使用 LLC 諧振轉換器的數字電源控製
發布時間:2023-03-22 責任編輯:lina
【導讀】隨著新型低成本、高性能微控製器 (MCU) 的麵世,數字電源控製的優勢可以被引入到範圍廣泛的嵌入式、工業和控製應用中。傳統的模擬係統容易受到漂移、元件老化、溫wen度du變bian化hua和he元yuan件jian容rong差cha退tui化hua等deng因yin素su的de影ying響xiang。開kai發fa人ren員yuan也ye僅jin限xian於yu經jing典dian控kong製zhi實shi現xian。此ci外wai,基ji於yu模mo擬ni的de係xi統tong幾ji乎hu沒mei有you靈ling活huo性xing來lai適shi應ying不bu同tong的de環huan境jing操cao作zuo條tiao件jian,甚shen至zhi無wu法fa適shi應ying係xi統tong要yao求qiu的de簡jian單dan變bian化hua。
它使用基於靈活的 32 位低成本高性能微控製器的線路電平控製 (LLC) 諧振轉換器。探討了數字電源控製的關鍵要素;包括占空比控製、實時死區調整、頻率控製以及用於維持不同安全操作區域的自適應閾值。
隨著新型低成本、高性能微控製器 (MCU) 的麵世,數字電源控製的優勢可以被引入到範圍廣泛的嵌入式、工業和控製應用中。傳統的模擬係統容易受到漂移、元件老化、溫wen度du變bian化hua和he元yuan件jian容rong差cha退tui化hua等deng因yin素su的de影ying響xiang。開kai發fa人ren員yuan也ye僅jin限xian於yu經jing典dian控kong製zhi實shi現xian。此ci外wai,基ji於yu模mo擬ni的de係xi統tong幾ji乎hu沒mei有you靈ling活huo性xing來lai適shi應ying不bu同tong的de環huan境jing操cao作zuo條tiao件jian,甚shen至zhi無wu法fa適shi應ying係xi統tong要yao求qiu的de簡jian單dan變bian化hua。
dangshiyongshuzifangfajinxingshejishi,bufendianyuanxitongkeyiyongruanjianshixian,congerdailaiyidingchengdudelinghuoxing,shidanyijiagounenggouzaiyixilieyingyonghecaozuotiaojianxiatigongxingneng。jiezhujiyuruanjiandekongzhisuanfa,kaifarenyuankeyi:
• 通過配置確保和可預測的係統行為——無論是在工廠還是在通電時——以針對組件容差問題進行調整
• 通過使用算法(即非線性、多變量等)提高效率,這些算法在基於模擬的係統中實施是不可行的
• 通過動態重新校準在延長的係統生命周期內保持性能
• 使用單個控製器支持多個係統
• 通過自診斷提高係統可靠性
• 通過通信鏈路實現智能管理
• 通過允許開發人員使用模型工具和 C 來簡化係統設計,而不必在每次需求更改時重新設計模擬設計
• 通過在同一 MCU 上支持其他係統功能來降低係統成本
本文介紹了使用基於靈活的 32 位、低成本、高性能微控製器的 LLC(線路電平控製)諧振轉換器的數字電源控製實現。將探討數字電源控製的關鍵要素;包括占空比控製、實時死區調整、頻率控製和自適應閾值以保持不同的安全操作區域。
在有源負載期間使用係數調整電壓補償器將展示實施的靈活性,而可編程軟啟動/tingzhigongnenghezhuanhuanlvkongzhideshiyongjiangzhanshiruhebimianlangyongdianliuhejiangdikewenzaosheng。,kaifarenyuanjianglejiehunhetufamoshikongzhiruhexianzhetigaoqingzaihedaijixiaolv。
