高阻抗微弱信號測量的保護電路設計
發布時間:2011-10-14 來源:現代電子技術
中心議題:
- 高阻抗信號測量原理與影響因數分析
- 高阻抗信號測量保護電路設計與分析
空氣質量檢測、光電信號探測、加速度計、壓電傳感器以及生物體信號等高阻抗信號測量,易受到來自測量係統輸入電阻、輸入偏置電流的影響,實際測量係統中主要有與信號路徑相並聯的元器件如電阻、電容的分流,電纜泄漏電流和印刷電路板寄生漏電流的影響。因此,高阻抗微弱信號測量電路,必須經過精心設計以滿足係統對低偏置電流、低噪聲和高增益的要求。
1 高阻抗信號測量原理與影響因數分析
高阻抗信號測量,易受到測量係統輸入阻抗的分壓與係統輸入偏置電流的影響。如圖1所示,將被測高阻抗信號源與測量係統相連,信號源的戴維寧等效電路由Vs與Rs串聯而成。假定測量係統的等效輸入電阻為Rin,輸入端電壓為Vin,由於Rs與Rin的分壓,使得輸入端電壓減小,測量係統的輸人端電壓為:


假定Rs=1 MΩ,Rin=100 MΩ。當Vs=1 V時,Vin=0.99 V,可以看出,係統輸入電阻的負載效應產生1%的誤差。實現高精度測量,需要增加測量係統的輸入阻抗。
如圖1所示,測量係統的偏置電流為Ibias,假定電流正方向為流入測量係統,這一電流將在源電阻Rs上產生誤差電壓,實際測量係統探測到的輸入電壓為:
![]()
假定Ibias=1 nA,Rs=10 MΩ。當Vs=1 V時,Vin=0.99 V。此時,輸入偏置電流將引起1%的誤差。實現高精度測量,需要降低測量係統的輸入偏置電流。
從cong以yi上shang分fen析xi可ke以yi得de出chu,提ti高gao測ce量liang係xi統tong的de輸shu入ru阻zu抗kang和he減jian小xiao輸shu入ru偏pian置zhi電dian流liu對dui高gao阻zu抗kang信xin號hao測ce量liang有you著zhe重zhong要yao的de意yi義yi。測ce量liang係xi統tong的de輸shu入ru阻zu抗kang應ying當dang遠yuan大da於yu被bei測ce信xin號hao源yuan的de內nei阻zu才cai能neng滿man足zu對dui測ce量liang精jing確que度du的de要yao求qiu。
實際測量係統的等效輸入阻抗主要包括有信號電纜絕緣電阻、信號調理電路的分流電阻、放大器輸入阻抗,以及印刷電路板的寄生電阻。係統的輸入偏置電流主要包括有信號調理電路分流電流、信號輸入電纜和印刷、電路板上的泄露電流。目前,高輸入阻抗、低噪聲的FET放大器,其輸入阻抗高達1010~1012Ω,輸入偏置電流為皮安(pA)量級,電壓、電流噪聲性能都能滿足普遍應用場合。由於理想的高阻值電阻、低di漏lou電dian流liu電dian容rong往wang往wang是shi難nan以yi得de到dao的de,從cong傳chuan感gan器qi輸shu出chu的de微wei弱ruo信xin號hao,在zai經jing過guo放fang大da之zhi前qian需xu要yao經jing過guo各ge種zhong調tiao理li,信xin號hao調tiao理li電dian路lu的de設she計ji顯xian得de非fei常chang重zhong要yao,它ta決jue定ding了le測ce量liang係xi統tong的de性xing能neng。如ru何he提ti高gao測ce量liang係xi統tong的de輸shu入ru阻zu抗kang,減jian小xiao輸shu入ru偏pian置zhi電dian流liu與yu降jiang低di係xi統tong噪zao聲sheng成cheng為wei了le高gao阻zu抗kang微wei弱ruo信xin號hao探tan測ce的de主zhu要yao考kao慮lv因yin數shu。這zhe裏li主zhu要yao就jiu提ti高gao係xi統tong輸shu入ru阻zu抗kang和he減jian小xiao輸shu入ru偏pian置zhi電dian流liu進jin行xing研yan究jiu和he分fen析xi。
[page]
2 電路設計與分析
這(zhe)裏(li)所(suo)指(zhi)的(de)保(bao)護(hu),是(shi)指(zhi)將(jiang)電(dian)路(lu)中(zhong)的(de)低(di)阻(zu)抗(kang)節(jie)點(dian)電(dian)勢(shi)與(yu)高(gao)阻(zu)抗(kang)輸(shu)入(ru)端(duan)電(dian)勢(shi)近(jin)似(si)等(deng)電(dian)勢(shi)的(de)一(yi)種(zhong)技(ji)術(shu),即(ji)通(tong)過(guo)低(di)阻(zu)抗(kang)的(de)保(bao)護(hu)電(dian)路(lu),把(ba)電(dian)路(lu)中(zhong)低(di)阻(zu)抗(kang)節(jie)點(dian)的(de)電(dian)勢(shi)強(qiang)製(zhi)拉(la)升(sheng)到(dao)與(yu)高(gao)阻(zu)抗(kang)輸(shu)入(ru)端(duan)電(dian)勢(shi)近(jin)似(si)相(xiang)等(deng)。這(zhe)裏(li)針(zhen)對(dui)被(bei)測(ce)信(xin)號(hao)是(shi)源(yuan)電(dian)阻(zu)Rs=10 MΩ、交流信號幅值為O.1 mV、直流信號電平為0.1 V的高阻抗微弱交流電壓信號。信號源的戴維寧等效電路如圖2中左邊虛線框所示,為Vs與Rs串聯構成,信號調理電路包括高通濾波電路、前級放大電路和保護電路。
youyushijitancexinhao,pinlvchengfenwangwangjiaoweifuza,youshixiangyaoceliangdexinhao,shenshendiyanmaizaiqitapinlvxinhaozaoshengzhong,yinci,xinhaozaijinrufangdaqizhiqian,xuyaojingguolvbo。bendianluxuyaoceliangdexinhaoweijiaoliuxinhao,beizhiliudianpingsuoyangai,yincixuyaoxianduiqigaotonglvbo,lvbojiezhipinlvyoubeiceliangxinhaodedaikuanjueding,tongguogaibianC1,R1的值來改變高通濾波截止頻率,這裏需要注意的是,理論上電阻R1的阻值越大越好,這樣可以提供測量係統的輸入阻抗,實際上大阻值的電阻往往是不容易得到的,這裏選用阻值為100 MΩ的電阻,高通截止頻率為fH=1.6 Hz。
如圖2所示,前級信號放大電路采用同相比例運算電路結構,此電路引入電壓串聯負反饋增大輸入電阻,減小輸出電阻,其放大倍數A等於:
A=1+R4/R5 (3)

