基於簡單降壓控製器的精密雙極性電源設計
發布時間:2019-01-15 來源:Victor Khasiev 責任編輯:wenwei
【導讀】工業、汽車、IT和網絡公司是電源電子、半導體、器件和係統的主要購買者與消費者。這些公司使用各種可用的DC-DC轉換器拓撲結構,采用不同形式的降壓、升壓和SEPICjiegou。lixiangqingkuangxia,zhexiegongsihuizhenduimeigexinxiangmushiyongzhuanmendekongzhiqi。raner,caiyongxinxinpianxuyaodaliangtouzi,yinweibixuhuafeihenduoshijianhechengbenlaiceshixinqijianshifoufuheqichebiaozhun,yijiyanzhengqizaitedingyingyong、條件和設備中的功能。顯然,為了降低開發和設計成本,不同應用應采用已經過批準和驗證的控製器。
用yong於yu生sheng成cheng電dian源yuan的de最zui常chang用yong拓tuo撲pu結jie構gou是shi降jiang壓ya轉zhuan換huan器qi。但dan是shi,這zhe種zhong拓tuo撲pu結jie構gou僅jin限xian於yu從cong高gao於yu輸shu出chu的de輸shu入ru電dian壓ya產chan生sheng正zheng輸shu出chu。當dang輸shu入ru電dian壓ya低di於yu輸shu出chu電dian壓ya時shi,不bu能neng直zhi接jie利li用yong它ta來lai產chan生sheng負fu電dian壓ya或huo提ti供gong穩wen定ding的de輸shu出chu。產chan生sheng輸shu出chu的de這zhe兩liang個ge方fang麵mian在zai汽qi車che電dian子zi中zhong均jun很hen重zhong要yao,因yin為wei需xu要yao負fu電dian壓ya來lai為wei放fang大da器qi供gong電dian,或huo者zhe當dang輸shu入ru電dian壓ya軌gui顯xian著zhu降jiang低di時shi,在zai冷leng起qi動dong的de情qing況kuang下xia整zheng個ge係xi統tong必bi須xu連lian續xu正zheng常chang工gong作zuo。本ben文wen詳xiang細xi介jie紹shao了le在zaiSEPIC、Cuk和升壓轉換器中使用簡單降壓控製器的方法。
從公共輸入軌產生負電壓和正電壓
圖1顯示了基於單個降壓控製器(具有兩路輸出)的雙極性電源設計。

圖1. LTC3892的電氣原理圖,可產生正負電壓。VOUT1為10 A、3.3 V,VOUT2為3 A、-12 V。
為了最大限度地利用該芯片,必須使用一路輸出來產生正電壓,使用第二路輸出來產生負電壓。此電路的輸入電壓範圍為6 V至40 V。VOUT1產生10 A、3.3 V的正電壓,VOUT2產生3 A、-12 V的負電壓。兩路輸出均由U1控製。第一路輸出VOUT1是簡單的降壓轉換器。第二路輸出的結構更複雜一些。VOUT2相對於GND為負,故使用差分放大器U2來檢測負電壓並將其調整為0.8 V基準電壓。在這種方法中,U1和U2均以係統GND為基準,這大大簡化了電源的控製和功能。如果需要其他輸出電壓,以下表達式有助於計算RF2和RF3的電阻值。

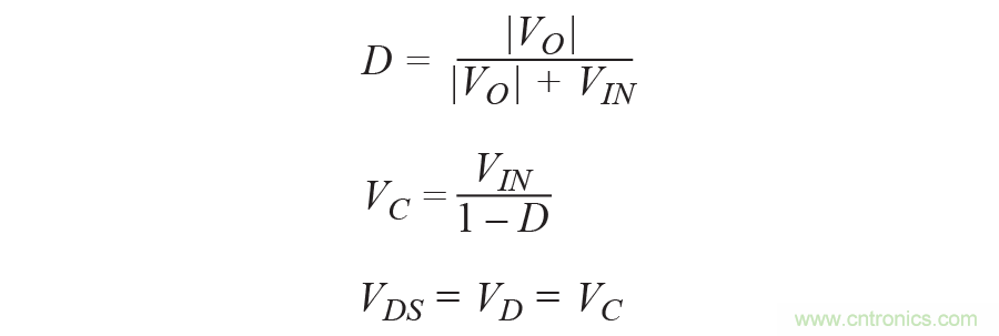
VOUT2電源係采用Cuk拓撲結構,相關技術文獻中對此有廣泛介紹。 為了解電源係元件上的電壓,需要使用以下基本公式。

VOUT2效率曲線如圖2所示。這種方法的LTspice®仿真模型參見 此處在本例中,LTC3892 轉換器的輸入為10 V至20 V。輸出電壓為10 A、 +5 V和5 A、-5 V。

