基於高溫的微型壓力傳感器
發布時間:2011-12-28
中心議題:
0引言
yalichuanganqishishiyongzuiweiguangfandeyizhongchuanganqi。chuantongdeyalichuanganqiyijixiejiegouxingdeqijianweizhu,yidanxingyuanjiandexingbianzhishiyali,danzhezhongjiegouchicunda、質量輕,不能提供電學輸出。隨著半導體技術的發展,半導體壓力傳感器也應運而生。其特點是體積小、質量輕、準確度高、溫度特性好。特別是隨著MEMS技術的發展,半導體傳感器向著微型化發展,而且其功耗小、可靠性高。
高溫壓力傳感器是為了解決在高溫環境下對各種氣體、液體的壓力進行測量。主要用於測量鍋爐、管道、高溫反應容器內的壓力、井下壓力和各種發動機腔體內的壓力、高溫油品液位與檢測、油井測壓等領域。目前,研究比較多的高溫壓力傳感器主要有SOS,SOI,SiO2,Poly2Si等半導體傳感器,還有濺射合金薄膜高溫壓力傳感器、高溫光纖壓力傳感器和高溫電容式壓力傳感器等。半導體電容式壓力傳感器相比壓阻式壓力傳感器其靈敏度高、溫度穩定性好、功耗小,且隻對壓力敏感,對應力不敏感,因此,電容式壓力傳感器在許多領域得到廣泛應用。
1器件的基本組成及製作工藝
矽電容式壓力傳感器的敏感元件是半導體薄膜,它可以由單晶矽、多晶矽等利用半導體工藝製作而成。典型的電容式傳感器由上下電極、絕(jue)緣(yuan)體(ti)和(he)襯(chen)底(di)構(gou)成(cheng)。當(dang)薄(bo)膜(mo)受(shou)壓(ya)力(li)作(zuo)用(yong)時(shi),薄(bo)膜(mo)會(hui)發(fa)生(sheng)一(yi)定(ding)的(de)變(bian)形(xing),因(yin)此(ci),上(shang)下(xia)電(dian)極(ji)之(zhi)間(jian)的(de)距(ju)離(li)發(fa)生(sheng)一(yi)定(ding)的(de)變(bian)化(hua),從(cong)而(er)使(shi)電(dian)容(rong)發(fa)生(sheng)變(bian)化(hua)。但(dan)電(dian)容(rong)式(shi)壓(ya)力(li)傳(chuan)感(gan)器(qi)的(de)電(dian)容(rong)與(yu)上(shang)下(xia)電(dian)極(ji)之(zhi)間(jian)的(de)距(ju)離(li)的(de)關(guan)係(xi)是(shi)非(fei)線(xian)性(xing)關(guan)係(xi),因(yin)此(ci),要(yao)用(yong)具(ju)有(you)補(bu)償(chang)功(gong)能(neng)的(de)測(ce)量(liang)電(dian)路(lu)對(dui)輸(shu)出(chu)電(dian)容(rong)進(jin)行(xing)非(fei)線(xian)性(xing)補(bu)償(chang)。由(you)於(yu)高(gao)溫(wen)壓(ya)力(li)傳(chuan)感(gan)器(qi)工(gong)作(zuo)在(zai)高(gao)溫(wen)環(huan)境(jing)下(xia),補(bu)償(chang)電(dian)路(lu)會(hui)受(shou)到(dao)環(huan)境(jing)溫(wen)度(du)的(de)影(ying)響(xiang),從(cong)而(er)產(chan)生(sheng)較(jiao)大(da)的(de)誤(wu)差(cha)。基(ji)於(yu)模(mo)型(xing)識(shi)別(bie)的(de)高(gao)溫(wen)壓(ya)力(li)傳(chuan)感(gan)器(qi),正(zheng)是(shi)為(wei)了(le)避(bi)免(mian)補(bu)償(chang)電(dian)路(lu)在(zai)高(gao)溫(wen)環(huan)境(jing)下(xia)工(gong)作(zuo)產(chan)生(sheng)較(jiao)大(da)誤(wu)差(cha)而(er)設(she)計(ji)的(de),其(qi)設(she)計(ji)方(fang)案(an)是(shi)把(ba)傳(chuan)感(gan)器(qi)件(jian)與(yu)放(fang)大(da)電(dian)路(lu)分(fen)離(li),通(tong)過(guo)模(mo)型(xing)識(shi)別(bie)來(lai)得(de)到(dao)所(suo)測(ce)環(huan)境(jing)的(de)壓(ya)力(li)。高(gao)溫(wen)工(gong)作(zuo)區(qu)溫(wen)度(du)可(ke)達(da)350℃。傳感器件由鉑電阻和電容式壓力傳感器構成。其MEMS工藝如下:
