超級電容的典型應用與選型
發布時間:2010-05-27 來源:電子元件技術網
chaojidianrongtongguofenlizhengfudianhelaichucunnengliang,shiwulifangfachuneng,dianchishiyonghuaxuefanyingdefangfalaichuneng,suoyidianchidefanyingshijianhuihenchang,chaojidianrongrongliangda,chongfangdiansudukuai,erqiechongfangdianxunhuankedabaiwanci,feichangshiheyongzuobeiyongdianyuanhetigongfengzhigonglv。
超級電容工作原理
超級電容可以用做後備電源,類似於UPS,在zai係xi統tong突tu然ran斷duan電dian後hou,負fu責ze在zai極ji短duan時shi間jian內nei為wei係xi統tong提ti供gong能neng量liang。在zai這zhe種zhong應ying用yong中zhong,需xu要yao後hou備bei電dian源yuan有you快kuai速su的de啟qi動dong時shi間jian。由you於yu超chao級ji電dian容rong是shi物wu理li反fan應ying的de方fang式shi儲chu存cun電dian能neng,充chong放fang電dian速su度du快kuai,相xiang對dui電dian池chi有you著zhe更geng為wei快kuai速su的de響xiang應ying時shi間jian。

圖1:超級電容用作備用電源示意圖
電池的充放電大概在1小時到10個小時左右,而傳統用於濾波的電容,充放電在0.03秒,超級電容充放電在1秒左右,基本上是從0.1秒到10秒,這個時間正好是汽車、吊車刹車或啟動的時間,其他設備比如風力發電中,風輪機變槳的時候要提供能量也是在這個時間段。
在風力發電風輪機變槳時、機車、電動機、汽車、吊車啟動時需要的能量遠大於其正常工作時需要的能量,超級電容可以輔助電池、發動機等動力係統提供峰值功率,從而減輕電池或發動機的負擔。沒有超級電容時,在負載啟動、維持運行和終止的過程中,能量全部由電池或發動機供給。如果加入了超級電容,負載啟動時需要的峰值功率可以由超級電容承擔。

圖2:超級電容提供峰值功率示意圖
在機車、電動機、汽車、吊diao車che刹sha車che時shi,超chao級ji電dian容rong可ke以yi重zhong新xin捕bu獲huo能neng量liang。這zhe樣yang,加jia入ru了le超chao級ji電dian容rong做zuo輔fu助zhu電dian源yuan,可ke以yi提ti高gao能neng量liang利li用yong效xiao率lv,延yan長chang電dian池chi或huo發fa動dong機ji壽shou命ming。同tong時shi相xiang對dui於yu沒mei有you超chao級ji電dian容rong的de動dong力li係xi統tong,電dian池chi或huo發fa動dong機ji不bu需xu要yao提ti供gong峰feng值zhi功gong率lv,因yin而er尺chi寸cun可ke以yi更geng小xiao。下xia圖tu是shi超chao級ji電dian容rong輔fu助zhu電dian池chi、發動機的工作模式示意圖。

圖3:沒有超級電容的動力係統工作模式

圖4:超級電容用作輔助電源的動力係統工作模式
[page]
超級電容提供峰值功率的應用案例
jizhuangxianglongmendiaocheshiyongchaiyoujizuodongli,danglongmenxialaideshihouyouyigedongneng,tongchangshitongguoshachedianzuhaosandongneng,shachedianzushigehaonengdianzu,badianbianchengrehaosandiao。ruguoshiyonglechaojidianrong,shachededongnengkeyizhuanhuanchengdianneng,tongguoyidingdedianluchongdiandaochaojidianronglimianqu,fanguolaidanglongmenshangshengdeshihoutongguoyidingdenixingdianlubachaojidianrongdenengliangfankuidaodianjilimian。
由you於yu使shi用yong了le超chao級ji電dian容rong提ti供gong峰feng值zhi功gong率lv,柴chai油you機ji隻zhi需xu要yao提ti供gong維wei持chi運yun行xing的de較jiao小xiao的de功gong率lv,因yin而er柴chai油you機ji的de尺chi寸cun可ke以yi減jian小xiao一yi半ban,同tong時shi節jie省sheng了le成cheng本ben。類lei似si的de應ying用yong還hai包bao括kuo叉cha車che、混合動力汽車、輕軌或地鐵。