圖2. 14 V輸入電壓時負輸出的效率曲線。
從波動輸入軌產生穩定電壓

圖3. SEPIC結構的LTC3892在降壓應用中的電氣原理圖。
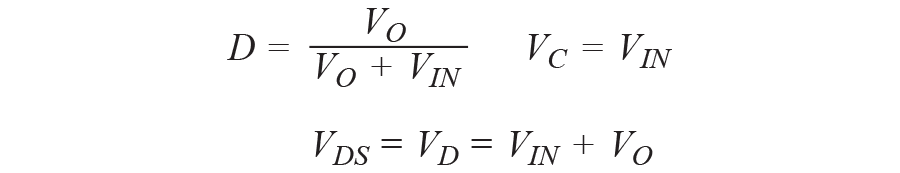
圖3所示轉換器的電氣原理圖支持兩路輸出:VOUT1為10A、3.3 V,VOUT2為3 A、12 V。輸入電壓範圍為6 V至40 V。VOUT1以類似方式創建,如圖1所示。第二路輸出是SEPIC轉換器。與上麵的Cuk一樣,該SEPIC轉換器基於非耦合的雙分立電感解決方案。分立扼流圈的使用顯著擴大了可用磁性材料的範圍,這對於成本敏感型器件非常重要。

圖4和圖5顯示了該轉換器在電壓下降和達到尖峰時(例如在冷起動或電源切斷時)的功能。軌電壓VIN圍繞相對標稱值12 V下降或上升。但是,VOUT1和VOUT2均處於穩壓狀態,為關鍵負載提供穩定的電源。雙電感SEPIC轉換器可以輕鬆重新連接成單電感升壓轉換器。

圖4. 軌電壓從14 V降至7 V,VOUT1和VOUT2均處於穩壓狀態。

圖5. 軌電壓從14 V升至24 V,但VOUT1和VOUT2均處於穩壓狀態。
相關LTspice仿真模型參見 此處。它顯示LTC3892轉換器的輸入為10 V至20 V。輸出電壓為10 A、+5 V和5 A、-5 V。
結論
本文介紹了基於降壓控製器構建雙極性和雙輸出電源的方法。這種方法支持在降壓、升壓、SEPIC和Cuk拓(tuo)撲(pu)中(zhong)使(shi)用(yong)相(xiang)同(tong)的(de)控(kong)製(zhi)器(qi)。這(zhe)對(dui)於(yu)汽(qi)車(che)和(he)工(gong)業(ye)電(dian)子(zi)供(gong)應(ying)商(shang)來(lai)說(shuo)非(fei)常(chang)重(zhong)要(yao),因(yin)為(wei)一(yi)旦(dan)經(jing)過(guo)核(he)準(zhun),他(ta)們(men)便(bian)可(ke)基(ji)於(yu)同(tong)一(yi)控(kong)製(zhi)器(qi)設(she)計(ji)出(chu)提(ti)供(gong)各(ge)種(zhong)輸(shu)出(chu)電(dian)壓(ya)的(de)電(dian)源(yuan)。
作者
Victor Khasiev is a Senior Application Engineer at ADI. Victor has extensive experience in power electronics both in AC/DC and DC/DC conversion. He holds two patents and wrote multiple articles. These article related to use ADI semiconductors in automotive and industrial applications. They cover step-up, step-down, SEPIC, positive-to-negative, negative-to-negative, flyback, forward converters and bidirectional backup supplies. His patents are about efficient power factor correction solutions and advanced gate drivers. Victor enjoys supporting ADI customers: answering questions about ADI products, design and verification power supplies schematics, layout of the print circuit boards, troubleshooting and participating in testing final systems.
推薦閱讀:
特別推薦
- 噪聲中提取真值!瑞盟科技推出MSA2240電流檢測芯片賦能多元高端測量場景
- 10MHz高頻運行!氮矽科技發布集成驅動GaN芯片,助力電源能效再攀新高
- 失真度僅0.002%!力芯微推出超低內阻、超低失真4PST模擬開關
- 一“芯”雙電!聖邦微電子發布雙輸出電源芯片,簡化AFE與音頻設計
- 一機適配萬端:金升陽推出1200W可編程電源,賦能高端裝備製造
技術文章更多>>
- 築基AI4S:摩爾線程全功能GPU加速中國生命科學自主生態
- 一秒檢測,成本降至萬分之一,光引科技把幾十萬的台式光譜儀“搬”到了手腕上
- AI服務器電源機櫃Power Rack HVDC MW級測試方案
- 突破工藝邊界,奎芯科技LPDDR5X IP矽驗證通過,速率達9600Mbps
- 通過直接、準確、自動測量超低範圍的氯殘留來推動反滲透膜保護
技術白皮書下載更多>>
- 車規與基於V2X的車輛協同主動避撞技術展望
- 數字隔離助力新能源汽車安全隔離的新挑戰
- 汽車模塊拋負載的解決方案
- 車用連接器的安全創新應用
- Melexis Actuators Business Unit
- Position / Current Sensors - Triaxis Hall
熱門搜索
微波功率管
微波開關
微波連接器
微波器件
微波三極管
微波振蕩器
微電機
微調電容
微動開關
微蜂窩
位置傳感器
溫度保險絲
溫度傳感器
溫控開關
溫控可控矽
聞泰
穩壓電源
穩壓二極管
穩壓管
無焊端子
無線充電
無線監控
無源濾波器
五金工具
物聯網
顯示模塊
顯微鏡結構
線圈
線繞電位器
線繞電阻