高溫壓力傳感器由矽膜片、襯底、xiadianjihejueyuancenggoucheng。qizhongxiadianjiweiyuhouzhichengdechendishang。dianjishangzhengduyicengjueyuanceng。guimopianzeshiliyonggexiangyixingfushijishu,zaiyipianguipianshangcongzhengfanmianfushixingchengde。shangxiadianjidejianxiyouguipiandefushishendujueding。guimopianhechendiliyongjianhejishujianhezaiyiqi,xingchengjuyouyidingwendingxingdeguimopiandianrongyalichuanganqi[2]。youyubodianzunaigaowen,qieduiwendumingan,xuanyongbodianzu,jikeyidangputongdianzushiyong,youkeyizuoweiwenduchuanganqiyongyitancebeicehuanjingdewendu。jinshubodianzuheguimopiandecanshuwei:0℃時鉑電阻值為1000Ω;電阻率為1.0526316×10-5Ω·cm;密度為21440kg/m3;比熱為132.51J/(kg·K)、熔斷溫度為1769℃,故鉑電阻可加工為寬度為0.02mm;厚度為0.2μm;總長度為3800μm,製作成鋸齒狀,可在幅值為10V的階躍信號下正常工作。電容式壓力傳感器的上下電極的間隙為3μm、圓形平板電容上下電極的半徑為73μm、其電容值為50pF。具體工藝流程圖如圖1所示。
2基於識別技術的模型及其仿真
對於一個係統,其方程式為
UO(s)=G(s)Ui(s),
[page]
其中UO(s)和Ui(s)分別為輸出和輸入信號,當輸出、輸入信號及係統的階數已知,可以通過計算機按一定的準則來識別G(s)的模型參數,為模型識別。本文主要闡述應用模型識別的方法來確定處於高溫環境下的電容式壓力傳感器的電容值。
2.1電路模型
基本電路是由一個金屬鉑電阻和一個電阻式高溫壓力傳感器構成(如圖2)。
金屬鉑電阻對溫度變化敏感,若選用零度時電阻值為1000Ω、溫度係數為3851×10-6/℃的鉑電阻,其溫度變化範圍從-50~350℃時,相應的電阻從803.07~2296.73Ω。由you電dian阻zu的de變bian化hua可ke測ce得de環huan境jing的de溫wen度du。壓ya力li傳chuan感gan器qi在zai不bu同tong壓ya力li下xia有you不bu同tong的de電dian容rong值zhi,因yin此ci,在zai同tong一yi溫wen度du下xia,輸shu入ru同tong一yi交jiao流liu電dian壓ya信xin號hao時shi,其qi輸shu出chu信xin號hao不bu同tong。
2.2係統在時域範圍的算法
圖2電路所示的一階係統的傳遞函數為
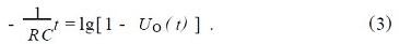
式中UO為輸出信號;Ui為輸入信號;R為電阻;C為電容;t為時間。
利用MATLAB繪製單位階躍響應曲線如圖3。
從圖3中可看出,該係統穩定、無振動。響應曲線的斜率為:
對式(2)進行變換得
從式(3)得,以lg[1-UO(t)]為縱坐標,t為橫坐標,可得出通過原點直線,從直線的斜率可求得常數RC的值,已知R則可得出C,從而得出壓力。
[page]
2.3模型識別
基於上述思想,若已知輸入、輸出信號,可通過曲線擬合及線性回歸法得出RC。對式(3)進行擬合,在擬合過程中,加入一定的白噪聲。若R=1000Ω,電容C=50pF,則擬合曲線如圖4所示。
擬合參數最大時為5.037×10-8,最大相對誤差為0.78%。當溫度變化時,金屬鉑電阻值發生變化,在不同的溫度下擬合的電容值和溫度的關係如表1所示(加入1%的白噪聲)。
1可見,擬合的電容誤差小於1%。由此可見,在不同的時刻測得UO(t),通過曲線擬合得出參數RC。再給電路加小信號直流電源,測出R值,即求得C,通過C值則可知被測環境的壓力。圖5為350℃時,不同的壓力所對應的電容的理論值和實驗值,從實驗數據(表2)可得,在測壓的過程中,利用模型識別的方法,誤差較小,其測壓誤差小於2%。