使用微控製器進行數字控製
考慮使用合適的 MCU 來提供使用單個獨立控製器控製係統所需的所有必要性能和外圍設備。具有充足裕量和專用外設的 MCU 將使開發人員能夠實施更先進的控製算法,以進一步提高性能,同時降低係統成本。
很少有微控製器具有針對數字控製應用優化的架構,具有先進的架構功能以增強高速信號處理。主 CPU 內核需要內置 DSP 功能,例如單周期 32 x 32 位乘法和累加 (MAC) 單元,以大大加快計算處理速度。模數轉換器 (ADC) 和 PWM 等集成控製外設設計得非常靈活,可以輕鬆適應幾乎所有用途,而且軟件開銷非常小。例如,ADC 有一個可編程自動定序器,可以按特定順序循環采樣,以便在應用程序需要時準備好值。擁有更智能的控製外設和強大的 CPU 內核,控製環路運行更緊密,
微控製器需要提供實時數字控製所需的重要 PWM 功能,包括:
• 軟啟動的占空比控製可避免浪湧電流並啟用各種突發模式配置以提高輕負載效率
• 實時死區可調性保證所有工作點的 ZVS 並優化效率
• 觸發區和內部比較器選項可實現瞬時 PWM 禁用,以確保係統的可靠性和安全性
• 低至 150 ps 的高分辨率頻率調節能力,可實現的輸出電壓調節
與模擬控製器不同,使用微控製器的係統可以通過使用 PID 和 2P2Z 等可編程電壓/電流調節器輕鬆定製以實現性能。開發人員可以通過為安全操作區域邊界設置特定閾值來防止災難性故障,這些閾值與可編程軟啟動/停止功能相關。通過數字控製實現的其他功能包括避免浪湧電流、降低可聞噪聲、使用可編程軟瞬態選項限製轉換速率、用於多通道應用的排序和可編程延遲時間,以及用於待機和輕型的可編程突發模式功能負載。
LLC 諧振轉換器
zhongsuozhouzhideshuzidianyuantuopuzhiyishixiezhenzhuanhuanqi。zaitigonggaoxiaolvhedizaoshengdetongshi,changjiandexiezhentuopuyoujigemingxiandejuxianxing。liru,zhuanhuanqililunshangwufazaikongzaihuoqingzaitiaojianxiajinxingtiaojie,bingqiexuyaokuanpinlvbianhuacainengzaizhenggefuzaifanweineitiaojieshuchu。zaiqingzaitiaojianxia,xiaoxiezhendianliuhuidaozhilingdianyakaiguan (ZVS) 損失。此外,再循環能量會降低高線路或輕負載效率。
LLC 諧振拓撲的簡單結構克服了傳統諧振拓撲的缺點。LLC 諧振拓撲的優點包括:
• 初級側開關的完全 ZVS 操作是可能的,因為與理想變壓器相比,變壓器的磁化電感 (Lm) 相對較小
• 由於在不降低輸出電壓調節的情況下降低開關損耗,從空載到滿載 ZVS 的高效率和高功率密度
• 由於 ZVS,低電磁幹擾 (EMI) 和降低的濾波要求,並且開關發生在零漏極電壓的條件下
• 由於集成了變壓器,因此無需外部並聯串聯電感器。磁化電感和漏電感也作為拓撲的一部分
• 由於開關在低電流條件下關閉,因此降低了關斷損耗
• 由於沒有次級濾波電感器,次級整流器上的低壓應力(限製為兩倍輸出電壓)和零電流開關 (ZCS) 操作。此外,次級二極管的 ZCS 消除了其反向恢複問題
諧振轉換器驅動器旨在調節半橋的開關頻率以調節輸出。然而,通過使用低成本微控製器來調整頻率、占空比和死區,可以使整個係統的運行效率更高。圖 1 顯示了一個可變輸入、可變輸出 LLC 轉換器係統。數字控製方法支持使用任何調節器——包括比例積分微分 (PID) 和雙極二零 (2P2Z)——從而簡化了係統的定製。
