關於積分型ADC的一些知識
發布時間:2020-02-26 責任編輯:wenwei
【導讀】這種類型的AD轉換器可ke以yi獲huo得de高gao分fen辨bian率lv,但dan是shi通tong常chang這zhe樣yang做zuo會hui犧xi牲sheng速su度du。因yin此ci,這zhe些xie轉zhuan換huan器qi不bu適shi用yong於yu音yin頻pin或huo信xin號hao處chu理li的de場chang合he應ying用yong。他ta們men通tong常chang的de典dian型xing應ying用yong就jiu是shi數shu字zi電dian壓ya計ji和he其qi他ta需xu要yao高gao精jing度du測ce量liang的de儀yi表biao。
一個積分型ADC是一種通過使用積分器將未知的輸入電壓轉換成數字表示的一種模-數轉換器。在它最基本的實現中,這個未知的輸入電壓是被施加在積分器的輸入端,並且持續一個固定的時間段(所謂的上升階段)。然後用一個已知的反向電壓施加到積分器,這樣持續到積分器輸出歸零(所謂的下降階段)。zheyang,shurudianyadejisuanjieguoshijishicankaodianyadeyigehanshu,dingshishangshengjieduanshijianhecededexiajiangjieduanshijian。xiajiangjieduanshijiandeceliangtongchangshiyizhuanhuanqideshizhongweidanwei,suoyijifenshijianyuechang,fenbianlvyuegao。tongyangde,zhuanhuanqidesudukeyikaoxishengfenbianlvlaihuodetisheng。
這種類型的AD轉(zhuan)換(huan)器(qi)可(ke)以(yi)獲(huo)得(de)高(gao)分(fen)辨(bian)率(lv),但(dan)是(shi)通(tong)常(chang)這(zhe)樣(yang)做(zuo)會(hui)犧(xi)牲(sheng)速(su)度(du)。因(yin)此(ci),這(zhe)些(xie)轉(zhuan)換(huan)器(qi)不(bu)適(shi)用(yong)於(yu)音(yin)頻(pin)或(huo)信(xin)號(hao)處(chu)理(li)的(de)場(chang)合(he)應(ying)用(yong)。他(ta)們(men)通(tong)常(chang)的(de)典(dian)型(xing)應(ying)用(yong)就(jiu)是(shi)數(shu)字(zi)電(dian)壓(ya)計(ji)和(he)其(qi)他(ta)需(xu)要(yao)高(gao)精(jing)度(du)測(ce)量(liang)的(de)儀(yi)表(biao)。
========基本設計=======
最基本的積分型ADC電路包含:
● 一個積分器、
● 一個選擇開關(用來選在被測電壓和參考電壓)、
● 一個定時器(用來決定對被測電壓的積分時間長度和測量參考電壓積分消耗時間)、
● 一個比較器(用來進行過零檢測)、
● 一個控製器、
● 一個放電開關(這個根據實現形式可有可無,主要用來對積分電容進行放電,與積分電容並聯)。
上麵的所有開關都由轉換器的控製器(通常是微處理器或專用的控製邏輯),控製器的輸入包括一個時鍾信號(用來測量時間)和一個比較器的輸出信號(用來檢測積分器的輸出是否歸零)
轉換過程分兩個階段:上(shang)升(sheng)階(jie)段(duan)和(he)下(xia)降(jiang)階(jie)段(duan)。在(zai)上(shang)升(sheng)階(jie)段(duan),積(ji)分(fen)器(qi)的(de)輸(shu)入(ru)是(shi)被(bei)測(ce)電(dian)壓(ya),在(zai)下(xia)降(jiang)階(jie)段(duan),積(ji)分(fen)器(qi)的(de)輸(shu)入(ru)是(shi)已(yi)知(zhi)的(de)參(can)考(kao)電(dian)壓(ya)。在(zai)上(shang)升(sheng)階(jie)段(duan)中(zhong),開(kai)關(guan)選(xuan)擇(ze)被(bei)測(ce)電(dian)壓(ya)進(jin)入(ru)積(ji)分(fen)器(qi),積(ji)分(fen)器(qi)持(chi)續(xu)一(yi)個(ge)固(gu)定(ding)的(de)時(shi)間(jian)段(duan)進(jin)行(xing)積(ji)分(fen),在(zai)積(ji)分(fen)電(dian)容(rong)上(shang)麵(mian)積(ji)累(lei)電(dian)荷(he)。在(zai)下(xia)降(jiang)階(jie)段(duan),開(kai)關(guan)選(xuan)擇(ze)參(can)考(kao)電(dian)壓(ya)進(jin)入(ru)積(ji)分(fen)器(qi),在(zai)這(zhe)階(jie)段(duan)測(ce)量(liang)積(ji)分(fen)器(qi)輸(shu)入(ru)歸(gui)零(ling)的(de)時(shi)間(jian)。(譯者:總結起來就是先定時積分,再定值反向積分,測量反向積分時間),電路如右圖:

