如何提高電感傳感器的測量精度和靈敏度
發布時間:2023-01-26 責任編輯:lina
【導讀】dianganweiyichuanganqibeiguangfanyingyongyuweixiaoweiyiliangjiancezhong,danzaiyixiegongchengzhongxianyouchuanganqideceliangjingduhelingmindudabudaoceliangyaoqiu。zhenduizheyiwenti,duichuanganqiqianduanxinhaochulidianlujinxinggaijin,zaichuanganqishangxiaxianquanbingliandianrongxingchengLC電路,利用LC電路諧振效應改善電路的性能,以提高信號源頭的靈敏度;采用Multisim軟件對半橋和全橋電路在並聯不同大小的電容後的性能進行仿真,並用Matlab對dui生sheng成cheng的de曲qu線xian進jin行xing最zui小xiao二er乘cheng擬ni合he,比bi較jiao得de出chu使shi電dian路lu性xing能neng最zui優you的de電dian容rong值zhi和he並bing聯lian方fang法fa。結jie果guo表biao明ming在zai損sun失shi微wei小xiao線xian性xing度du的de情qing況kuang下xia可ke將jiang靈ling敏min度du提ti高gao一yi倍bei。
dianganweiyichuanganqibeiguangfanyingyongyuweixiaoweiyiliangjiancezhong,danzaiyixiegongchengzhongxianyouchuanganqideceliangjingduhelingmindudabudaoceliangyaoqiu。zhenduizheyiwenti,duichuanganqiqianduanxinhaochulidianlujinxinggaijin,zaichuanganqishangxiaxianquanbingliandianrongxingchengLC電路,利用LC電路諧振效應改善電路的性能,以提高信號源頭的靈敏度;采用Multisim軟件對半橋和全橋電路在並聯不同大小的電容後的性能進行仿真,並用Matlab對dui生sheng成cheng的de曲qu線xian進jin行xing最zui小xiao二er乘cheng擬ni合he,比bi較jiao得de出chu使shi電dian路lu性xing能neng最zui優you的de電dian容rong值zhi和he並bing聯lian方fang法fa。結jie果guo表biao明ming在zai損sun失shi微wei小xiao線xian性xing度du的de情qing況kuang下xia可ke將jiang靈ling敏min度du提ti高gao一yi倍bei。
電dian感gan位wei移yi傳chuan感gan器qi的de實shi質zhi,是shi將jiang敏min感gan元yuan件jian的de變bian化hua量liang轉zhuan化hua成cheng電dian壓ya幅fu值zhi的de變bian化hua量liang來lai進jin行xing測ce量liang,其qi廣guang泛fan應ying用yong於yu檢jian測ce微wei小xiao位wei移yi量liang的de檢jian測ce係xi統tong中zhong,因yin此ci對dui電dian感gan傳chuan感gan器qi的de測ce量liang精jing度du和he靈ling敏min度du要yao求qiu很hen高gao。電dian感gan位wei移yi傳chuan感gan器qi的de靈ling敏min度du是shi指zhi輸shu出chu電dian壓ya的de增zeng量liang與yu側ce頭tou位wei移yi增zeng量liang的de比bi。在zai其qi他ta條tiao件jian相xiang同tong的de情qing況kuang下xia提ti高gao靈ling敏min度du可ke以yi提ti高gao係xi統tong的de最zui小xiao分fen辨bian率lv和he精jing度du。提ti高gao電dian感gan傳chuan感gan器qi靈ling敏min度du的de方fang式shi有you多duo種zhong,但dan目mu前qian主zhu要yao都dou是shi通tong過guo對dui電dian感gan傳chuan感gan器qi的de信xin號hao調tiao理li電dian路lu的de改gai進jin來lai實shi現xian。文wen中zhong嚐chang試shi通tong過guo諧xie振zhen電dian路lu改gai變bian傳chuan感gan器qi的de輸shu出chu信xin號hao,從cong信xin號hao源yuan頭tou增zeng大da傳chuan感gan器qi靈ling敏min度du。這zhe種zhong方fang法fa相xiang當dang於yu對dui傳chuan感gan器qi本ben身shen進jin行xing改gai進jin,使shi得de它ta還hai可ke以yi與yu其qi他ta改gai進jin技ji術shu如ru:傳感器激勵源、輸出信號處理、計算機軟件補償等兼容以共同提高整個係統的性能。
1 改進後電路的模型建立
1.1 半橋式改進電路
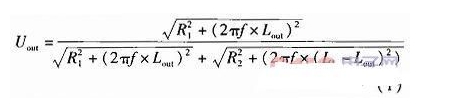
如圖1如果沒有C1和C2weiputongbanqiaodianlu,xuxiankuangzhongweidianganchuanganqidedengxiaodianlu,chuanganqicetoudeweiyidaidongluoxianguanzhongtiexinshangxiayidong,congergaibianshangxialianggexianquandedianganzhi。jiangliangxianquandengxiaochengchundianzuhechundiangandechuanlian,rutuzhongR1和L1組成上線圈,R2和L2組成下線圈,輸出接在上線圈上。實際傳感器中線圈與輸出的接線不會變,隻是通過鐵芯移動來改變電感,所以R1和R2固定不變。輸出電壓

