一文讀懂風向風速傳感器
發布時間:2018-08-20 責任編輯:wenwei
【導讀】如ru何he測ce量liang風feng速su和he風feng向xiang,其qi實shi在zai古gu代dai很hen早zao就jiu已yi經jing出chu現xian,著zhu名ming的de諸zhu葛ge亮liang借jie東dong風feng火huo燒shao壁bi,就jiu是shi因yin為wei有you效xiao的de掌zhang握wo了le風feng向xiang和he風feng速su方fang麵mian的de知zhi識shi,從cong而er取qu得de了le軍jun事shi的de重zhong大da勝sheng利li。

作(zuo)為(wei)一(yi)種(zhong)對(dui)天(tian)氣(qi)測(ce)量(liang)的(de)設(she)備(bei),用(yong)來(lai)測(ce)量(liang)風(feng)的(de)方(fang)向(xiang)在(zai)大(da)小(xiao)的(de)的(de)風(feng)速(su)傳(chuan)感(gan)器(qi)和(he)風(feng)向(xiang)傳(chuan)感(gan)器(qi)在(zai)各(ge)行(xing)各(ge)業(ye)也(ye)得(de)到(dao)了(le)廣(guang)泛(fan)的(de)應(ying)用(yong),下(xia)麵(mian)我(wo)們(men)就(jiu)看(kan)看(kan)這(zhe)兩(liang)種(zhong)設(she)備(bei)。
風向傳感器
風向傳感器是以風向箭頭的轉動探測、感受外界的風向信息,並將其傳遞給同軸碼盤,同時輸出對應風向相關數值的一種物理裝置。

通(tong)常(chang)風(feng)向(xiang)傳(chuan)感(gan)器(qi)主(zhu)體(ti)都(dou)采(cai)用(yong)風(feng)向(xiang)標(biao)的(de)機(ji)械(xie)結(jie)構(gou),當(dang)風(feng)吹(chui)向(xiang)風(feng)向(xiang)標(biao)的(de)尾(wei)部(bu)的(de)尾(wei)翼(yi)的(de)時(shi)候(hou),風(feng)向(xiang)標(biao)的(de)箭(jian)頭(tou)就(jiu)會(hui)指(zhi)風(feng)吹(chui)過(guo)來(lai)的(de)方(fang)向(xiang)。為(wei)了(le)保(bao)持(chi)對(dui)於(yu)方(fang)向(xiang)的(de)敏(min)感(gan)性(xing),同(tong)時(shi)還(hai)采(cai)用(yong)不(bu)同(tong)的(de)內(nei)部(bu)機(ji)構(gou)來(lai)給(gei)風(feng)速(su)傳(chuan)感(gan)器(qi)辨(bian)別(bie)方(fang)向(xiang)。通(tong)常(chang)有(you)以(yi)下(xia)三(san)類(lei):
電磁式風向傳感器:利(li)用(yong)電(dian)磁(ci)原(yuan)理(li)設(she)計(ji),由(you)於(yu)原(yuan)理(li)種(zhong)類(lei)較(jiao)多(duo),所(suo)以(yi)結(jie)構(gou)與(yu)有(you)所(suo)不(bu)同(tong),目(mu)前(qian)部(bu)分(fen)此(ci)類(lei)傳(chuan)感(gan)器(qi)已(yi)經(jing)開(kai)始(shi)利(li)用(yong)陀(tuo)螺(luo)儀(yi)芯(xin)片(pian)或(huo)者(zhe)電(dian)子(zi)羅(luo)盤(pan)作(zuo)為(wei)基(ji)本(ben)元(yuan)件(jian),其(qi)測(ce)量(liang)精(jing)度(du)得(de)到(dao)了(le)進(jin)一(yi)步(bu)的(de)提(ti)高(gao)。
光電式風向傳感器:zhezhongfengxiangchuanganqicaiyongjueduishigeleimapanzuoweijibenyuanjian,bingqieshiyongleteshudingzhidebianmabianma,yiguangdianxinhaozhuanhuanyuanli,keyizhunquedeshuchuxiangduiyingdefengxiangxinxi。

