LCR數字電橋工作原理
發布時間:2020-06-15 責任編輯:lina
【導讀】數(shu)字(zi)電(dian)橋(qiao)就(jiu)是(shi)能(neng)夠(gou)測(ce)量(liang)電(dian)感(gan),電(dian)容(rong),電(dian)阻(zu),阻(zu)抗(kang)的(de)儀(yi)器(qi),這(zhe)是(shi)一(yi)個(ge)傳(chuan)統(tong)習(xi)慣(guan)的(de)說(shuo)法(fa),最(zui)早(zao)的(de)阻(zu)抗(kang)測(ce)量(liang)用(yong)的(de)是(shi)真(zhen)正(zheng)的(de)電(dian)橋(qiao)方(fang)法(fa),隨(sui)著(zhe)現(xian)代(dai)模(mo)擬(ni)和(he)數(shu)字(zi)技(ji)術(shu)的(de)發(fa)展(zhan),早(zao)已(yi)經(jing)淘(tao)汰(tai)了(le)這(zhe)種(zhong)測(ce)量(liang)方(fang)法(fa),但(dan) LCR 電橋的叫法一直沿用至今。如果是使用了微處理器的 LCR 電橋則叫 LCR 數字電橋。
數(shu)字(zi)電(dian)橋(qiao)就(jiu)是(shi)能(neng)夠(gou)測(ce)量(liang)電(dian)感(gan),電(dian)容(rong),電(dian)阻(zu),阻(zu)抗(kang)的(de)儀(yi)器(qi),這(zhe)是(shi)一(yi)個(ge)傳(chuan)統(tong)習(xi)慣(guan)的(de)說(shuo)法(fa),最(zui)早(zao)的(de)阻(zu)抗(kang)測(ce)量(liang)用(yong)的(de)是(shi)真(zhen)正(zheng)的(de)電(dian)橋(qiao)方(fang)法(fa),隨(sui)著(zhe)現(xian)代(dai)模(mo)擬(ni)和(he)數(shu)字(zi)技(ji)術(shu)的(de)發(fa)展(zhan),早(zao)已(yi)經(jing)淘(tao)汰(tai)了(le)這(zhe)種(zhong)測(ce)量(liang)方(fang)法(fa),但(dan) LCR 電橋的叫法一直沿用至今。如果是使用了微處理器的 LCR 電橋則叫 LCR 數字電橋。一般用戶又稱這些為:LCR 測試儀、LCR 電橋、LCR 表、LCR Meter 等等。

隨著電路信號不斷“高速”、“高頻”。 我們必須知道 LRC 的實際模型,而不能簡單的看成理想模型。
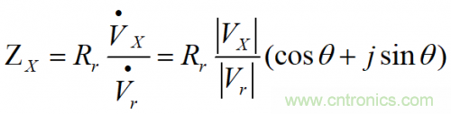
通過精確測量加載到被測件 DUT 的電壓和電流,從而精確測量出 DUT 阻抗值。從圖中可以看出,通過 DUT 的電流等於通過電阻 Rr 的電流,而通過 Rr 的電流可以通過測量 Vr 計算出來。



阻抗的測量歸結為兩個正弦信號的相位差的測量。
在 LCR 數字電橋內部,可以使用相敏檢波器(PSD)分別測出 Vx 和 Vr 對應於某一參考相量的同相量分量和正交分量,然後經模數轉換(A/D)器將其轉化為數字量,再由計算機進行複數運算,即可得到組成被測阻抗 Zx 的電阻值與電抗值。
數shu字zi電dian橋qiao隻zhi是shi繼ji承cheng了le電dian橋qiao傳chuan統tong的de稱cheng呼hu。實shi際ji上shang它ta已yi失shi去qu傳chuan統tong經jing典dian交jiao流liu電dian橋qiao的de組zu成cheng形xing式shi,而er是shi在zai更geng高gao的de水shui平ping上shang回hui到dao以yi歐ou姆mu定ding律lv為wei基ji礎chu的de測ce量liang阻zu抗kang的de電dian流liu表biao、電壓表的線路和原理中。
如何測量電壓與電流的相位差
方法一:過零比較+時間測量技術

通過用過零點出發一個電平的方式,再測量兩個過零點之間的時間差。

方法二:雙通道同步取樣技術

通過兩路 ADC 采樣後做運算處理分析。

方法三:模擬乘法器

將兩個信號進行乘法。
既然可以獲取角度值,則可以獲得阻抗值。
免責聲明:本文為轉載文章,轉載此文目的在於傳遞更多信息,版權歸原作者所有。本文所用視頻、圖片、文字如涉及作品版權問題,請聯係小編進行處理。
特別推薦
- 噪聲中提取真值!瑞盟科技推出MSA2240電流檢測芯片賦能多元高端測量場景
- 10MHz高頻運行!氮矽科技發布集成驅動GaN芯片,助力電源能效再攀新高
- 失真度僅0.002%!力芯微推出超低內阻、超低失真4PST模擬開關
- 一“芯”雙電!聖邦微電子發布雙輸出電源芯片,簡化AFE與音頻設計
- 一機適配萬端:金升陽推出1200W可編程電源,賦能高端裝備製造
技術文章更多>>
- 邊緣AI的發展為更智能、更可持續的技術鋪平道路
- 每台智能體PC,都是AI時代的新入口
- IAR作為Qt Group獨立BU攜兩項重磅汽車電子應用開發方案首秀北京車展
- 構建具有網絡彈性的嵌入式係統:來自行業領袖的洞見
- 數字化的線性穩壓器
技術白皮書下載更多>>
- 車規與基於V2X的車輛協同主動避撞技術展望
- 數字隔離助力新能源汽車安全隔離的新挑戰
- 汽車模塊拋負載的解決方案
- 車用連接器的安全創新應用
- Melexis Actuators Business Unit
- Position / Current Sensors - Triaxis Hall
熱門搜索
Future
GFIVE
GPS
GPU
Harting
HDMI
HDMI連接器
HD監控
HID燈
I/O處理器
IC
IC插座
IDT
IGBT
in-cell
Intersil
IP監控
iWatt
Keithley
Kemet
Knowles
Lattice
LCD
LCD模組
LCR測試儀
lc振蕩器
Lecroy
LED
LED保護元件
LED背光