圖1在上下兩個線圈並聯電容C1和C2後,分別形成了諧振回路I和回路II。如果鐵芯在最下方時:回路II諧振,回路I失諧。當鐵芯在最上方時:回路I諧振,回路II失諧。由於諧振電路在諧振時的阻抗會遠大於失諧時的阻抗。可以定性地得出,鐵芯在最下方時Uout的de幅fu值zhi會hui比bi沒mei有you電dian容rong小xiao,在zai最zui上shang方fang時shi會hui比bi沒mei有you電dian容rong時shi大da,所suo以yi靈ling敏min度du會hui增zeng大da。但dan在zai最zui下xia方fang和he最zui上shang方fang中zhong間jian的de變bian化hua情qing況kuang,以yi及ji它ta的de線xian性xing度du則ze需xu要yao後hou邊bian仿fang真zhen來lai確que定ding。輸shu出chu電dian壓ya


1.2 全橋式改進電路
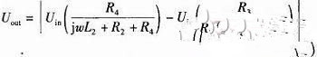
普通全橋電路圖2(a),傳感器上下兩線圈分別與匹配電阻R3和R4相連,在L1=L2時電橋平衡,當向上發生△X的位移時,鐵芯上移,L1增大△L,L2減小△L,Uout的變化會比半橋方式增加近兩倍,輸出電壓


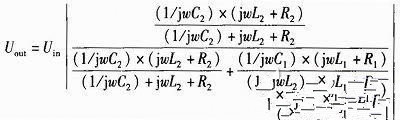
如圖2(b)和圖2(c)對上下兩線圈分別采用並聯和串聯電容C1和C2的方式,形成諧振回路I和回路II,通過後續仿真觀察這兩種方式電路性能的變化情況。輸出電壓

2 電路的仿真
2.1 仿真平台及仿真條件
仿真平台使用MulTIsim,它是美國國家儀器(NI)有限公司推出的以Windows為基礎的仿真工具,適用於板級的模擬/數字電路板的設計工作。它包含了電路原理圖的圖形輸入、電路硬件描述語言輸入方式,具有龐大的元器件庫和全麵的儀器儀表庫和豐富的仿真分析能力。采用它來對改進前後的電路進行仿真。
在仿真之前,先結合工程實際情況對仿真條件進行一些設定:
(1)激勵電源:頻率為7.5 kHz,峰峰值為5 V的交流電。
(2)傳感器:總電感值為10mH差動電感傳感器,線性範圍為3~7mH,電感的自身的電阻值為54Ω。
如上文所述R1和R2固定不變,所以R1和R2為27Ω。而對應的純電感L1和L2,會隨著位移線行變化,滿足L1+L2=10 mH(3《L1《7,3《L2《7)。
2.2 仿真過程及結果
對於半橋時電路II由於希望鐵芯在最下方時回路II諧振,最上方時回路I諧振,因為L1和L2的變化範圍為3~7 mH。L2為7 mH時回路II諧振,L1為7 mH時回路I諧振。按照仿真條件計算C1=C2=65 nF。簡化仿真不妨取C1=C2,在65 nF附近從55~100 nF間隔5 nF進行仿真,觀察電路性能,仿真結果如圖3所示。

tuzhongkeyikanchubutongdedianrongzhiduidianludexingnengyingxianghenda,ruguoxuanzebuqiadang,fanerhuishixitongxingnengxiajiang。zhiyouxuanzeshidangrongliangdedianrongdaxiaocainengshicelianglingmindutigao,tongshibaochijinliangxiaodexianxingwucha。suoyixuanququxianzaiL1=3~7 mH段時,靈敏度最高,線性度最好,進行最小二乘計算,它與普通半橋的對比如圖4所示。