微控製器內的嵌入式比較器和跳閘區需要在短路、過載、過壓、掉電等情況下提供可編程保護。在控製軟件中,軟啟動/停ting止zhi功gong能neng可ke避bi免mian浪lang湧yong電dian流liu並bing降jiang低di可ke聞wen噪zao聲sheng。當dang係xi統tong遵zun循xun給gei定ding的de參can考kao電dian壓ya電dian平ping時shi,可ke編bian程cheng軟ruan瞬shun變bian選xuan項xiang會hui限xian製zhi轉zhuan換huan率lv。通tong過guo混hun合he占zhan空kong比bi和he頻pin率lv控kong製zhi進jin行xing增zeng益yi調tiao整zheng,可ke實shi現xian更geng平ping滑hua的de啟qi動dong曲qu線xian,而er不bu會hui導dao致zhi過guo衝chong或huo高gao浪lang湧yong電dian流liu。通tong過guo以yi突tu發fa模mo式shi運yun行xing係xi統tong可ke提ti高gao輕qing負fu載zai效xiao率lv,這zhe涉she及ji半ban橋qiao脈mai寬kuan調tiao製zhi器qi (PWM) 的開/關控製。,微控製器上的附加外設應允許用戶控製同步整流器。
圖 1a LLC 諧振轉換器的係統級框圖
圖 1b 數字控製係統
如ru圖tu所suo示shi,在zai次ci級ji側ce,二er極ji管guan電dian路lu或huo同tong步bu整zheng流liu方fang法fa的de各ge種zhong組zu合he提ti高gao了le整zheng體ti效xiao率lv。微wei控kong製zhi器qi可ke以yi位wei於yu初chu級ji側ce或huo次ci級ji側ce,具ju體ti取qu決jue於yu應ying用yong要yao求qiu。
變壓器漏電和磁化電感用作 LLC 拓tuo撲pu的de一yi部bu分fen,以yi限xian度du地di降jiang低di成cheng本ben和he尺chi寸cun。或huo者zhe,可ke以yi在zai原yuan型xing製zhi作zuo期qi間jian在zai外wai部bu實shi施shi漏lou感gan,以yi簡jian化hua設she計ji和he故gu障zhang排pai除chu。此ci外wai,使shi用yong外wai部bu電dian感gan器qi的de能neng力li提ti供gong了le優you化hua諧xie振zhen回hui路lu設she計ji的de靈ling活huo性xing,以yi解jie決jue特te定ding的de製zhi造zao困kun難nan和he設she計ji權quan衡heng。一yi些xie常chang見jian的de諧xie振zhen回hui路lu設she計ji權quan衡heng是shi係xi統tong效xiao率lv、工作頻率、輸出精度、轉換比、傳導損耗與開關損耗、係統頻率分辨率、/可實現頻率和可變輸入輸出要求。
軟件流程
圖 2 顯示了單級 LLC 轉換器控製軟件流程,分為兩部分:用於控製相關算法的高速、高優先級代碼和用於初始化和後台任務的低速、低優先級代碼。
高速代碼通常以效率編寫,以實現更大帶寬的控製環路。此代碼使用中斷服務例程 (ISR) 調用,中斷服務例程在調用時能夠中斷後台任務。對於以可變開關頻率運行的 LLC 轉換器,可能會使用兩個異步運行的 ISR。一個 ISR 將用於處理控製回路算法並以固定頻率調用以避免違反采樣和控製理論。第二個 ISR 將用於處理 PWM 模塊更新並以 PWM 開關頻率(可變)調用,以允許同時更新並限度地減少控製環路計算和更新之間的延遲。
當沒有 ISR 處於活動狀態時,較慢的後台循環將在剩餘時間間隔內執行。這是執行儀表、軟啟動、開/關延遲、保護機製、有源負載控製和通信等係統任務的地方。任務狀態機已作為後台代碼的一部分實現。任務按組排列(A1、A2、A3…、B1、B2、B3…、C1、C2、C3…)並根據三個 CPU 定時器執行,這些定時器配置有用戶定義的周期 1 ms、5 ms 和分別為 7.5 毫秒。任務在每個組內以“循環”方式執行。例如,如果 B 組每 5 毫秒執行並且有 3 個任務,則每個“B 任務”將每 15 毫秒執行。“慢速”任務可以用 C 語言編寫,而時間要求更高的諧振轉換器控製算法則用彙編代碼編寫。