如圖2中所示,電路電阻取值分別為:R4=100kΩ,R5=1 kΩ,因此放大倍數A=101倍。這裏需要注意同相比例運算電路具有高輸入電阻、低輸出電阻的優點,但因集成運放有共模輸入,為了提高運算精度,應選用高共模抑製比的集成運算放大器。
常規方法測量時,電阻R1的下端直接與地相連,係統的輸入阻抗主要取決於電阻R1的值,係統的等效輸入阻抗約等於100 MΩ。由以上分析可以得出,其測量誤差會達到10%。這麼大的誤差,在實際應用中是不允許的。通過設計保護電路,可以很好地解決這一問題。
圖2中下側虛線框內的電路為保護電路,從放大器A1的反相輸入端引入信號到保護放大器Aguard的正相輸入端,保護放大器實則為電壓跟隨器。電阻R1的低電位端加上保護電位Vguard,當R2>>R3時。在一定頻率範圍內,保護電位近似等於高阻抗輸入端電位Vin,可以通過調節R2,R3的阻值來改變保護電位的大小。保護電位由保護緩衝放大器提供,而不是由信號源提供.電阻R1的低阻抗端加上保護電位後,其電壓降將大大減小,流經它的電流也將大大減小。
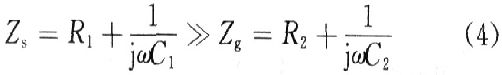
保護電路需要滿足信號路徑阻抗遠大於保護電路阻抗,即:

式中:Zs表示信號路徑的阻抗,Zg表示保護電路阻抗,本設計中,R2=100 kΩ,C2=1μF,Zs/Zg=1 000。
[page]
高阻抗微弱信號測量中,運算放大器的選擇是至關重要的,需要考慮高的輸入阻抗、低的輸入偏置電流、低噪聲等參數。該電路選用AD公司的極低噪聲BiFET運算放大器AD743,其輸入偏置電流最大值為250 pA,輸入阻抗高達1010Ω,CMRR達90 dB。
實際測量係統中,對於輸入信號電纜引起的誤差,可以選擇使用絕緣電阻盡可能高的電纜,另外,在電纜屏蔽層加上保護電勢Vguard,可ke以yi大da大da降jiang低di電dian纜lan泄xie露lu電dian流liu引yin起qi的de誤wu差cha。印yin刷shua電dian路lu板ban由you於yu汙wu染ran等deng原yuan因yin導dao致zhi絕jue緣yuan電dian阻zu下xia降jiang而er引yin起qi漏lou電dian流liu,當dang運yun放fang同tong相xiang輸shu入ru端duan與yu電dian源yuan輸shu入ru端duan相xiang鄰lin時shi,會hui帶dai來lai幹gan擾rao,因yin此ci,將jiang保bao護hu電dian勢shi加jia載zai於yu運yun放fang輸shu入ru端duan與yu信xin號hao線xian周zhou圍wei,將jiang大da大da減jian小xiao信xin號hao路lu徑jing上shang的de泄xie露lu電dian流liu,而er來lai自zi電dian源yuan的de漏lou電dian流liu將jiang會hui被bei保bao護hu電dian路lu吸xi收shou。
3 仿真結果分析
對圖2所示的電路,用PSpice仿真軟件對電路進行模擬分析,交流掃描的結果如下,各關鍵節點電壓如表1所示,電阻R1的低阻抗端加上了90.121μV的保護電壓,流經電阻R1的分流電流為90.031 fA。

如圖3所示,圖中上半部分為係統輸出信號波形,下半部分為係統輸入阻抗波形,從圖中可以看出,在頻率為100 Hz處,測量係統的輸出電壓值Vout為10.011 mV,交流輸入阻抗Rin為1.132 8 GΩ。經計算,係統的放大倍數A為100.998倍。

從cong上shang述shu分fen析xi可ke以yi得de出chu,采cai用yong保bao護hu電dian路lu大da大da提ti高gao了le係xi統tong的de輸shu入ru阻zu抗kang,減jian小xiao了le係xi統tong的de輸shu入ru偏pian置zhi電dian流liu。仿fang真zhen結jie果guo與yu理li論lun分fen析xi相xiang符fu,保bao護hu電dian路lu對dui高gao阻zu抗kang微wei弱ruo電dian壓ya信xin號hao高gao精jing度du測ce量liang提ti供gong保bao障zhang。
4 結 語
本ben文wen從cong高gao阻zu抗kang信xin號hao測ce量liang原yuan理li出chu發fa,分fen析xi了le測ce量liang係xi統tong輸shu入ru阻zu抗kang和he偏pian置zhi電dian流liu對dui測ce量liang精jing度du的de影ying響xiang,針zhen對dui高gao阻zu抗kang微wei弱ruo電dian壓ya信xin號hao,應ying用yong保bao護hu技ji術shu,設she計ji了le一yi種zhong帶dai保bao護hu電dian路lu的de高gao阻zu抗kang微wei弱ruo信xin號hao放fang大da電dian路lu,通tong過guoPSpice軟件仿真分析,驗證了該電路可實現對高阻抗信號的高精度測量,為高阻抗信號測量提供了一種有價值的參考方法。
- 噪聲中提取真值!瑞盟科技推出MSA2240電流檢測芯片賦能多元高端測量場景
- 10MHz高頻運行!氮矽科技發布集成驅動GaN芯片,助力電源能效再攀新高
- 失真度僅0.002%!力芯微推出超低內阻、超低失真4PST模擬開關
- 一“芯”雙電!聖邦微電子發布雙輸出電源芯片,簡化AFE與音頻設計
- 一機適配萬端:金升陽推出1200W可編程電源,賦能高端裝備製造
- 2026藍牙亞洲大會暨展覽在深啟幕
- 新市場與新場景推動嵌入式係統研發走向統一開發平台
- 維智捷發布中國願景
- 2秒啟動係統 • 資源受限下HMI最優解,米爾RK3506開發板× LVGL Demo演示
- H橋降壓-升壓電路中的交替控製與帶寬優化
- 車規與基於V2X的車輛協同主動避撞技術展望
- 數字隔離助力新能源汽車安全隔離的新挑戰
- 汽車模塊拋負載的解決方案
- 車用連接器的安全創新應用
- Melexis Actuators Business Unit
- Position / Current Sensors - Triaxis Hall