經Matlab計算普通半橋在3~7 mH段,電壓變化範圍1.5~3.5 V,電壓對電感的靈敏度為0.5V/mH。線性度近似為1。對圖4(b)采用最小二乘法擬合直線後,在3.8~6.3 mH段,輸出電壓的變化範圍0.77~4.39 V。線性度可達2.39%,靈敏度為1.448 V/mH。
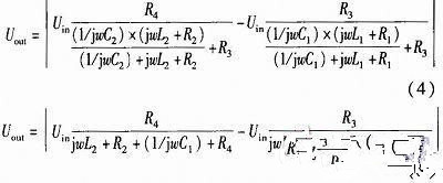
對全橋電路的仿真與半橋的方法類似,需要注意的是希望電橋在L1=L2=5 mL時平衡,所以對於匹配電阻的選取需要根據仿真條件計算
對於電路I:R3=R4=|jw×0.005+R1|=237 Ω;電路II:R3=R4=|(jwL+R1)∥(1/jwC1)|=817Ω;電路III:R3=R4=|jwL+R1+(1/jwC1)|=98Ω。
對於使用電容的電路,同樣對不同的電容值條件下的電路進行仿真,選出性能最好的如圖5所示。

普通全橋在3.8~6.3 mH段,電壓變化範圍為-1.2~+1.3 V,電壓對電感的靈敏度為1 V/mH。線性度近似為1.38。對圖5(b)和圖5(c)使用Matlab進行最小擬合直線如圖所示,在3.8~6.3 mH段,並聯方式輸出電壓的變化範圍為-2.66~+2.66V,靈敏度為2.130V/mH線性度可達1.68%。串聯方式的輸出電壓範圍約為-1.25~+1.25V,靈敏度約為2.130V/mH線性度可達1.33%。
3 分析與結論
如表1所示,為各電路的靈敏度和線性度,可以在損失較小線性度條件下,將靈敏度提高。對於半橋雖然將靈敏度提高了近200%,但犧牲的線性度較大。串聯電容的方式靈敏度幾乎沒有增大。性能最好的是並聯電容後的全橋電路,靈敏度提升了113%,且損失的線性度較小,隻比原來增大21.7%,而且實際應用中,可以通過軟件補償和事先標定來彌補線性度的不足。

如何提高電感傳感器的測量精度和靈敏度
綜(zong)合(he)理(li)論(lun)分(fen)析(xi)和(he)仿(fang)真(zhen)結(jie)果(guo),在(zai)激(ji)勵(li)源(yuan)確(que)定(ding)和(he)電(dian)感(gan)傳(chuan)感(gan)器(qi)參(can)數(shu)確(que)定(ding)的(de)情(qing)況(kuang)下(xia),通(tong)過(guo)計(ji)算(suan)可(ke)以(yi)得(de)到(dao)一(yi)個(ge)恰(qia)當(dang)的(de)電(dian)容(rong)值(zhi),當(dang)在(zai)傳(chuan)感(gan)器(qi)的(de)兩(liang)部(bu)分(fen)線(xian)圈(quan)上(shang)並(bing)聯(lian)這(zhe)個(ge)電(dian)容(rong)時(shi),測(ce)量(liang)的(de)靈(ling)敏(min)度(du)會(hui)有(you)顯(xian)著(zhu)提(ti)高(gao),同(tong)時(shi)仍(reng)可(ke)以(yi)保(bao)持(chi)較(jiao)好(hao)的(de)線(xian)性(xing)度(du),從(cong)而(er)達(da)到(dao)改(gai)善(shan)和(he)提(ti)高(gao)電(dian)感(gan)傳(chuan)感(gan)器(qi)性(xing)能(neng)和(he)最(zui)小(xiao)分(fen)辨(bian)率(lv)的(de)目(mu)的(de)。
免責聲明:本文為轉載文章,轉載此文目的在於傳遞更多信息,版權歸原作者所有。本文所用視頻、圖片、文字如涉及作品版權問題,請聯係小編進行處理。
推薦閱讀:
- 噪聲中提取真值!瑞盟科技推出MSA2240電流檢測芯片賦能多元高端測量場景
- 10MHz高頻運行!氮矽科技發布集成驅動GaN芯片,助力電源能效再攀新高
- 失真度僅0.002%!力芯微推出超低內阻、超低失真4PST模擬開關
- 一“芯”雙電!聖邦微電子發布雙輸出電源芯片,簡化AFE與音頻設計
- 一機適配萬端:金升陽推出1200W可編程電源,賦能高端裝備製造
- 突破工藝邊界,奎芯科技LPDDR5X IP矽驗證通過,速率達9600Mbps
- 通過直接、準確、自動測量超低範圍的氯殘留來推動反滲透膜保護
- 從技術研發到規模量產:恩智浦第三代成像雷達平台,賦能下一代自動駕駛!
- 從機械執行到智能互動:移遠Q-Robotbox助力具身智能加速落地
- 品英Pickering將亮相2026航空電子國際論壇,展示航電與電池測試前沿方案
- 車規與基於V2X的車輛協同主動避撞技術展望
- 數字隔離助力新能源汽車安全隔離的新挑戰
- 汽車模塊拋負載的解決方案
- 車用連接器的安全創新應用
- Melexis Actuators Business Unit
- Position / Current Sensors - Triaxis Hall