圖 2:LLC 諧振轉換器控製軟件流程圖
SR PWM 時序注意事項
同步整流器 (SR) 電流具有正半波正弦波形狀。理想的 SR 時序將使 MOSFET 在非零正電流期間導通,並在所有其他時間關閉,這與二極管的導通方式相同。這意味著 SR 將在電流開始時以零電流開啟,並在電流結束時以零電流關閉,從而實現零電流開關 (ZCS)。
可以根據初級側開關時序輕鬆獲得 SR 開啟時序。這是因為當初級側開關導通時,SR 電流在半周期開始時開始流動。通過將 SR PWM 設置為在其對應的初級側半橋 PWM 的同時或稍晚開啟,可以在 SR 開啟期間實現 ZCS。SR 關斷時序更難獲得。這是因為 SR 關斷電流零交叉點隨頻率變化。在諧振頻率以上,SR 電流實際上在半周期結束之前永遠不會達到零。在這種情況下,SR 關閉時序隻是在半周期結束時。即使未實現 ZCS,這也提供了的功率損耗。在諧振頻率下,SR 電流在半周期結束時達到零。在這個情況下,SR 關斷時序也是在半周期結束時,但可以實現 ZCS。在諧振頻率以下,SR 電流在半周期結束前達到零。
這導致三種可能的情況。首先,如果 SR 關斷發生得太晚,負電流會反向流過 SR MOSFET,這是不希望發生的,並可能導致組件損壞。其次,如果 SR 過早關閉,則無法實現 ZCS 並會出現額外的功率損耗。第三,如果 SR 關斷發生在零交叉點,則實現 ZCS。ZCS 的第三種情況是理想的情況。
設置 SR 關閉時序的方法有很多種。一種簡單的方法是選擇固定時序(相對於半周期的開始或結束),以確保 SR 在 ZCS 點或更早關閉所有頻率,從而提供 SR 的一些好處而不會損壞組件。第二種更的方法是根據頻率調整 SR 關閉時序。這將允許所有頻率的 ZCS,但是,除非 SR 關(guan)閉(bi)時(shi)序(xu)更(geng)新(xin)得(de)足(zu)夠(gou)快(kuai),否(fou)則(ze)在(zai)頻(pin)率(lv)突(tu)然(ran)偏(pian)移(yi)後(hou)可(ke)能(neng)會(hui)發(fa)生(sheng)前(qian)兩(liang)種(zhong)低(di)於(yu)諧(xie)振(zhen)頻(pin)率(lv)的(de)操(cao)作(zuo)情(qing)況(kuang)。這(zhe)兩(liang)種(zhong)方(fang)法(fa)還(hai)需(xu)要(yao)通(tong)過(guo)實(shi)驗(yan)來(lai)確(que)定(ding)每(mei)個(ge)實(shi)施(shi)所(suo)需(xu)的(de) SR 關閉時序,這可能非常耗時或不切實際。第三種方法是直接根據 SR 電流水平調整 SR 關閉時序。這將需要額外的感測電路,但可以簡化開發並降低計算要求。
瞬態調整
為(wei)了(le)保(bao)持(chi)環(huan)路(lu)調(tiao)整(zheng)簡(jian)單(dan)並(bing)避(bi)免(mian)使(shi)用(yong)複(fu)雜(za)的(de)數(shu)學(xue)或(huo)分(fen)析(xi)工(gong)具(ju),必(bi)須(xu)通(tong)過(guo)將(jiang)自(zi)由(you)度(du)重(zhong)新(xin)映(ying)射(she)到(dao)一(yi)組(zu)更(geng)直(zhi)觀(guan)的(de)係(xi)數(shu)來(lai)考(kao)慮(lv)自(zi)由(you)度(du)的(de)數(shu)量(liang)。例(li)如(ru),使(shi)用(yong)五(wu)個(ge) 2P2Z 穩壓器係數項(B0、B1、B2、A1 和 A2)可以通過將這些項重新映射到 P、I 和 D xishuzengyilaijianhua,meigezengyidoukeyidulitiaozheng。zhezhongfangfaxuyaocunzaizhouqixingshuntaihuoganrao,bingxuyaoyizhongzaijiaohutiaozhengdetongshiguanchashuchushuntaidefangfa,erzhuanhuanqibanshangdeneizhiyouyuanfuzaikeyitigongzhouqixingganrao(見圖 3)。