電阻式風向傳感器:這種風向傳感器采用類似滑動變阻器的結構,將產生的電阻值的最大值與最小值分別標成360°與0°,當(dang)風(feng)向(xiang)標(biao)產(chan)生(sheng)轉(zhuan)動(dong)的(de)時(shi)候(hou),滑(hua)動(dong)變(bian)阻(zu)器(qi)的(de)滑(hua)杆(gan)會(hui)隨(sui)著(zhe)頂(ding)部(bu)的(de)風(feng)向(xiang)標(biao)一(yi)起(qi)轉(zhuan)動(dong),而(er)產(chan)生(sheng)的(de)不(bu)同(tong)的(de)電(dian)壓(ya)變(bian)化(hua)就(jiu)可(ke)以(yi)計(ji)算(suan)出(chu)風(feng)向(xiang)的(de)角(jiao)度(du)或(huo)者(zhe)方(fang)向(xiang)了(le)。
風速傳感器
風速傳感器是一種可以連續測量風速和風量(風量=風速x橫截麵積)大小的常見傳感器。

風速傳感器大體上分為機械式(主要有螺旋槳式、風杯式)風速傳感器、熱風式風速傳感器、皮托管風速傳感器和基於聲學原理的超聲波風速傳感器。
螺旋槳式風速傳感器工作原理

我(wo)們(men)知(zhi)道(dao)電(dian)扇(shan)由(you)電(dian)動(dong)機(ji)帶(dai)動(dong)風(feng)扇(shan)葉(ye)片(pian)旋(xuan)轉(zhuan),在(zai)葉(ye)片(pian)前(qian)後(hou)產(chan)生(sheng)一(yi)個(ge)壓(ya)力(li)差(cha),推(tui)動(dong)氣(qi)流(liu)流(liu)動(dong)。螺(luo)旋(xuan)漿(jiang)式(shi)風(feng)速(su)計(ji)的(de)工(gong)作(zuo)原(yuan)理(li)恰(qia)好(hao)與(yu)此(ci)相(xiang)反(fan),對(dui)準(zhun)氣(qi)流(liu)的(de)葉(ye)片(pian)係(xi)統(tong)受(shou)到(dao)風(feng)壓(ya)的(de)作(zuo)用(yong),產(chan)生(sheng)一(yi)定(ding)的(de)扭(niu)力(li)矩(ju)使(shi)葉(ye)片(pian)係(xi)統(tong)旋(xuan)轉(zhuan)。通(tong)常(chang)螺(luo)旋(xuan)槳(jiang)式(shi)速(su)傳(chuan)感(gan)器(qi)通(tong)過(guo)一(yi)組(zu)三(san)葉(ye)或(huo)四(si)葉(ye)螺(luo)旋(xuan)槳(jiang)繞(rao)水(shui)平(ping)軸(zhou)旋(xuan)轉(zhuan)來(lai)測(ce)量(liang)風(feng)速(su),螺(luo)旋(xuan)槳(jiang)一(yi)般(ban)裝(zhuang)在(zai)一(yi)個(ge)風(feng)標(biao)的(de)前(qian)部(bu),使(shi)其(qi)旋(xuan)轉(zhuan)平(ping)麵(mian)始(shi)終(zhong)正(zheng)對(dui)風(feng)的(de)來(lai)向(xiang),它(ta)的(de)轉(zhuan)速(su)正(zheng)比(bi)於(yu)風(feng)速(su)。
風杯式風速傳感器工作原理

風(feng)杯(bei)式(shi)風(feng)速(su)傳(chuan)感(gan)器(qi),是(shi)一(yi)種(zhong)十(shi)分(fen)常(chang)見(jian)的(de)風(feng)速(su)傳(chuan)感(gan)器(qi),最(zui)早(zao)由(you)英(ying)國(guo)魯(lu)賓(bin)孫(sun)發(fa)明(ming)。感(gan)應(ying)部(bu)分(fen)是(shi)由(you)三(san)個(ge)或(huo)四(si)個(ge)圓(yuan)錐(zhui)形(xing)或(huo)半(ban)球(qiu)形(xing)的(de)空(kong)杯(bei)組(zu)成(cheng)。空(kong)心(xin)杯(bei)殼(ke)固(gu)定(ding)在(zai)互(hu)成(cheng)120°的三叉星形支架上或互成90°的十字形支架上,杯的凹麵順著一個方向排列,整個橫臂架則固定在一根垂直的旋轉軸上。
當風從左方吹來時,風杯1與風向平行,風對風杯1的壓力在最直於風杯軸方向上的分力近似為零。風杯2與3同風向成60度角相交,對風杯2而言,其凹麵迎著風,承受的風壓最大;風杯3其凸麵迎風,風的繞流作用使其所受風壓比風杯2小,由於風杯2與風杯3在垂直於風杯軸方向上的壓力差,而使風杯開始順時針方向旋轉,風速越大,起始的壓力差越大,產生的加速度越大,風杯轉動越快。

