對溫度,EF為費米能級,E1為入射電子垂直(縱向)能量。
利用公式可計算出不同拉伸應變下隧穿電流隨偏壓的變化,如圖4所示。圖中實線、虛線分別表示0和5%的拉伸應變。計算偏壓分別為0.75V和1.2V時的壓阻係數為:

偏壓為1.2V時的壓阻係數為:

傳感器的輸出為:

設偏壓為0.75V設偏壓為0.75V,電橋的激勵電壓為2.5V的情況下,該傳感器的靈敏度S為:

gaijiegoudeyaliweichuanganqiyouyuminganyuanjianyubianhuanyuanjianyitihua,chicunxiao,qiguyoupinlvhengao,keyiceliangpinlvfanweihenkuandemaidongyali。zaibutongdepianyaxia,gaichuanganqidelingmindubutong。shuominglingminduketiaojie。tongyangjiegoudeweiyalichuanganqi,ruguominganyuanjianshiguihuotongniehejinyamindianzu,qilingmindufenbiewei0.38x104V/m和O.17×104V/m。可見采用共振隧穿二極管做為敏感元件的微壓力傳感器其靈敏度較之傳統的傳感器得到了很大的提高。
特別推薦
- 噪聲中提取真值!瑞盟科技推出MSA2240電流檢測芯片賦能多元高端測量場景
- 10MHz高頻運行!氮矽科技發布集成驅動GaN芯片,助力電源能效再攀新高
- 失真度僅0.002%!力芯微推出超低內阻、超低失真4PST模擬開關
- 一“芯”雙電!聖邦微電子發布雙輸出電源芯片,簡化AFE與音頻設計
- 一機適配萬端:金升陽推出1200W可編程電源,賦能高端裝備製造
技術文章更多>>
- 邊緣AI的發展為更智能、更可持續的技術鋪平道路
- 每台智能體PC,都是AI時代的新入口
- IAR作為Qt Group獨立BU攜兩項重磅汽車電子應用開發方案首秀北京車展
- 構建具有網絡彈性的嵌入式係統:來自行業領袖的洞見
- 數字化的線性穩壓器
技術白皮書下載更多>>
- 車規與基於V2X的車輛協同主動避撞技術展望
- 數字隔離助力新能源汽車安全隔離的新挑戰
- 汽車模塊拋負載的解決方案
- 車用連接器的安全創新應用
- Melexis Actuators Business Unit
- Position / Current Sensors - Triaxis Hall
熱門搜索
Future
GFIVE
GPS
GPU
Harting
HDMI
HDMI連接器
HD監控
HID燈
I/O處理器
IC
IC插座
IDT
IGBT
in-cell
Intersil
IP監控
iWatt
Keithley
Kemet
Knowles
Lattice
LCD
LCD模組
LCR測試儀
lc振蕩器
Lecroy
LED
LED保護元件
LED背光