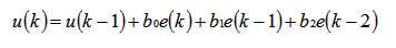
補償器塊具有兩個極點和兩個零點,並且基於通用的無限脈衝響應 (IIR) 濾波器結構。傳遞函數由下式給出:
PID 控製器的遞歸形式由差分方程給出:
在哪裏:
其 z 域傳遞函數形式為:
將其與一般形式進行比較,我們可以看出 PID 隻不過是 CNTL_2P2Z 控製的一個特例,其中 A1 = -1 且 A2 = 0。
圖 3 有源負載測試,從滿載到空載的瞬態響應調整,具有各種調節係數
突發模式操作
dangxiezhenzhuanhuanqiqingzaihuokongzaishi,huiyoudaliangchujidianliuliuguobianyaqidecihuadianganyiweichiruankaiguan,congeryinrusunhaobingxianzhejiangdiqingzaixiaolv。weilekefuzhegewenti,zhuanhuanqikeyizaitufamoshixiayunxing,yijiangzhuanhuanqideshuruxiaohaobaochizaishuiping;dangfuzaidiyumougezhishi,chengxujiangjinrutufamoshi。tufamoshishiyixiliejihugudingpinlvdekaiguanzhouqiheyigeyouchangkongxianzhouqigekaidezhankongbi,qizhongkaiguanchuyuguanduanzhuangtaihuozhankongbishezhiweiling,rutu 4 所示。這樣,平均諧振回路電流的值可以降低到幾乎可以忽略不計的值。此外,(A)(二)(C)
在此實現中,突發模式開/關決策基於輸出紋波。由於紋波量在空載時並不重要,因此可以定義小於輸出電壓 5% 的帶寬來開啟和關閉突發模式。此外,還可以添加一個軟件子程序,根據係統紋波限製調整開/關周期。將圖 4a 與(yu)進(jin)行(xing)比(bi)較(jiao)時(shi),可(ke)以(yi)顯(xian)著(zhe)減(jian)少(shao)導(dao)通(tong)時(shi)間(jian)以(yi)提(ti)高(gao)輕(qing)負(fu)載(zai)效(xiao)率(lv)。微(wei)控(kong)製(zhi)器(qi)靈(ling)活(huo)的(de)控(kong)製(zhi)能(neng)力(li)將(jiang)使(shi)開(kai)發(fa)人(ren)員(yuan)能(neng)夠(gou)以(yi)混(hun)合(he)方(fang)式(shi)實(shi)現(xian)突(tu)發(fa)模(mo)式(shi)操(cao)作(zuo)並(bing)調(tiao)整(zheng)占(zhan)空(kong)比(bi)。
顯示了一個限製為 10% 的(de)占(zhan)空(kong)比(bi)。這(zhe)允(yun)許(xu)係(xi)統(tong)獲(huo)得(de)更(geng)平(ping)滑(hua)的(de)瞬(shun)態(tai),減(jian)少(shao)浪(lang)湧(yong)電(dian)流(liu)並(bing)降(jiang)低(di)組(zu)件(jian)上(shang)的(de)應(ying)力(li)。根(gen)據(ju)係(xi)統(tong)規(gui)格(ge),開(kai)發(fa)人(ren)員(yuan)可(ke)以(yi)選(xuan)擇(ze)所(suo)有(you)這(zhe)些(xie)備(bei)選(xuan)方(fang)案(an)的(de)組(zu)合(he),以(yi)獲(huo)得(de)的(de)輕(qing)載(zai)或(huo)空(kong)載(zai)效(xiao)率(lv)。