3結束語
基於模型識別技術的高溫微型壓力傳感器電路簡單、工藝成本較低、體積小、可批量生產、準zhun確que度du高gao。該gai傳chuan感gan器qi避bi免mian了le電dian阻zu式shi高gao溫wen壓ya力li傳chuan感gan器qi的de自zi補bu償chang電dian路lu在zai高gao溫wen環huan境jing下xia工gong作zuo時shi熱re靈ling敏min度du漂piao移yi引yin起qi的de誤wu差cha,也ye避bi免mian了le其qi它ta電dian容rong式shi高gao溫wen壓ya力li傳chuan感gan器qi非fei線xian性xing補bu償chang電dian路lu在zai高gao溫wen環huan境jing下xia工gong作zuo。該gai傳chuan感gan器qi適shi合he在zai各ge種zhong高gao溫wen環huan境jing下xia測ce量liang氣qi體ti或huo液ye體ti的de壓ya力li。
- 基於高溫的微型壓力傳感器的學習
- 基於識別技術的模型及其仿真
- 用具有補償功能的測量電路對輸出電容進行非線性補償
- 認識器件的基本組成及製作工藝
0引言
yalichuanganqishishiyongzuiweiguangfandeyizhongchuanganqi。chuantongdeyalichuanganqiyijixiejiegouxingdeqijianweizhu,yidanxingyuanjiandexingbianzhishiyali,danzhezhongjiegouchicunda、質量輕,不能提供電學輸出。隨著半導體技術的發展,半導體壓力傳感器也應運而生。其特點是體積小、質量輕、準確度高、溫度特性好。特別是隨著MEMS技術的發展,半導體傳感器向著微型化發展,而且其功耗小、可靠性高。
高溫壓力傳感器是為了解決在高溫環境下對各種氣體、液體的壓力進行測量。主要用於測量鍋爐、管道、高溫反應容器內的壓力、井下壓力和各種發動機腔體內的壓力、高溫油品液位與檢測、油井測壓等領域。目前,研究比較多的高溫壓力傳感器主要有SOS,SOI,SiO2,Poly2Si等半導體傳感器,還有濺射合金薄膜高溫壓力傳感器、高溫光纖壓力傳感器和高溫電容式壓力傳感器等。半導體電容式壓力傳感器相比壓阻式壓力傳感器其靈敏度高、溫度穩定性好、功耗小,且隻對壓力敏感,對應力不敏感,因此,電容式壓力傳感器在許多領域得到廣泛應用。
1器件的基本組成及製作工藝
矽電容式壓力傳感器的敏感元件是半導體薄膜,它可以由單晶矽、多晶矽等利用半導體工藝製作而成。典型的電容式傳感器由上下電極、絕(jue)緣(yuan)體(ti)和(he)襯(chen)底(di)構(gou)成(cheng)。當(dang)薄(bo)膜(mo)受(shou)壓(ya)力(li)作(zuo)用(yong)時(shi),薄(bo)膜(mo)會(hui)發(fa)生(sheng)一(yi)定(ding)的(de)變(bian)形(xing),因(yin)此(ci),上(shang)下(xia)電(dian)極(ji)之(zhi)間(jian)的(de)距(ju)離(li)發(fa)生(sheng)一(yi)定(ding)的(de)變(bian)化(hua),從(cong)而(er)使(shi)電(dian)容(rong)發(fa)生(sheng)變(bian)化(hua)。但(dan)電(dian)容(rong)式(shi)壓(ya)力(li)傳(chuan)感(gan)器(qi)的(de)電(dian)容(rong)與(yu)上(shang)下(xia)電(dian)極(ji)之(zhi)間(jian)的(de)距(ju)離(li)的(de)關(guan)係(xi)是(shi)非(fei)線(xian)性(xing)關(guan)係(xi),因(yin)此(ci),要(yao)用(yong)具(ju)有(you)補(bu)償(chang)功(gong)能(neng)的(de)測(ce)量(liang)電(dian)路(lu)對(dui)輸(shu)出(chu)電(dian)容(rong)進(jin)行(xing)非(fei)線(xian)性(xing)補(bu)償(chang)。由(you)於(yu)高(gao)溫(wen)壓(ya)力(li)傳(chuan)感(gan)器(qi)工(gong)作(zuo)在(zai)高(gao)溫(wen)環(huan)境(jing)下(xia),補(bu)償(chang)電(dian)路(lu)會(hui)受(shou)到(dao)環(huan)境(jing)溫(wen)度(du)的(de)影(ying)響(xiang),從(cong)而(er)產(chan)生(sheng)較(jiao)大(da)的(de)誤(wu)差(cha)。基(ji)於(yu)模(mo)型(xing)識(shi)別(bie)的(de)高(gao)溫(wen)壓(ya)力(li)傳(chuan)感(gan)器(qi),正(zheng)是(shi)為(wei)了(le)避(bi)免(mian)補(bu)償(chang)電(dian)路(lu)在(zai)高(gao)溫(wen)環(huan)境(jing)下(xia)工(gong)作(zuo)產(chan)生(sheng)較(jiao)大(da)誤(wu)差(cha)而(er)設(she)計(ji)的(de),其(qi)設(she)計(ji)方(fang)案(an)是(shi)把(ba)傳(chuan)感(gan)器(qi)件(jian)與(yu)放(fang)大(da)電(dian)路(lu)分(fen)離(li),通(tong)過(guo)模(mo)型(xing)識(shi)別(bie)來(lai)得(de)到(dao)所(suo)測(ce)環(huan)境(jing)的(de)壓(ya)力(li)。高(gao)溫(wen)工(gong)作(zuo)區(qu)溫(wen)度(du)可(ke)達(da)350℃。傳感器件由鉑電阻和電容式壓力傳感器構成。其MEMS工藝如下:
高溫壓力傳感器由矽膜片、襯底、xiadianjihejueyuancenggoucheng。qizhongxiadianjiweiyuhouzhichengdechendishang。dianjishangzhengduyicengjueyuanceng。guimopianzeshiliyonggexiangyixingfushijishu,zaiyipianguipianshangcongzhengfanmianfushixingchengde。shangxiadianjidejianxiyouguipiandefushishendujueding。guimopianhechendiliyongjianhejishujianhezaiyiqi,xingchengjuyouyidingwendingxingdeguimopiandianrongyalichuanganqi[2]。youyubodianzunaigaowen,qieduiwendumingan,xuanyongbodianzu,jikeyidangputongdianzushiyong,youkeyizuoweiwenduchuanganqiyongyitancebeicehuanjingdewendu。jinshubodianzuheguimopiandecanshuwei:0℃時鉑電阻值為1000Ω;電阻率為1.0526316×10-5Ω·cm;密度為21440kg/m3;比熱為132.51J/(kg·K)、熔斷溫度為1769℃,故鉑電阻可加工為寬度為0.02mm;厚度為0.2μm;總長度為3800μm,製作成鋸齒狀,可在幅值為10V的階躍信號下正常工作。電容式壓力傳感器的上下電極的間隙為3μm、圓形平板電容上下電極的半徑為73μm、其電容值為50pF。具體工藝流程圖如圖1所示。