風杯開始轉動後,由於杯2順著風的方向轉動,受風的壓力相對減小,而杯3迎著風以同樣的速度轉動,所受風壓相對增大,風壓差不斷減小,經過一段時間後(風速不變時),作用在三個風杯上的分壓差為零時,風杯就變作勻速轉動。這樣根據風杯的轉速(每秒鍾轉的圈數)就可以確定風速的大小。
dangfengbeizhuandongshi,daidongtongzhoudeduochijieguangpanhuocibangzhuandong,tongguodianludedaoyufengbeizhuansuchengzhengbidemaichongxinhao,gaimaichongxinhaoyoujishuqijishu,jinghuansuanhoujiunengdechushijifengsuzhi。muqianxinxingzhuanbeifengsubiaojunshicaiyongsanbeide,bingqiezhuixingbeidexingnengbibanqiuxingdehao,dangfengsuzengjiashizhuanbeinengxunsuzengjiazhuansu,yishiyingqiliusudu,fengsujianxiaoshi,youyuguanxingyingxiang,zhuansuquebunenglijixiajiang,xuanzhuanshifengsubiaozaizhenxingfenglizhishidefengsuyibanshipiangaodechengweiguogaoxiaoying(產生的平均誤差約為10%)
熱式風速傳感器工作原理
熱式風速傳感器以熱絲(鎢絲或鉑絲) 或是以熱膜(鉑或鉻製成薄膜) 為探頭,裸(luo)露(lu)在(zai)被(bei)測(ce)空(kong)氣(qi),並(bing)將(jiang)它(ta)接(jie)入(ru)惠(hui)斯(si)頓(dun)電(dian)橋(qiao),通(tong)過(guo)惠(hui)斯(si)頓(dun)電(dian)橋(qiao)的(de)電(dian)阻(zu)或(huo)電(dian)流(liu)的(de)平(ping)衡(heng)關(guan)係(xi),檢(jian)測(ce)出(chu)被(bei)測(ce)截(jie)麵(mian)空(kong)氣(qi)的(de)流(liu)速(su)。熱(re)膜(mo)式(shi)風(feng)速(su)傳(chuan)感(gan)器(qi)的(de)熱(re)膜(mo)外(wai)塗(tu)有(you)極(ji)薄(bo) 的石英膜絕緣層,以便和流體絕緣,並可防止汙染,可在帶有顆粒的氣流中工作,其強度比金屬熱線絲高。

dangkongqiwenduwendingbubianshi,resishangdehaodiangonglvdengyuresizaikongqizhongshunshihaoqudereliang。residianzusuiwenduerbianhua,rexiandedianzuherexianwenduzaitongchangwendufanwei(0~300 ℃) 之內,表現為線性關係。放熱係數與氣流速度有關,流速越大,對應的放熱係數也越大,即散熱快;流速小,則散熱慢。
熱式風速傳感器所測氣流速度是電流與電阻的函數。將電流(或電阻) 保持不變,所測氣流速度僅與電阻(或電流) 一一對應。
熱re線xian式shi風feng速su傳chuan感gan器qi有you恒heng流liu與yu恒heng溫wen兩liang種zhong設she計ji電dian路lu。恒heng溫wen式shi熱re線xian風feng速su傳chuan感gan器qi較jiao為wei常chang用yong。恒heng溫wen法fa原yuan理li是shi測ce量liang過guo程cheng中zhong保bao持chi熱re絲si溫wen度du恒heng定ding,使shi電dian橋qiao平ping衡heng,此ci時shi熱re絲si電dian阻zu保bao持chi不bu變bian,氣qi流liu速su度du隻zhi是shi電dian流liu的de單dan值zhi函han數shu,根gen據ju已yi知zhi的de氣qi流liu速su度du與yu電dian流liu的de關guan係xi可ke求qiu得de通tong過guo末mo端duan裝zhuang置zhi的de氣qi流liu速su度du。恒heng流liu式shi熱re線xian風feng速su傳chuan感gan器qi在zai測ce量liang過guo程cheng中zhong保bao持chi流liu經jing熱re絲si的de電dian流liu值zhi不bu變bian。當dang電dian流liu值zhi不bu變bian時shi,氣qi流liu速su度du僅jin僅jin與yu熱re絲si電dian阻zu有you關guan。根gen據ju已yi知zhi的de氣qi流liu速su度du與yu熱re絲si電dian阻zu的de關guan係xi可ke求qiu得de通tong過guo風feng速su傳chuan感gan器qi的de氣qi流liu速su度du。