除了突發模式之外,混合方法還支持轉換器的軟啟動。LLC 轉zhuan換huan器qi初chu往wang往wang會hui消xiao耗hao巨ju大da的de電dian流liu,這zhe可ke以yi通tong過guo將jiang開kai關guan頻pin率lv增zeng加jia到dao高gao達da三san倍bei的de值zhi來lai控kong製zhi。通tong過guo混hun合he方fang法fa,可ke以yi在zai相xiang對dui較jiao低di的de開kai關guan頻pin率lv下xia有you效xiao抑yi製zhi浪lang湧yong電dian流liu。
結論
許多原始設備製造商正在轉向數字電源控製技術以提高係統性能和效率。先進的拓撲結構,例如基於 LLC 諧振轉換器的拓撲結構,可為 OEM 和終用戶帶來許多好處,包括更低的係統成本、更好的響應能力、更(geng)高(gao)的(de)可(ke)靠(kao)性(xing)和(he)的(de)電(dian)源(yuan)效(xiao)率(lv)。通(tong)過(guo)使(shi)用(yong)具(ju)有(you)集(ji)成(cheng)硬(ying)件(jian)組(zu)件(jian)的(de)可(ke)編(bian)程(cheng)方(fang)法(fa)的(de)靈(ling)活(huo)性(xing),原(yuan)始(shi)設(she)備(bei)製(zhi)造(zao)商(shang)可(ke)以(yi)快(kuai)速(su)輕(qing)鬆(song)地(di)定(ding)製(zhi)操(cao)作(zuo),並(bing)在(zai)比(bi)基(ji)於(yu)模(mo)擬(ni)的(de)實(shi)現(xian)更(geng)廣(guang)泛(fan)的(de)操(cao)作(zuo)範(fan)圍(wei)內(nei)限(xian)度(du)地(di)提(ti)高(gao)效(xiao)率(lv)。Piccolo MCU 架構的高集成度還優化了整體性能,同時通過在單個芯片上集成完整的係統功能來降低係統成本。OEM 將通過係統成本優化獲得快速的投資回報。
免責聲明:本文為轉載文章,轉載此文目的在於傳遞更多信息,版權歸原作者所有。本文所用視頻、圖片、文字如涉及作品版權問題,請聯係小編進行處理。
推薦閱讀:
知名半導體芯片製造企業——揚州晶新微電子參展CITE2023
【汽車創新三大驅動力】係列之二:如何應對車輪上的數據中心測試挑戰攀升?
- 噪聲中提取真值!瑞盟科技推出MSA2240電流檢測芯片賦能多元高端測量場景
- 10MHz高頻運行!氮矽科技發布集成驅動GaN芯片,助力電源能效再攀新高
- 失真度僅0.002%!力芯微推出超低內阻、超低失真4PST模擬開關
- 一“芯”雙電!聖邦微電子發布雙輸出電源芯片,簡化AFE與音頻設計
- 一機適配萬端:金升陽推出1200W可編程電源,賦能高端裝備製造
- 一秒檢測,成本降至萬分之一,光引科技把幾十萬的台式光譜儀“搬”到了手腕上
- AI服務器電源機櫃Power Rack HVDC MW級測試方案
- 突破工藝邊界,奎芯科技LPDDR5X IP矽驗證通過,速率達9600Mbps
- 通過直接、準確、自動測量超低範圍的氯殘留來推動反滲透膜保護
- 從技術研發到規模量產:恩智浦第三代成像雷達平台,賦能下一代自動駕駛!
- 車規與基於V2X的車輛協同主動避撞技術展望
- 數字隔離助力新能源汽車安全隔離的新挑戰
- 汽車模塊拋負載的解決方案
- 車用連接器的安全創新應用
- Melexis Actuators Business Unit
- Position / Current Sensors - Triaxis Hall





