解析MEMS陀螺儀的驅動和傳感及工作原理
發布時間:2019-03-12 責任編輯:lina
【導讀】傳統的陀螺儀主要是利用角動量守恒原理,因此它主要是一個不停轉動的物體,它的轉軸指向不隨承載它的支架的旋轉而變化。
傳統的陀螺儀主要是利用角動量守恒原理,因此它主要是一個不停轉動的物體,它的轉軸指向不隨承載它的支架的旋轉而變化。
但是MEMS陀螺儀(gyroscope)的工作原理不是這樣的,因為要用微機械技術在矽片襯底上加工出一個可轉動的結構可不是一件容易的事。MEMS陀螺儀利用科裏奧利力——旋轉物體在有徑向運動時所受到的切向力。下麵是導出科裏奧利力的方法。有力學知識的讀者應該不難理解。
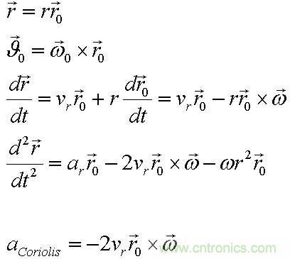
在空間設立動態坐標係(圖一)。用以下方程計算加速度可以得到三項,分別來自徑向加速、科裏奧利加速度和向心加速度。

圖一、動態坐標係

如果物體在圓盤上沒有徑向運動,科裏奧利力就不會產生。因此,在MEMS陀tuo螺luo儀yi的de設she計ji上shang,這zhe個ge物wu體ti被bei驅qu動dong,不bu停ting地di來lai回hui做zuo徑jing向xiang運yun動dong或huo者zhe震zhen蕩dang,與yu此ci對dui應ying的de科ke裏li奧ao利li力li就jiu是shi不bu停ting地di在zai橫heng向xiang來lai回hui變bian化hua,並bing有you可ke能neng使shi物wu體ti在zai橫heng向xiang作zuo微wei小xiao震zhen蕩dang,相xiang位wei正zheng好hao與yu驅qu動dong力li差cha90度。(圖二)MEMS陀螺儀通常有兩個方向的可移動電容板。徑向的電容板加震蕩電壓迫使物體作徑向運動(有點象加速度計中的自測試模式),橫向的電容板測量由於橫向科裏奧利運動帶來的電容變化(就象加速度計測量加速度)。因為科裏奧利力正比於角速度,所以由電容的變化可以計算出角速度。

圖二、MEMS陀螺儀的驅動和傳感
圖三是Z軸MEMS陀螺儀。它采用了閉合回路、數字輸出和傳感器芯片跟ASIC芯片分開平放連線的封裝方法。

圖三、BOSCH SMG 070原理圖
特別推薦
- 噪聲中提取真值!瑞盟科技推出MSA2240電流檢測芯片賦能多元高端測量場景
- 10MHz高頻運行!氮矽科技發布集成驅動GaN芯片,助力電源能效再攀新高
- 失真度僅0.002%!力芯微推出超低內阻、超低失真4PST模擬開關
- 一“芯”雙電!聖邦微電子發布雙輸出電源芯片,簡化AFE與音頻設計
- 一機適配萬端:金升陽推出1200W可編程電源,賦能高端裝備製造
技術文章更多>>
- 一秒檢測,成本降至萬分之一,光引科技把幾十萬的台式光譜儀“搬”到了手腕上
- AI服務器電源機櫃Power Rack HVDC MW級測試方案
- 突破工藝邊界,奎芯科技LPDDR5X IP矽驗證通過,速率達9600Mbps
- 通過直接、準確、自動測量超低範圍的氯殘留來推動反滲透膜保護
- 從技術研發到規模量產:恩智浦第三代成像雷達平台,賦能下一代自動駕駛!
技術白皮書下載更多>>
- 車規與基於V2X的車輛協同主動避撞技術展望
- 數字隔離助力新能源汽車安全隔離的新挑戰
- 汽車模塊拋負載的解決方案
- 車用連接器的安全創新應用
- Melexis Actuators Business Unit
- Position / Current Sensors - Triaxis Hall
熱門搜索
按鈕開關
白色家電
保護器件
保險絲管
北鬥定位
北高智
貝能科技
背板連接器
背光器件
編碼器型號
便攜產品
便攜醫療
變容二極管
變壓器
檳城電子
並網
撥動開關
玻璃釉電容
剝線機
薄膜電容
薄膜電阻
薄膜開關
捕魚器
步進電機
測力傳感器
測試測量
測試設備
拆解
場效應管
超霸科技