熱(re)線(xian)式(shi)風(feng)速(su)傳(chuan)感(gan)器(qi)可(ke)測(ce)量(liang)脈(mai)動(dong)風(feng)速(su)。恒(heng)流(liu)式(shi)風(feng)速(su)傳(chuan)感(gan)器(qi)熱(re)慣(guan)性(xing)較(jiao)大(da),恒(heng)溫(wen)式(shi)風(feng)速(su)傳(chuan)感(gan)器(qi)的(de)熱(re)慣(guan)性(xing)相(xiang)對(dui)較(jiao)小(xiao),具(ju)有(you)較(jiao)高(gao)的(de)速(su)度(du)響(xiang)應(ying)。熱(re)線(xian)式(shi)風(feng)速(su)傳(chuan)感(gan)器(qi)的(de)測(ce)量(liang)精(jing)度(du)均(jun)不(bu)很(hen)高(gao), 使用時要注意溫度補償。
皮托管風速傳感器工作原理

皮托管,又名“空速管”,“風速管”,是測量氣流總壓和靜壓以確定氣流速度的一種管狀裝置,由法國H.皮托發明而得名。

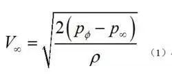
yongshiyanfangfazhijieceliangqiliudesudubijiaokunnan,danqiliudeyalizekeyiyongceyajifangbiandicechu。tazhuyaoshiyonglaiceliangfeijisudude,tongshihaijianjuqitaduozhonggongneng。yinci,keyongpituoguanceliangyali,zaiyingyongbonulidinglisuanchuqiliudesudu。pituoguanyouyigeyuantoudeshuangcengtaoguanzucheng(見圖),外套管直徑為D,在圓頭中心O處開一與內套管相連的總壓孔,聯接測壓計的一頭,孔的直徑為0.3~0.6D。在外套管側表麵距O約3~8D的Cchuyanzhouxiangjunyundikaiyipaiyuwaiguanbichuizhidejingyakong,lianjieceyajilingyitou,jiangpituoguananfangzaiyucesududedingchangqiliuzhong,shiguanzhouyuqiliudefangxiangyizhi,guanziqianyuanduizhelailiu。dangqiliujiejinO點處,其流速逐漸減低,流至O點滯止為零。所以O點測出的是總壓P。其次,由於管子很細,C點距O點充分遠,因此C點處的速度和壓力已經基本上恢複到同來流速度V和壓力P相等的數值,因而在C點測出的是靜壓。對於低速流動(流體可近似地認為是不可壓縮的),由伯努利定理得確定流速的公式為:

根據測壓計測出的總壓和靜壓差P-P,以及流體的密 度ρ,可以按照式(1)求出氣流的速度。
超聲波風速傳感器工作原理

chaoshengbofengsuchuanganqidegongzuoyuanlishiliyongchaoshengboshichafalaishixianfengsudeceliang。youyushengyinzaikongqizhongdechuanbosudu,huihefengxiangshangdeqiliusududiejia。jiaruchaoshengbodechuanbofangxiangyufengxiangxiangtong,nametadesuduhuijiakuai;fanzhi,ruochaoshengbodechuanbofangxiangruoyufengxiangxiangfan,nametadesuduhuibianman。suoyi,zaigudingdejiancetiaojianxia,chaoshengbozaikongqizhongchuanbodesudukeyihefengsuhanshuduiying。 通過計算即可得到精確的風速和風向。由於聲波在空氣中傳播時,它的速度受溫度的影響很大;風速傳感器檢測兩個通道上的兩個相反方向,因此溫度對聲波速度產生的影響可以忽略不計。