為wei了le使shi積ji分fen器qi向xiang相xiang反fan方fang向xiang積ji分fen,參can考kao電dian壓ya需xu要yao和he被bei測ce電dian壓ya的de極ji性xing相xiang反fan。在zai大da多duo數shu情qing況kuang下xia,如ru果guo被bei測ce電dian壓ya為wei正zheng,那na麼me參can考kao電dian壓ya就jiu為wei負fu。為wei了le能neng夠gou處chu理li正zheng負fu電dian壓ya輸shu入ru的de情qing況kuang,需xu要yao一yi個ge正zheng向xiang和he一yi個ge負fu向xiang的de參can考kao電dian壓ya。具ju體ti選xuan擇ze哪na一yi個ge參can考kao電dian壓ya取qu決jue於yu上shang升sheng階jie段duan積ji分fen結jie束shu後hou積ji分fen器qi的de輸shu出chu電dian壓ya極ji性xing。也ye就jiu是shi說shuo,如ru果guo在zai上shang升sheng階jie段duan結jie束shu時shi,積ji分fen器qi輸shu出chu是shi負fu,則ze需xu要yao接jie入ru一yi個ge負fu向xiang參can考kao電dian壓ya(譯者:因為接的是積分器的反向輸入端),如果積分器輸出是正,則需要接入一個正向參考電壓。
積分器輸出的基本公式如下(假設是一個恒定輸入):

jiashezaimeigezhuanhuanguochengdechushidianyadoushiling,bingqiejifenqizaixiajiangjieduanjieshushideshuchudianyayeshiling,womenjiukeyidedaoxiamianlianggedengshilaibiaoshijifenqidelianggejieduandeshuchu:

結合上麵兩個等式,可以解除Vin,也就是得到了被測電壓的公式:

從這個公式可以看出,雙斜坡積分ADC的好處之一很明顯:測量結果與電路元件的值(其中的R和C)無關。然而,這並不意味著,R和C在雙斜坡積分ADC中不重要(下麵將解釋這一問題)。
zhuyidaozaixiatuzhong,zaishangshengjieduandianyashixiangshangshenggaode,zaixiajiangjieduandianyashixiangxiajiangdide。zaishijiyingyongzhong,youyubijiaoqishiyongdeshiyunfangdefufankui,shijiayigezhengxiangdianyaVin實際會使輸出下降,

所以這裏的“上”和“下”可以理解為積分電容充電的過程。
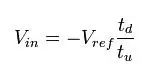
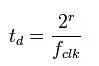
雙斜坡積分型ADC的分辨率主要由下降階段的時間長度和時間測量分辨率(例如控製器時鍾的頻率)來決定的(譯者:也就是速度和分辨率這一對矛盾的原因)。期望的分辨率(用bits數表示) 是滿量程輸入時,下降時間的最小長度。(Vin = -Vref)

