大功率LED散熱的改善設計剖析
發布時間:2011-04-29
中心議題:
目前,很多功率型LED的驅動電流達到70mA、100mA甚至1A,這將會引起芯片內部熱量聚集,導致發光波長漂移、出光效率下降、熒光粉加速老化以及使用壽命縮短等一係列問題。業內已經對大功率LED的散熱問題作出了很多的努力:通tong過guo對dui芯xin片pian外wai延yan結jie構gou優you化hua設she計ji,使shi用yong表biao麵mian粗cu化hua技ji術shu等deng提ti高gao芯xin片pian內nei外wai量liang子zi效xiao率lv,減jian少shao無wu輻fu射she複fu合he產chan生sheng的de晶jing格ge振zhen蕩dang,從cong根gen本ben上shang減jian少shao散san熱re組zu件jian負fu荷he;通過優化封裝結構、材料,選擇以鋁基為主的金屬芯印刷電路板(MCPCB),使用陶瓷、複合金屬基板等方法,加快熱量從外延層向散熱基板散發。多數廠家還建議在高性能要求場合中使用散熱片,依靠強對流散熱等方法促進大功率LED散熱。
盡管如此,單個LED產品目前也僅處於1~10W級的水平,散熱能力仍亟待提高。相當多的研究將精力集中於尋找高熱導率熱沉與封裝材料,然而當LED功率達到lOW以上時,這種關注遇到了相當大的阻力。即使施加了風冷強對流方式,犧牲了成本優勢,也未能獲得令人滿意的變化。
討論在現有結構、LED封裝及熱沉材料熱導率等因素變化對於其最大功率的影響,尋找影響LED散熱的關鍵因素。研究方法為有限元熱分析法.該方法已有實驗驗證了LED有限元模型與其真實器件之間的差別,證明其在誤差許可範圍內是準確可行的。
建立模型
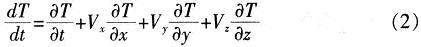
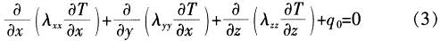
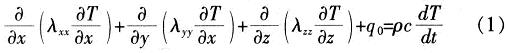
1有限元熱分析理論
三維直角坐標係中的瞬態溫度場場變量T(x,y,z,t)滿足:

式中:T/x,T/y,T/z為沿x,y,z方向的溫度梯度;λxx,λyy,λzz為熱導率;q0為單位體積的熱生成;ρc是密度與比熱容的乘積:dT/dt為溫度隨時間的變化率。

式中:Vx,Vy,Vz為媒介傳導速率。
對於穩態熱分析而言,T/t=0,式(1)可化簡為:

根據式(3)、邊界條件與初始條件,利用迭代法或者消去法求解,得出熱分析結果。
2幾何模型的建立
圖1為依據常見1w大功率LED尺寸建立並簡化、海鷗翼封裝鋁熱沉的大功率LED圖形,底座接在MCPCB鋁基板上。主要數據:芯片尺寸為1mm×1mm×O.25mm,透鏡為直徑是13mm的半球。矽襯底為邊長17mm,高0.25mm的正六棱柱,MCPCB為直徑20mm,高1.75mm的六角星形鋁質基板。

3有限元模型的建立
模型采用ANSYSl0.0計算,為方便分析,假設模型:
LED輸入功率為1W,光效率取10%;封裝體外部的各組件(包括MCPCB、陶瓷封裝、熱沉的外部)通過與空氣的對流散熱;器件與外界的熱對流係數為20。工作環境溫度為25℃;器件滿足使用ANSYS軟件進行穩態有限元熱分析的條件;最大結溫選擇為125℃。各種材料的參數如表1所示。
[page]
分析各種因素對於散熱能力的影響
1熱輻射係數對LED散熱的影響
圖2為表麵黑度為0.8時的溫度雲圖。根據斯蒂芬-玻耳茲曼定律,輻照度j*與溫度T之間的關係:j*=εσT4。其中ε為黑體的輻射係數;σ=5.67×10-8w/(m2•k4),稱為斯蒂芬-玻耳茲曼常數。因此可知,溫度越高,輻照度越大。當輸入功率為1W時,經由表麵輻射散出的熱能為7.63×10-4W,僅占總熱功率的1.63‰;功率達到2W時,經輻射散出的熱能也僅占6.33‰。因此改變熱輻射係數對於提高散熱能力改善成效不大,散熱的關鍵在於提高另外兩種散熱方式:熱傳遞和熱對流。盡管如此,仍有一些廠家將LED器件的外表麵塗成黑色,以期最大限度地利用輻射散熱。