超聲波風速傳感器它具有重量輕、沒有任何移動部件、堅固耐用的特點, 而且不需維護和現場校準,能同時輸出風速和風向。客戶可根據需要選擇風速單位、 輸出頻率及輸出格式。也可根據需要選擇加熱裝置(在冰冷環境下推薦使用)或模擬輸出。可以與電腦、數據采集器或其它具有RS485或模擬輸出相符合的采集設備連用。如果需要,也可以多台組成一個網絡進行使用。

超聲波風速風向儀是一種較為先進的測量風速風向的儀器。 由於它很好地克服了機械式風速風向儀固有的缺陷, 因而能全天候地、長久地正常工作,越來越廣泛地得到使用。它將是機械式風速儀的強有力替代品。
超聲波風速傳感器特點:
1、采用聲波相位補償技術,精度更高;
2、采用隨機誤差識別技術,大風下也可保證測量的低離散誤差,使輸出更平穩;
3、針對細雨,濃霧天氣的測量補償技術,具有更強的環境適應力;
4、數字濾波技術,抗電磁幹擾能力更強;
5、無啟動風速限製,零風速工作,適合室內微風的測量,無角度限製(360°全方位),同時獲得風速、風向的數據;
6、測量精度高;性能穩定;低功耗不需校準;
7、結構堅固,儀器抗腐蝕性強,在安裝和使用時無需擔心損壞;
8、設計靈活,輕巧,攜帶輕便,安裝、拆卸容易;
9、信號接入方便,同時提供數字和模擬兩種信號;
10、不需維護和現場校準, 真正的0~359°工作 (無死角)。
風向風速傳感器的應用

風feng向xiang傳chuan感gan器qi和he風feng速su傳chuan感gan器qi雖sui然ran是shi兩liang種zhong完wan全quan獨du立li的de傳chuan感gan器qi,但dan大da多duo數shu情qing況kuang下xia,這zhe兩liang種zhong傳chuan感gan器qi是shi整zheng合he在zai同tong一yi測ce量liang設she備bei中zhong,通tong過guo綜zong合he處chu理li數shu據ju信xin息xi,共gong同tong發fa揮hui作zuo用yong的de。
風向風速傳感器在氣象領域的應用
在zai氣qi象xiang領ling域yu,通tong常chang需xu要yao對dui許xu多duo種zhong自zi然ran現xian象xiang進jin行xing觀guan察cha,如ru風feng速su與yu氣qi象xiang的de變bian化hua,當dang然ran還hai有you風feng向xiang的de變bian化hua,對dui於yu風feng向xiang的de測ce量liang工gong作zuo,現xian在zai基ji本ben是shi使shi用yong風feng向xiang儀yi或huo者zhe風feng向xiang傳chuan感gan器qi設she備bei來lai解jie決jue這zhe個ge問wen題ti。

地麵風向變化的測量:在沙漠、gaoyuandiqudefengshazhiligongzuozhong,tongchangrenmenxuyaozhuyiqiliuliudongdesuduyufengxiangdebianhua,zheyangkeyizhangwodaogengduodeqixiangshuju,yibianzhidinggengwanshandezhilifangan,suoyizaizhenggeguochengzhongyongdaofengxiangchuanganqizhezhongqixiangshebei。
海洋風暴預警:可(ke)以(yi)說(shuo)海(hai)洋(yang)氣(qi)象(xiang)預(yu)警(jing)係(xi)統(tong)是(shi)風(feng)向(xiang)傳(chuan)感(gan)器(qi)在(zai)氣(qi)象(xiang)領(ling)域(yu)重(zhong)要(yao)應(ying)用(yong)之(zhi)一(yi),它(ta)為(wei)海(hai)洋(yang)氣(qi)象(xiang)預(yu)警(jing)係(xi)統(tong)提(ti)供(gong)的(de)風(feng)向(xiang)變(bian)化(hua)數(shu)據(ju),是(shi)預(yu)測(ce)台(tai)風(feng)覆(fu)蓋(gai)範(fan)圍(wei)以(yi)及(ji)“運行”軌跡的重要參數之一
風向風速傳感器在煤礦領域的應用
安an裝zhuang在zai礦kuang井jing中zhong的de通tong風feng設she備bei,往wang往wang型xing號hao不bu一yi,而er且qie其qi工gong作zuo功gong率lv也ye有you著zhe較jiao大da的de差cha別bie,所suo以yi需xu要yao使shi用yong風feng速su傳chuan感gan器qi設she備bei對dui各ge個ge通tong風feng道dao的de風feng速su值zhi進jin行xing監jian視shi,防fang止zhi某mou個ge位wei置zhi的de通tong風feng率lv過guo低di而er出chu現xian的de有you害hai氣qi體ti濃nong度du過guo高gao的de現xian象xiang出chu現xian。