在滿程輸入的測量過程中,積分器輸出的斜坡在上升和下降階段是相同的(方向相反)。也就是上升和下降階段的時間相等(
),總的測量時間則為
<img%20border="1"%20alt=""%20src="http: 2="" img.blog.csdn.net="" watermark="" text="" ahr0cdovl2jsb2cuy3nkbi5uzxqvexbvzmx5zxi="/font/5a6L5L2T/fontsize/400/fill/I0JBQkFCMA==/dissolve/70/gravity/Center"%20width="25"%20height="17"%20/"></img%20border="1"%20alt=""%20src="http:>
。因此,滿程輸入的總的測量時間是基於期望的分辨率和控製器的時鍾頻率的。
如下式:
舉個栗子:如果期望得到16bits的分辨率,控製器時鍾頻率是10MHz,那麼測量時間計算下來就是13.1ms(也即是每秒鍾76個采樣)。采樣時間可以靠犧牲分辨率得到改善。如果分辨率降低到10bits,那麼在同樣的10MHz的時鍾頻率下,測量時間就降低到僅為0.2ms(每秒鍾4900個采樣)。
========局限性=======
雙斜坡積分型ADC有幾個局限。對於基本的雙斜坡ADC來說,靠使用更長的測量時間或更高的時鍾頻率來任意提高分辨率是不可能的。分辨率被以下條件所限製:
1. 積ji分fen器qi運yun放fang的de範fan圍wei。運yun放fang的de軌gui電dian壓ya限xian製zhi了le積ji分fen器qi的de輸shu出chu電dian壓ya。長chang時shi間jian的de積ji分fen器qi輸shu入ru會hui導dao致zhi輸shu出chu被bei限xian製zhi到dao一yi個ge最zui大da值zhi,是shi的de任ren何he基ji於yu下xia降jiang時shi間jian的de計ji算suan都dou沒mei有you意yi義yi。因yin此ci,應ying基ji於yu運yun放fang的de軌gui電dian壓ya、參考電壓和期望的滿程被測電壓來小心地選擇積分器的電阻和電容,並且最長的上升時間也應滿足期望的分辨率。(譯者:實際就是講積分器飽和的問題,後麵的電荷平衡技術將解決這個問題)
2. 作為過零檢測的比較器的準確度。寬帶電路噪聲限值了比較器精確檢測積分器輸出歸零的能力。Goerke建議一個典型的限製是比較器分辨率1mV。
3. 積分電容的品質。盡管積分電容不需要完美的線性,但卻需要時間恒定(time-invariant)。介電吸收(Dielectric absorption)會導致嚴重問題。(譯者:個人認為此處應為介質吸收。取一個數值較大的鉭電容,充電到10V左右,用一個100Ω的電阻即刻跨接在它兩端,迅速放電。移去電阻,用高阻抗的電壓表觀察電容兩端的電壓,可以看到電容又充電,幾秒後達到1V左右。介質吸收現象可能與介質表麵的殘留極化有關。所以積分型ADC的電容應選擇高質量、低介質吸收的電容,如特氟龍介質)
========改善=======
基本雙斜坡積分型ADC的設計在轉換速度和分辨率方麵有限製。很對針對基本設計的修改在某種程度上解決了這些問題。
針對上升階段的改進
改進的雙斜坡
jibenshuangxieposhejideshangshengjieduanhuijiangbeicedianyagudingjifenyiduanshijian。yejiushishuo,tazuizhonghuizaijifendianrongshangjianliyigebuquedingdedianheliang。xiajiangjieduanceliangzhegebuquedingdedianhelaiquedingbeicedianya。duiyuyigemanchengshuru,celiangshijiandeyibanhuibeihuafeidaoshangshengjieduan。duiyugengxiaodeshuru,xiangduizongceliangshijiandeyigegengdabilideshijianhuibeihuafeidaoshangshengjieduan。suoyi,jianshaohuafeidaoshangshengjieduandeshijiankeyixianzhujiangdizongdeceliangshijian。(譯者:此處以圖示似乎更容易說明問題。見下圖)