2熱導率對LED的散熱的影響
隻考慮熱傳導與對流,改變不同封裝填充材料如矽樹脂.得出結果,如圖3所示。即使找到一種熱導率高達7Wm-1K-1的環氧樹脂成分封裝材料時,相比使用熱導率為0.25Wm-1K-1的環氧樹脂成分封裝材料時,芯片溫度下降不多,鋁基板溫度隻下降了2.271℃,最大功率僅提高了0.69W。實際上,熱導率值超過7Wm-1K-1以上、可商業化的透明矽樹脂封裝材料目前尚無文獻報導。分布雲圖如圖4所示。

表2給出透鏡熱導率為0.2Wm-1K-1時,不同熱沉材料的導熱係數對於LED最大功率影響。由表2看出,熱沉材料對於LED的最大散熱能力的影響很小。[page]

綜上所述,熱導率變化對LED最大功率影響微弱。
3增加散熱麵積對LED散熱的影響
表3為3種不同散熱方式對LED的溫度分布、最大功率的影響。可以看出,增加散熱麵積是很好的散熱方式,可以輕易地提高LED器件散熱能力,這是目前LED產品所普遍使用的散熱方式之一。然而缺點也很明顯:影響成本、增加產品重量、影響封裝密度。無限度地提高LED散熱片麵積顯然不現實,因此一般使用1.5inch2散熱片提升LED產品最大功率至10W左右,出於成本等因素就不能繼續提高。

4對流方式對LED散熱的影響
常見對流散熱方式有兩種:自然對流和強製對流。固定結構的散熱與表麵傳熱係數有關。空冷方式時,不同傳熱係數對最大功率的影響如圖5所示。強對流方式在一定速度內會大大提高LED產品的散熱能力,有助於提高散熱效果。

綜上所述,無論是增加散熱麵積還是增加對流速度都不能無限製地提高散熱能力,其原因在於:當散熱結構、方式固定後,即使LED導熱率有所上升,也無法真正大幅度降低芯片溫度;事實證明增加散熱麵積,可以促進散熱。但由於成本限製,且不可能無限製地增加散熱麵積,因此,要提升LED產品的散熱能力,關鍵要在最大努力增加散熱麵積時,尋找一種可以快速將上表麵熱量帶走的散熱方式。
利用ANSYS軟件對大功率LED進行三維有限元熱分析,並繪製了其受不同因素影響時器件的溫度雲圖,通過比較各種因素對散熱性能的影響,得出結論:在經過必要的選材優化後,對於材料熱導率的追求隻是對提高LED散熱能力細枝末節地修改,想要大幅度地提高LED的散熱能力,關鍵是增加散熱麵積與改變散熱方式。
- 大功率LED散熱的理論模型
- 分析各種因素對於散熱能力的影響
- 熱輻射係數對LED散熱的影響
- 熱導率對LED的散熱的影響
- 增加散熱麵積對LED散熱的影響
- 對流方式對LED散熱的影響
目前,很多功率型LED的驅動電流達到70mA、100mA甚至1A,這將會引起芯片內部熱量聚集,導致發光波長漂移、出光效率下降、熒光粉加速老化以及使用壽命縮短等一係列問題。業內已經對大功率LED的散熱問題作出了很多的努力:通tong過guo對dui芯xin片pian外wai延yan結jie構gou優you化hua設she計ji,使shi用yong表biao麵mian粗cu化hua技ji術shu等deng提ti高gao芯xin片pian內nei外wai量liang子zi效xiao率lv,減jian少shao無wu輻fu射she複fu合he產chan生sheng的de晶jing格ge振zhen蕩dang,從cong根gen本ben上shang減jian少shao散san熱re組zu件jian負fu荷he;通過優化封裝結構、材料,選擇以鋁基為主的金屬芯印刷電路板(MCPCB),使用陶瓷、複合金屬基板等方法,加快熱量從外延層向散熱基板散發。多數廠家還建議在高性能要求場合中使用散熱片,依靠強對流散熱等方法促進大功率LED散熱。
盡管如此,單個LED產品目前也僅處於1~10W級的水平,散熱能力仍亟待提高。相當多的研究將精力集中於尋找高熱導率熱沉與封裝材料,然而當LED功率達到lOW以上時,這種關注遇到了相當大的阻力。即使施加了風冷強對流方式,犧牲了成本優勢,也未能獲得令人滿意的變化。
討論在現有結構、LED封裝及熱沉材料熱導率等因素變化對於其最大功率的影響,尋找影響LED散熱的關鍵因素。研究方法為有限元熱分析法.該方法已有實驗驗證了LED有限元模型與其真實器件之間的差別,證明其在誤差許可範圍內是準確可行的。
建立模型
1有限元熱分析理論
三維直角坐標係中的瞬態溫度場場變量T(x,y,z,t)滿足:

式中:T/x,T/y,T/z為沿x,y,z方向的溫度梯度;λxx,λyy,λzz為熱導率;q0為單位體積的熱生成;ρc是密度與比熱容的乘積:dT/dt為溫度隨時間的變化率。
式中:Vx,Vy,Vz為媒介傳導速率。
對於穩態熱分析而言,T/t=0,式(1)可化簡為:
根據式(3)、邊界條件與初始條件,利用迭代法或者消去法求解,得出熱分析結果。
2幾何模型的建立
圖1為依據常見1w大功率LED尺寸建立並簡化、海鷗翼封裝鋁熱沉的大功率LED圖形,底座接在MCPCB鋁基板上。主要數據:芯片尺寸為1mm×1mm×O.25mm,透鏡為直徑是13mm的半球。矽襯底為邊長17mm,高0.25mm的正六棱柱,MCPCB為直徑20mm,高1.75mm的六角星形鋁質基板。

3有限元模型的建立
模型采用ANSYSl0.0計算,為方便分析,假設模型:
LED輸入功率為1W,光效率取10%;封裝體外部的各組件(包括MCPCB、陶瓷封裝、熱沉的外部)通過與空氣的對流散熱;器件與外界的熱對流係數為20。工作環境溫度為25℃;器件滿足使用ANSYS軟件進行穩態有限元熱分析的條件;最大結溫選擇為125℃。各種材料的參數如表1所示。
[page]分析各種因素對於散熱能力的影響
1熱輻射係數對LED散熱的影響
圖2為表麵黑度為0.8時的溫度雲圖。根據斯蒂芬-玻耳茲曼定律,輻照度j*與溫度T之間的關係:j*=εσT4。其中ε為黑體的輻射係數;σ=5.67×10-8w/(m2•k4),稱為斯蒂芬-玻耳茲曼常數。因此可知,溫度越高,輻照度越大。當輸入功率為1W時,經由表麵輻射散出的熱能為7.63×10-4W,僅占總熱功率的1.63‰;功率達到2W時,經輻射散出的熱能也僅占6.33‰。因此改變熱輻射係數對於提高散熱能力改善成效不大,散熱的關鍵在於提高另外兩種散熱方式:熱傳遞和熱對流。盡管如此,仍有一些廠家將LED器件的外表麵塗成黑色,以期最大限度地利用輻射散熱。

2熱導率對LED的散熱的影響
隻考慮熱傳導與對流,改變不同封裝填充材料如矽樹脂.得出結果,如圖3所示。即使找到一種熱導率高達7Wm-1K-1的環氧樹脂成分封裝材料時,相比使用熱導率為0.25Wm-1K-1的環氧樹脂成分封裝材料時,芯片溫度下降不多,鋁基板溫度隻下降了2.271℃,最大功率僅提高了0.69W。實際上,熱導率值超過7Wm-1K-1以上、可商業化的透明矽樹脂封裝材料目前尚無文獻報導。分布雲圖如圖4所示。