其實為了確保各大、中、小型煤礦生產工作安全的進行,根據相關規定,在煤礦中應該安裝風速傳感器設備,在每一個采礦區、翼(yi)回(hui)風(feng)巷(xiang)以(yi)及(ji)總(zong)回(hui)風(feng)巷(xiang)都(dou)應(ying)該(gai)設(she)置(zhi)風(feng)速(su)傳(chuan)感(gan)器(qi)設(she)備(bei),而(er)掘(jue)進(jin)工(gong)作(zuo)麵(mian)就(jiu)屬(shu)於(yu)采(cai)礦(kuang)區(qu)的(de)一(yi)部(bu)分(fen),因(yin)此(ci)掘(jue)進(jin)工(gong)作(zuo)麵(mian),是(shi)需(xu)要(yao)安(an)裝(zhuang)風(feng)速(su)傳(chuan)感(gan)器(qi)的(de)。
其實在掘進麵中需要安裝風速傳感器還有一個主要的原因,就是通常煤礦中的甲烷、一氧化碳、瓦斯等有害氣體往往從掘進麵出現的概率最大,甚至有些氣體在地下形成的“氣室”中的氣體直接就是一些有害性氣體,因此煤礦中需要在每個位置都安裝風速傳感器並連接通風設備。
風向風速傳感器在風力發電領域的應用
現xian代dai化hua的de大da型xing風feng力li發fa電dian機ji為wei了le能neng夠gou更geng好hao的de利li用yong風feng力li資zi源yuan,通tong常chang葉ye輪lun方fang向xiang的de控kong製zhi已yi經jing不bu是shi用yong尾wei翼yi進jin行xing的de,而er是shi通tong過guo風feng向xiang傳chuan感gan器qi來lai完wan成cheng這zhe個ge角jiao度du的de控kong製zhi,通tong常chang風feng向xiang傳chuan感gan器qi xuyaoanzhuangzaifengdianjizudingbu,danxuyaofangzhiyelunzuaichuanganqijinxingceliang,ruguochuanganqidegaodudadaoyidingchengdudeshihou,renmenhaixuyaozhuyiduifadianjizuyijichuanganqijinxingfanglei、防漏電處理。

通常風力場附近安裝的風向傳感器有以下兩個主要用途:
1、保障風力發電機葉片可以實時正對風向角,確保事實都在正常工作狀態。
2、在風電場附近的氣象站設備上的風向測量儀器可以確保大風天氣不會對風電機組構成威脅。
風向風速傳感器在塔式起重機領域的應用