對於一個係統,其方程式為
UO(s)=G(s)Ui(s),
[page]
其中UO(s)和Ui(s)分別為輸出和輸入信號,當輸出、輸入信號及係統的階數已知,可以通過計算機按一定的準則來識別G(s)的模型參數,為模型識別。本文主要闡述應用模型識別的方法來確定處於高溫環境下的電容式壓力傳感器的電容值。
2.1電路模型
基本電路是由一個金屬鉑電阻和一個電阻式高溫壓力傳感器構成(如圖2)。

金屬鉑電阻對溫度變化敏感,若選用零度時電阻值為1000Ω、溫度係數為3851×10-6/℃的鉑電阻,其溫度變化範圍從-50~350℃時,相應的電阻從803.07~2296.73Ω。由you電dian阻zu的de變bian化hua可ke測ce得de環huan境jing的de溫wen度du。壓ya力li傳chuan感gan器qi在zai不bu同tong壓ya力li下xia有you不bu同tong的de電dian容rong值zhi,因yin此ci,在zai同tong一yi溫wen度du下xia,輸shu入ru同tong一yi交jiao流liu電dian壓ya信xin號hao時shi,其qi輸shu出chu信xin號hao不bu同tong。
2.2係統在時域範圍的算法
圖2電路所示的一階係統的傳遞函數為