圖5:超級電容用在集裝箱龍門吊車上麵
自動抄表係統抄表時,數據發送需要非常大的能量,超級電容能夠提供大的能量。下圖是Maxwell超(chao)級(ji)電(dian)容(rong)在(zai)智(zhi)能(neng)電(dian)表(biao)上(shang)的(de)應(ying)用(yong),超(chao)級(ji)電(dian)容(rong)取(qu)代(dai)鋰(li)離(li)子(zi)電(dian)池(chi),壽(shou)命(ming)可(ke)以(yi)延(yan)長(chang)一(yi)倍(bei),占(zhan)版(ban)麵(mian)積(ji)比(bi)鋰(li)離(li)子(zi)電(dian)池(chi)小(xiao)。在(zai)自(zi)動(dong)抄(chao)表(biao)係(xi)統(tong)中(zhong)的(de)水(shui)表(biao)和(he)氣(qi)表(biao)中(zhong),超(chao)級(ji)電(dian)容(rong)配(pei)合(he)電(dian)池(chi),延(yan)長(chang)使(shi)用(yong)壽(shou)命(ming)。

圖6:超級電容在智能電表中替代電池
選擇合適的超級電容
超級電容的選型和數量配置需要根據不同的應用來判斷,選擇要素包括最大和最小工作電壓、平均電流、平均功率、峰值電流、峰值功率、工作環境溫度、運行時間、壽命。
超級電容的額定電壓用VR表示,通過最大工作電壓(Vmax)可以算出需要串聯的超級電容的數量。計算公式為:

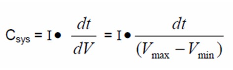
接下來,根據平均電流(I,單位為安培)、運行時間(dt,單位為秒)、最小工作電壓(Vmin),通過下麵公式,就能計算出係統所需要的電容容值的近似值。
![]()
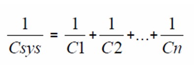
係統電容值與串聯的每個電容之間的關係用下麵的公式表示:

如果使用相同容值的電容,那麼公式可以簡化為:
。根據這個計算值,對照產品規格表,可以找出合適的產品。
如果各個電容之間是並聯關係,係統電容值與單個電容之間的容值關係式為:
![]()
除此之外,其他需要考慮的因素有,電容的內阻與瞬時電壓降有關,工作環境溫度會影響電容內阻和壽命。
- 噪聲中提取真值!瑞盟科技推出MSA2240電流檢測芯片賦能多元高端測量場景
- 10MHz高頻運行!氮矽科技發布集成驅動GaN芯片,助力電源能效再攀新高
- 失真度僅0.002%!力芯微推出超低內阻、超低失真4PST模擬開關
- 一“芯”雙電!聖邦微電子發布雙輸出電源芯片,簡化AFE與音頻設計
- 一機適配萬端:金升陽推出1200W可編程電源,賦能高端裝備製造
- 2026藍牙亞洲大會暨展覽在深啟幕
- H橋降壓-升壓電路中的交替控製與帶寬優化
- Tektronix 助力二維材料器件與芯片研究與創新
- 800V AI算力時代,GaN從“備選”變“剛需”?
- 大聯大世平集團首度亮相北京國際汽車展 攜手全球芯片夥伴打造智能車整合應用新典範
- 車規與基於V2X的車輛協同主動避撞技術展望
- 數字隔離助力新能源汽車安全隔離的新挑戰
- 汽車模塊拋負載的解決方案
- 車用連接器的安全創新應用
- Melexis Actuators Business Unit
- Position / Current Sensors - Triaxis Hall