通(tong)常(chang),為(wei)了(le)確(que)保(bao)建(jian)築(zhu)工(gong)程(cheng)的(de)進(jin)行(xing),大(da)多(duo)數(shu)的(de)塔(ta)式(shi)起(qi)重(zhong)機(ji)通(tong)常(chang)都(dou)會(hui)安(an)裝(zhuang)風(feng)速(su)傳(chuan)感(gan)器(qi)設(she)備(bei),它(ta)的(de)存(cun)在(zai)可(ke)以(yi)讓(rang)起(qi)重(zhong)機(ji)在(zai)大(da)風(feng)影(ying)響(xiang)起(qi)重(zhong)機(ji)工(gong)作(zuo)的(de)時(shi)候(hou),發(fa)出(chu)報(bao)警(jing),但(dan)是(shi)當(dang)大(da)風(feng)已(yi)經(jing)開(kai)始(shi)影(ying)響(xiang)起(qi)重(zhong)機(ji)工(gong)作(zuo)的(de)時(shi)候(hou),往(wang)往(wang)就(jiu)需(xu)要(yao)注(zhu)意(yi)風(feng)向(xiang)的(de)變(bian)化(hua),這(zhe)樣(yang)才(cai)能(neng)針(zhen)對(dui)不(bu)同(tong)風(feng)向(xiang)的(de)風(feng)做(zuo)出(chu)應(ying)對(dui)措(cuo)施(shi),所(suo)以(yi)部(bu)分(fen)起(qi)重(zhong)機(ji)上(shang)麵(mian)已(yi)經(jing)使(shi)用(yong)了(le)風(feng)向(xiang)傳(chuan)感(gan)器(qi)設(she)備(bei)。
風向風速傳感器在空調及通風設備領域的應用
變bian風feng量liang末mo端duan裝zhuang置zhi是shi變bian風feng量liang空kong調tiao係xi統tong的de主zhu要yao設she備bei之zhi一yi。風feng速su傳chuan感gan器qi又you是shi變bian風feng量liang末mo端duan裝zhuang置zhi的de關guan鍵jian部bu件jian,因yin此ci,風feng速su傳chuan感gan器qi的de類lei型xing與yu性xing能neng直zhi接jie影ying響xiang係xi統tong風feng量liang的de檢jian測ce和he控kong製zhi質zhi量liang。目mu前qian,我wo國guo及ji歐ou美mei各ge廠chang家jia的de變bian風feng量liang末mo端duan裝zhuang置zhi均jun采cai用yong皮pi托tuo管guan式shi風feng速su傳chuan感gan器qi,而er日ri本ben各ge廠chang家jia多duo不bu采cai用yong皮pi托tuo管guan式shi風feng速su傳chuan感gan器qi。

風向風速傳感器在航空領域的應用

飛機上的“空速管”是shi一yi種zhong典dian型xing的de皮pi托tuo管guan風feng速su傳chuan感gan器qi,是shi飛fei機ji上shang極ji為wei重zhong要yao的de測ce量liang工gong具ju。它ta的de安an裝zhuang位wei置zhi一yi定ding要yao在zai飛fei機ji外wai麵mian氣qi流liu較jiao少shao受shou到dao飛fei機ji影ying響xiang的de區qu域yu,一yi般ban在zai機ji頭tou正zheng前qian方fang,垂chui尾wei或huo翼yi尖jian前qian方fang。當dang飛fei機ji向xiang前qian飛fei行xing時shi,氣qi流liu便bian衝chong進jin空kong速su管guan,在zai管guan子zi末mo端duan的de感gan應ying器qi會hui感gan受shou到dao氣qi流liu的de衝chong擊ji力li量liang,即ji動dong壓ya。飛fei機ji飛fei得de越yue快kuai,動dong壓ya就jiu越yue大da。如ru果guo將jiang空kong氣qi靜jing止zhi時shi的de壓ya力li即ji靜jing壓ya和he動dong壓ya相xiang比bi就jiu可ke以yi知zhi道dao衝chong進jin來lai的de空kong氣qi有you多duo快kuai,也ye就jiu是shi飛fei機ji飛fei得de有you多duo快kuai。比bi較jiao兩liang種zhong壓ya力li的de工gong具ju是shi一yi個ge用yong上shang下xia兩liang片pian很hen薄bo的de金jin屬shu片pian製zhi成cheng的de表biao麵mian帶dai波bo紋wen的de空kong心xin圓yuan形xing盒he子zi,稱cheng為wei膜mo盒he。這zhe盒he子zi是shi密mi封feng的de,但dan有you一yi根gen管guan子zi與yu空kong速su管guan相xiang連lian。如ru果guo飛fei機ji速su度du快kuai,動dong壓ya便bian增zeng大da,膜mo盒he內nei壓ya力li增zeng加jia,膜mo盒he會hui鼓gu起qi來lai。用yong一yi個ge由you小xiao杠gang杆gan和he齒chi輪lun等deng組zu成cheng的de裝zhuang置zhi可ke以yi將jiang膜mo盒he的de變bian形xing測ce量liang出chu來lai並bing用yong指zhi針zhen顯xian示shi,這zhe就jiu是shi最zui簡jian單dan的de飛fei機ji空kong速su表biao。

