如何解決自動檢測技術中電容傳感器的問題?
發布時間:2014-12-17 責任編輯:xueqi
【導讀】電容傳感器具有高阻抗、小功率、動(dong)態(tai)範(fan)圍(wei)大(da)等(deng)優(you)點(dian),因(yin)此(ci),電(dian)容(rong)傳(chuan)感(gan)器(qi)在(zai)自(zi)動(dong)檢(jian)測(ce)技(ji)術(shu)中(zhong)占(zhan)有(you)很(hen)重(zhong)要(yao)的(de)地(di)位(wei),並(bing)得(de)到(dao)廣(guang)泛(fan)的(de)應(ying)用(yong),但(dan)它(ta)在(zai)使(shi)用(yong)過(guo)程(cheng)中(zhong)也(ye)存(cun)在(zai)一(yi)些(xie)問(wen)題(ti),如(ru)何(he)解(jie)決(jue)這(zhe)些(xie)問(wen)題(ti)呢(ne)?
根據教材的理解來說,我們都知道電容傳感器是將被測的非電量的變化轉換為電容量變化的一種傳感器,它不僅能測量荷重、位移、振動、角度、加速度等機械量,還能測量液麵、料麵、成分含量等熱工參量。這種傳感器具有高阻抗、小功率、動態範圍大、動態響應較快、幾乎沒有零漂、結jie構gou簡jian單dan和he適shi應ying性xing強qiang等deng優you點dian。因yin此ci,電dian容rong傳chuan感gan器qi在zai自zi動dong檢jian測ce技ji術shu中zhong占zhan有you很hen重zhong要yao的de地di位wei,並bing得de到dao廣guang泛fan的de應ying用yong。但dan它ta在zai使shi用yong過guo程cheng中zhong也ye存cun在zai一yi些xie問wen題ti:
首(shou)先(xian)其(qi)靈(ling)敏(min)度(du)的(de)問(wen)題(ti)是(shi)我(wo)們(men)經(jing)常(chang)會(hui)遇(yu)到(dao)的(de),這(zhe)裏(li)我(wo)們(men)可(ke)以(yi)看(kan)到(dao)由(you)兩(liang)平(ping)行(xing)板(ban)組(zu)成(cheng)的(de)一(yi)個(ge)電(dian)容(rong)器(qi),若(ruo)忽(hu)略(lve)其(qi)邊(bian)緣(yuan)效(xiao)應(ying),其(qi)電(dian)容(rong)量(liang)可(ke)用(yong)下(xia)式(shi)表(biao)示(shi):

式中,S為極板相互遮蓋麵積,單位為m2;d為兩平行板間的距離,單位為m;ε為極板間介質的介電常數;εr極板間介質的相對介電常數;ε0真空的介電常數。從上式可以看出,當d小時可使電容量增大,而使靈敏度增加,但d過小容易引起電容器擊穿,一般我們可以采取在極板間放置雲母來改善,此時電容C為兩電容串聯,可寫成:

式中,ε1雲母片的介電常數;ε2空氣的介電常數;d0為氣隙寬度;d為兩極板間的距離。雲母的介電常數為空氣的7倍,雲母的擊穿電壓不少於103kv/mm,空氣的擊穿電壓僅為3kv/mm。厚度僅為0.01mm的雲母片,它的擊穿電壓也不小於10kv/mm,因(yin)此(ci)有(you)了(le)雲(yun)母(mu)片(pian),極(ji)板(ban)之(zhi)間(jian)的(de)距(ju)離(li)可(ke)大(da)大(da)減(jian)小(xiao),還(hai)能(neng)使(shi)電(dian)容(rong)傳(chuan)感(gan)器(qi)輸(shu)出(chu)特(te)性(xing)的(de)線(xian)性(xing)得(de)到(dao)改(gai)善(shan)。提(ti)高(gao)靈(ling)敏(min)度(du)除(chu)了(le)采(cai)用(yong)加(jia)雲(yun)母(mu)片(pian)的(de)方(fang)法(fa)外(wai),還(hai)可(ke)以(yi)采(cai)取(qu)以(yi)下(xia)措(cuo)施(shi):提高電源頻率或減小極板厚度可削弱邊緣效應。
第(di)二(er)個(ge)問(wen)題(ti)是(shi)電(dian)容(rong)傳(chuan)感(gan)器(qi)中(zhong)一(yi)些(xie)量(liang)的(de)變(bian)化(hua)範(fan)圍(wei)。在(zai)變(bian)極(ji)間(jian)距(ju)離(li)的(de)電(dian)容(rong)傳(chuan)感(gan)器(qi)中(zhong),由(you)於(yu)減(jian)小(xiao)極(ji)間(jian)距(ju)離(li)可(ke)以(yi)提(ti)高(gao)靈(ling)敏(min)度(du),多(duo)用(yong)來(lai)測(ce)量(liang)微(wei)米(mi)級(ji)的(de)位(wei)移(yi),一(yi)般(ban)極(ji)板(ban)間(jian)距(ju)離(li)不(bu)超(chao)過(guo)1mm,最大位移量應限製在間距的1/10範圍內;zaibianjibangongzuomianjidechuanganqizhong,keyicelianglimijideweiyi。zaidianrongchuanganqizhong,zhengquexuanzedianrongdedaxiaoshihenzhongyaode。helideshejijikeyishichuanganqimanzuceliangfanweideyaoqiu,youkeyitigaolingmindu,jianxiaofeixianxingwucha。yibanqidianrongdebianhuazai103PF~104PF範圍內,相對值ΔC/C的變化則在10-6~1範圍內。電容元件輸出阻抗一般在108Ω~106Ω,該數值還與所采用的交流電源頻率有關。為了減小絕緣電阻的影響和提高靈敏度,電源頻率一般采用在50kHz以上,但是采用高頻電源使信號放大、傳輸等問題比低頻時複雜的多。
disangewentishifenbudianrongdeyingxiang。youyudianrongchuanganqiyigehenguanjiandewentishifenbudianrongdianrongliangyuchuanganqidianrongliangxiangbibujinbunenghulve,erqieyingxianghaijiqiyanzhong,qihouguoshizaochengchuanshuxiaolvjiangdi、靈敏度下降、測量誤差增加及穩定性變差。近幾年來,對此問題有了新的解決途徑。其中“整體屏蔽法”就是一例,以差動電容傳感器為例,說明整體屏蔽法,在下圖中,CX1、CX2為差動電容,U為電源,A為放大器,整體屏蔽法是把整個電橋(包含電源電纜等)一起屏蔽起來,設計的關鍵點在於接地點的合理設置。采用把接地點放在兩個平衡電阻R1、R2之間與整體屏蔽共地,這樣,傳感器公用極板與屏蔽之間的分布電容C1與放大器的輸入阻抗並聯,從而可把C1視作放大器的輸入電容。由於放大器的輸入阻抗有極大值,C1的並聯也不希望存在,但它隻影響靈敏度而已,另外兩個分布電容C3、C4並聯在橋臂R1、R2上shang,會hui影ying響xiang電dian橋qiao的de初chu始shi平ping衡heng和he整zheng體ti靈ling敏min度du,並bing不bu影ying響xiang電dian橋qiao的de正zheng常chang工gong作zuo。因yin此ci,分fen布bu參can數shu對dui傳chuan感gan器qi電dian容rong的de影ying響xiang基ji本ben消xiao除chu,整zheng體ti屏ping蔽bi法fa是shi解jie決jue電dian容rong傳chuan感gan器qi分fen布bu電dian容rong問wen題ti的de很hen好hao方fang法fa,缺que點dian是shi使shi結jie構gou複fu雜za。

圖1:消除分布電容的工作電路圖
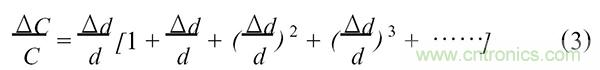
最後要說明的是關於非線性的問題。由下圖我們可以看到變間隙式電容傳感器相對輸出表達式為:

由上式可知變間隙式電容傳感器相對輸出與輸入為非線性關係。由於Δd/d<<1,工程上常采用以下兩種近似處理方法的辦法:
1.近似線性處理:即取上式右邊第一項近似,有:

2.近似非線性處理:即取相對輸出表達式的前兩項近似,有:

上述兩種近似產生的相對非線性誤差為:

通過以上的問題舉例與步驟分析我們可以看出,相對非線性誤差r0與間隙d0也ye成cheng反fan比bi例li關guan係xi,因yin此ci提ti高gao傳chuan感gan器qi的de靈ling敏min度du和he減jian小xiao非fei線xian性xing誤wu差cha是shi相xiang矛mao盾dun的de。在zai實shi際ji應ying用yong中zhong,為wei解jie決jue這zhe一yi矛mao盾dun,大da都dou采cai用yong差cha動dong式shi電dian容rong傳chuan感gan器qi。
相關閱讀:
威雅利免費樣片申請:加速度傳感器(GMA301/302/303)
威雅利免費樣片申請:壓力傳感器(TR係列)
特別推薦
- 噪聲中提取真值!瑞盟科技推出MSA2240電流檢測芯片賦能多元高端測量場景
- 10MHz高頻運行!氮矽科技發布集成驅動GaN芯片,助力電源能效再攀新高
- 失真度僅0.002%!力芯微推出超低內阻、超低失真4PST模擬開關
- 一“芯”雙電!聖邦微電子發布雙輸出電源芯片,簡化AFE與音頻設計
- 一機適配萬端:金升陽推出1200W可編程電源,賦能高端裝備製造
技術文章更多>>
- 築基AI4S:摩爾線程全功能GPU加速中國生命科學自主生態
- 一秒檢測,成本降至萬分之一,光引科技把幾十萬的台式光譜儀“搬”到了手腕上
- AI服務器電源機櫃Power Rack HVDC MW級測試方案
- 突破工藝邊界,奎芯科技LPDDR5X IP矽驗證通過,速率達9600Mbps
- 通過直接、準確、自動測量超低範圍的氯殘留來推動反滲透膜保護
技術白皮書下載更多>>
- 車規與基於V2X的車輛協同主動避撞技術展望
- 數字隔離助力新能源汽車安全隔離的新挑戰
- 汽車模塊拋負載的解決方案
- 車用連接器的安全創新應用
- Melexis Actuators Business Unit
- Position / Current Sensors - Triaxis Hall
熱門搜索