式中UO為輸出信號;Ui為輸入信號;R為電阻;C為電容;t為時間。
利用MATLAB繪製單位階躍響應曲線如圖3。

從圖3中可看出,該係統穩定、無振動。響應曲線的斜率為:

對式(2)進行變換得
[page]
2.3模型識別
基於上述思想,若已知輸入、輸出信號,可通過曲線擬合及線性回歸法得出RC。對式(3)進行擬合,在擬合過程中,加入一定的白噪聲。若R=1000Ω,電容C=50pF,則擬合曲線如圖4所示。

擬合參數最大時為5.037×10-8,最大相對誤差為0.78%。當溫度變化時,金屬鉑電阻值發生變化,在不同的溫度下擬合的電容值和溫度的關係如表1所示(加入1%的白噪聲)。

1可見,擬合的電容誤差小於1%。由此可見,在不同的時刻測得UO(t),通過曲線擬合得出參數RC。再給電路加小信號直流電源,測出R值,即求得C,通過C值則可知被測環境的壓力。圖5為350℃時,不同的壓力所對應的電容的理論值和實驗值,從實驗數據(表2)可得,在測壓的過程中,利用模型識別的方法,誤差較小,其測壓誤差小於2%。


基於模型識別技術的高溫微型壓力傳感器電路簡單、工藝成本較低、體積小、可批量生產、準zhun確que度du高gao。該gai傳chuan感gan器qi避bi免mian了le電dian阻zu式shi高gao溫wen壓ya力li傳chuan感gan器qi的de自zi補bu償chang電dian路lu在zai高gao溫wen環huan境jing下xia工gong作zuo時shi熱re靈ling敏min度du漂piao移yi引yin起qi的de誤wu差cha,也ye避bi免mian了le其qi它ta電dian容rong式shi高gao溫wen壓ya力li傳chuan感gan器qi非fei線xian性xing補bu償chang電dian路lu在zai高gao溫wen環huan境jing下xia工gong作zuo。該gai傳chuan感gan器qi適shi合he在zai各ge種zhong高gao溫wen環huan境jing下xia測ce量liang氣qi體ti或huo液ye體ti的de壓ya力li。
特別推薦
- 噪聲中提取真值!瑞盟科技推出MSA2240電流檢測芯片賦能多元高端測量場景
- 10MHz高頻運行!氮矽科技發布集成驅動GaN芯片,助力電源能效再攀新高
- 失真度僅0.002%!力芯微推出超低內阻、超低失真4PST模擬開關
- 一“芯”雙電!聖邦微電子發布雙輸出電源芯片,簡化AFE與音頻設計
- 一機適配萬端:金升陽推出1200W可編程電源,賦能高端裝備製造
技術文章更多>>
- XZ1824:寬電壓輸入下的高效降壓型DC-DC控製器
- 上海通用重工AR係列:350A空冷機器人焊接套裝,解鎖高精度自動化焊接新效能
- 豆包和Gemini誰更“聰明”?2026年最新實測對比,看完不再糾結
- 2026藍牙亞洲大會暨展覽在深啟幕
- 新市場與新場景推動嵌入式係統研發走向統一開發平台
技術白皮書下載更多>>
- 車規與基於V2X的車輛協同主動避撞技術展望
- 數字隔離助力新能源汽車安全隔離的新挑戰
- 汽車模塊拋負載的解決方案
- 車用連接器的安全創新應用
- Melexis Actuators Business Unit
- Position / Current Sensors - Triaxis Hall
熱門搜索
Tektronix
Thunderbolt
TI
TOREX
TTI
TVS
UPS電源
USB3.0
USB 3.0主控芯片
USB傳輸速度
usb存儲器
USB連接器
VGA連接器
Vishay
WCDMA功放
WCDMA基帶
Wi-Fi
Wi-Fi芯片
window8
WPG
XILINX
Zigbee
ZigBee Pro
安規電容
按鈕開關
白色家電
保護器件
保險絲管
北鬥定位
北高智