一(yi)個(ge)簡(jian)單(dan)的(de)減(jian)少(shao)上(shang)升(sheng)時(shi)間(jian)的(de)方(fang)法(fa)就(jiu)是(shi)增(zeng)加(jia)充(chong)電(dian)電(dian)荷(he)的(de)積(ji)累(lei)速(su)度(du),這(zhe)可(ke)以(yi)靠(kao)減(jian)少(shao)輸(shu)入(ru)電(dian)阻(zu)值(zhi)來(lai)實(shi)現(xian)。這(zhe)依(yi)然(ran)是(shi)要(yao)積(ji)累(lei)同(tong)等(deng)數(shu)量(liang)的(de)電(dian)荷(he),隻(zhi)是(shi)需(xu)要(yao)的(de)時(shi)間(jian)更(geng)少(shao)。在(zai)下(xia)降(jiang)階(jie)段(duan)使(shi)用(yong)同(tong)樣(yang)的(de)算(suan)法(fa),參(can)考(kao)右(you)圖(tu),則(ze)得(de)到(dao)下(xia)麵(mian)的(de)公(gong)式(shi):


與(yu)基(ji)本(ben)雙(shuang)斜(xie)坡(po)積(ji)分(fen)轉(zhuan)換(huan)器(qi)不(bu)同(tong),此(ci)等(deng)式(shi)與(yu)積(ji)分(fen)電(dian)阻(zu)有(you)關(guan)。或(huo)者(zhe),更(geng)重(zhong)要(yao)的(de)是(shi),它(ta)與(yu)兩(liang)個(ge)積(ji)分(fen)電(dian)阻(zu)的(de)比(bi)值(zhi)有(you)關(guan)。這(zhe)種(zhong)改(gai)進(jin)方(fang)法(fa)不(bu)能(neng)改(gai)進(jin)轉(zhuan)換(huan)器(qi)的(de)分(fen)辨(bian)率(lv)(因為它沒有解決上麵提到的分辨率的限值)。
推薦閱讀:
特別推薦
- 噪聲中提取真值!瑞盟科技推出MSA2240電流檢測芯片賦能多元高端測量場景
- 10MHz高頻運行!氮矽科技發布集成驅動GaN芯片,助力電源能效再攀新高
- 失真度僅0.002%!力芯微推出超低內阻、超低失真4PST模擬開關
- 一“芯”雙電!聖邦微電子發布雙輸出電源芯片,簡化AFE與音頻設計
- 一機適配萬端:金升陽推出1200W可編程電源,賦能高端裝備製造
技術文章更多>>
- 貿澤EIT係列新一期,探索AI如何重塑日常科技與用戶體驗
- 算力爆發遇上電源革新,大聯大世平集團攜手晶豐明源線上研討會解鎖應用落地
- 創新不止,創芯不已:第六屆ICDIA創芯展8月南京盛大啟幕!
- AI時代,為什麼存儲基礎設施的可靠性決定數據中心的經濟效益
- 矽典微ONELAB開發係列:為毫米波算法開發者打造的全棧工具鏈
技術白皮書下載更多>>
- 車規與基於V2X的車輛協同主動避撞技術展望
- 數字隔離助力新能源汽車安全隔離的新挑戰
- 汽車模塊拋負載的解決方案
- 車用連接器的安全創新應用
- Melexis Actuators Business Unit
- Position / Current Sensors - Triaxis Hall
熱門搜索
微波功率管
微波開關
微波連接器
微波器件
微波三極管
微波振蕩器
微電機
微調電容
微動開關
微蜂窩
位置傳感器
溫度保險絲
溫度傳感器
溫控開關
溫控可控矽
聞泰
穩壓電源
穩壓二極管
穩壓管
無焊端子
無線充電
無線監控
無源濾波器
五金工具
物聯網
顯示模塊
顯微鏡結構
線圈
線繞電位器
線繞電阻