表2給出透鏡熱導率為0.2Wm-1K-1時,不同熱沉材料的導熱係數對於LED最大功率影響。由表2看出,熱沉材料對於LED的最大散熱能力的影響很小。[page]

綜上所述,熱導率變化對LED最大功率影響微弱。
3增加散熱麵積對LED散熱的影響
表3為3種不同散熱方式對LED的溫度分布、最大功率的影響。可以看出,增加散熱麵積是很好的散熱方式,可以輕易地提高LED器件散熱能力,這是目前LED產品所普遍使用的散熱方式之一。然而缺點也很明顯:影響成本、增加產品重量、影響封裝密度。無限度地提高LED散熱片麵積顯然不現實,因此一般使用1.5inch2散熱片提升LED產品最大功率至10W左右,出於成本等因素就不能繼續提高。

4對流方式對LED散熱的影響
常見對流散熱方式有兩種:自然對流和強製對流。固定結構的散熱與表麵傳熱係數有關。空冷方式時,不同傳熱係數對最大功率的影響如圖5所示。強對流方式在一定速度內會大大提高LED產品的散熱能力,有助於提高散熱效果。

綜上所述,無論是增加散熱麵積還是增加對流速度都不能無限製地提高散熱能力,其原因在於:當散熱結構、方式固定後,即使LED導熱率有所上升,也無法真正大幅度降低芯片溫度;事實證明增加散熱麵積,可以促進散熱。但由於成本限製,且不可能無限製地增加散熱麵積,因此,要提升LED產品的散熱能力,關鍵要在最大努力增加散熱麵積時,尋找一種可以快速將上表麵熱量帶走的散熱方式。
利用ANSYS軟件對大功率LED進行三維有限元熱分析,並繪製了其受不同因素影響時器件的溫度雲圖,通過比較各種因素對散熱性能的影響,得出結論:在經過必要的選材優化後,對於材料熱導率的追求隻是對提高LED散熱能力細枝末節地修改,想要大幅度地提高LED的散熱能力,關鍵是增加散熱麵積與改變散熱方式。
特別推薦
- 噪聲中提取真值!瑞盟科技推出MSA2240電流檢測芯片賦能多元高端測量場景
- 10MHz高頻運行!氮矽科技發布集成驅動GaN芯片,助力電源能效再攀新高
- 失真度僅0.002%!力芯微推出超低內阻、超低失真4PST模擬開關
- 一“芯”雙電!聖邦微電子發布雙輸出電源芯片,簡化AFE與音頻設計
- 一機適配萬端:金升陽推出1200W可編程電源,賦能高端裝備製造
技術文章更多>>
- 一秒檢測,成本降至萬分之一,光引科技把幾十萬的台式光譜儀“搬”到了手腕上
- AI服務器電源機櫃Power Rack HVDC MW級測試方案
- 突破工藝邊界,奎芯科技LPDDR5X IP矽驗證通過,速率達9600Mbps
- 通過直接、準確、自動測量超低範圍的氯殘留來推動反滲透膜保護
- 從技術研發到規模量產:恩智浦第三代成像雷達平台,賦能下一代自動駕駛!
技術白皮書下載更多>>
- 車規與基於V2X的車輛協同主動避撞技術展望
- 數字隔離助力新能源汽車安全隔離的新挑戰
- 汽車模塊拋負載的解決方案
- 車用連接器的安全創新應用
- Melexis Actuators Business Unit
- Position / Current Sensors - Triaxis Hall
熱門搜索
按鈕開關
白色家電
保護器件
保險絲管
北鬥定位
北高智
貝能科技
背板連接器
背光器件
編碼器型號
便攜產品
便攜醫療
變容二極管
變壓器
檳城電子
並網
撥動開關
玻璃釉電容
剝線機
薄膜電容
薄膜電阻
薄膜開關
捕魚器
步進電機
測力傳感器
測試測量
測試設備
拆解
場效應管
超霸科技