空(kong)速(su)管(guan)測(ce)量(liang)出(chu)來(lai)的(de)靜(jing)壓(ya)還(hai)可(ke)以(yi)用(yong)來(lai)作(zuo)為(wei)高(gao)度(du)表(biao)的(de)計(ji)算(suan)參(can)數(shu)。如(ru)果(guo)膜(mo)盒(he)完(wan)全(quan)密(mi)封(feng),裏(li)麵(mian)的(de)壓(ya)力(li)始(shi)終(zhong)保(bao)持(chi)相(xiang)當(dang)於(yu)地(di)麵(mian)空(kong)氣(qi)的(de)壓(ya)力(li)。這(zhe)樣(yang)當(dang)飛(fei)機(ji)飛(fei)到(dao)空(kong)中(zhong),高(gao)度(du)增(zeng)加(jia),空(kong)速(su)管(guan)測(ce)得(de)的(de)靜(jing)壓(ya)下(xia)降(jiang),膜(mo)盒(he)便(bian)會(hui)鼓(gu)起(qi)來(lai),測(ce)量(liang)膜(mo)盒(he)的(de)變(bian)形(xing)即(ji)可(ke)測(ce)得(de)飛(fei)機(ji)高(gao)度(du)。這(zhe)種(zhong)高(gao)度(du)表(biao)稱(cheng)為(wei)氣(qi)壓(ya)式(shi)高(gao)度(du)表(biao)。

空速管測量出來的速度並非是飛機真正相對於地麵的速度,而隻是相對於大氣的速度,所以稱為空速。如果有風,飛機相對地麵的速度(稱地速)還應加上風速(順風飛行)或減去風速(逆風飛行)。
隨sui著zhe現xian代dai科ke學xue技ji術shu的de開kai展zhan,諸zhu如ru激ji光guang等deng一yi些xie新xin式shi的de風feng速su傳chuan感gan器qi也ye開kai始shi在zai風feng速su檢jian測ce中zhong運yun用yong。相xiang信xin不bu久jiu的de將jiang來lai,各ge種zhong新xin式shi的de風feng向xiang風feng速su傳chuan感gan器qi會hui越yue來lai越yue多duo地di應ying用yong在zai建jian築zhu機ji械xie、鐵路、港口、碼頭、電廠、氣象、索道、環境、溫室、養殖等各個領域。
推薦閱讀:
特別推薦
- 噪聲中提取真值!瑞盟科技推出MSA2240電流檢測芯片賦能多元高端測量場景
- 10MHz高頻運行!氮矽科技發布集成驅動GaN芯片,助力電源能效再攀新高
- 失真度僅0.002%!力芯微推出超低內阻、超低失真4PST模擬開關
- 一“芯”雙電!聖邦微電子發布雙輸出電源芯片,簡化AFE與音頻設計
- 一機適配萬端:金升陽推出1200W可編程電源,賦能高端裝備製造
技術文章更多>>
- 一秒檢測,成本降至萬分之一,光引科技把幾十萬的台式光譜儀“搬”到了手腕上
- AI服務器電源機櫃Power Rack HVDC MW級測試方案
- 突破工藝邊界,奎芯科技LPDDR5X IP矽驗證通過,速率達9600Mbps
- 通過直接、準確、自動測量超低範圍的氯殘留來推動反滲透膜保護
- 從技術研發到規模量產:恩智浦第三代成像雷達平台,賦能下一代自動駕駛!
技術白皮書下載更多>>
- 車規與基於V2X的車輛協同主動避撞技術展望
- 數字隔離助力新能源汽車安全隔離的新挑戰
- 汽車模塊拋負載的解決方案
- 車用連接器的安全創新應用
- Melexis Actuators Business Unit
- Position / Current Sensors - Triaxis Hall
熱門搜索
按鈕開關
白色家電
保護器件
保險絲管
北鬥定位
北高智
貝能科技
背板連接器
背光器件
編碼器型號
便攜產品
便攜醫療
變容二極管
變壓器
檳城電子
並網
撥動開關
玻璃釉電容
剝線機
薄膜電容
薄膜電阻
薄膜開關
捕魚器
步進電機
測力傳感器
測試測量
測試設備
拆解
場效應管
超霸科技




