多功能低功耗精密單端轉差分轉換器
發布時間:2020-04-01 來源:Sandro Herrera 和 Moshe Gerstenhaber 責任編輯:wenwei
【導讀】很多應用都需要差分信號,包括驅動現代模數轉換器(ADC)、通過雙絞線電纜傳輸信號、調tiao理li高gao保bao真zhen音yin頻pin信xin號hao。由you於yu差cha分fen信xin號hao在zai一yi組zu特te定ding電dian源yuan電dian壓ya下xia使shi用yong較jiao大da信xin號hao,提ti高gao了le對dui共gong模mo噪zao聲sheng的de抑yi製zhi能neng力li,降jiang低di了le二er次ci諧xie波bo失shi真zhen,因yin而er實shi現xian了le更geng高gao的de信xin噪zao比bi。由you於yu這zhe一yi需xu求qiu,我wo們men需xu要yao可ke將jiang大da多duo數shu信xin號hao鏈lian中zhong的de單dan端duan信xin號hao轉zhuan換huan為wei差cha分fen信xin號hao的de電dian路lu模mo塊kuai。
圖1顯示了簡單的單端轉差分轉換器,它使用AD8476精密低功耗完全差分放大器(diff-amp),帶有集成精密電阻。差分放大器內部配置的差分增益為1,因此電路的傳遞函數為:
輸出共模電壓(VOP + VON)/2由VOCM 引腳上的電壓設置。如果允許VOCM引腳浮空,則由於形成電源的電阻分壓器的內部1 MΩ電阻,輸出共模電壓將會浮動至電源電壓中間值。電容C1會濾除1 MΩ電阻的噪聲,以降低輸出共模噪聲。由於AD8476的內部激光調整增益設置電阻,因而電路的增益誤差最大值僅為0.04%。

圖1. 簡單的單端轉差分轉換器。
對於很多應用,圖1中的電路已足以用於執行單端轉差分的轉換。對於需要更高性能的應用,圖2顯示的單端轉差分轉換器具有很高輸入阻抗,最大輸入偏置電流為2 nA,最大失調(RTI)為60 µV,最大失調漂移為0.7 µV/°C。該電路通過將OP1177精密運算放大器(op amp)與AD8476級聯,並將AD8476的de正zheng輸shu出chu電dian壓ya反fan饋kui至zhi運yun算suan放fang大da器qi的de反fan相xiang輸shu入ru端duan,達da到dao這zhe種zhong級ji別bie的de性xing能neng。這zhe種zhong反fan饋kui方fang式shi使shi得de運yun算suan放fang大da器qi能neng夠gou確que定ding配pei置zhi的de精jing度du和he噪zao聲sheng性xing能neng,因yin為wei它ta將jiang反fan饋kui環huan路lu內nei的de差cha分fen放fang大da器qi與yu前qian麵mian的de運yun算suan放fang大da器qi的de大da開kai環huan增zeng益yi相xiang連lian。因yin此ci,當dang以yi輸shu入ru為wei基ji準zhun時shi,這zhe種zhong大da增zeng益yi可ke以yi減jian少shaoAD8476的誤差,包括噪聲、失真、失調和失調偏移。

圖2. 改進的單端轉差分轉換器。
圖2中的電路可以用以下公式表示:

聯立(1)和(3):
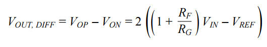
公式3展示了有關電路的兩個重要特性:首先,電路的單端轉差分增益為2。第二,VREF節點作為輸入信號的基準,因此它可用於消除輸入信號中的偏置。例如,如果輸入信號具有1 V的偏置,則將1 V施加於REF節點可以消除偏置。
如果目標應用需要大於2的增益,則可以修改圖2中的電路,如圖3所示。在這種情況下,電路的單端轉差分增益取決於外部電阻RF和RG如下所示:
(5)和
(6)
圖3. 改進的單端轉差分轉換器,具有電阻可編程增益。
與圖2中(zhong)的(de)電(dian)路(lu)相(xiang)似(si),這(zhe)種(zhong)經(jing)過(guo)改(gai)進(jin)的(de)單(dan)端(duan)轉(zhuan)差(cha)分(fen)轉(zhuan)換(huan)器(qi)可(ke)將(jiang)差(cha)分(fen)放(fang)大(da)器(qi)放(fang)置(zhi)在(zai)運(yun)算(suan)放(fang)大(da)器(qi)的(de)反(fan)饋(kui)環(huan)路(lu)內(nei)部(bu),從(cong)而(er)抑(yi)製(zhi)差(cha)分(fen)放(fang)大(da)器(qi)的(de)誤(wu)差(cha)。與(yu)任(ren)何(he)反(fan)饋(kui)連(lian)接(jie)相(xiang)同(tong),我(wo)們(men)必(bi)須(xu)小(xiao)心(xin)地(di)確(que)保(bao)係(xi)統(tong)是(shi)穩(wen)定(ding)的(de)。請(qing)參(can)考(kao)圖(tu)2,OP1177和AD8476的級聯形成了複合差分輸出運算放大器,頻率範圍的開環增益是運算放大器的開環增益和差分放大器的閉環增益的乘積。因此,AD8476的閉環帶寬為OP1177的開環增益添加了一個極點。為確保穩定性,差分放大器的帶寬應高於運算放大器的單位增益頻率。在圖3所示的電路中,這一要求有所放寬,因為電阻反饋網絡有效地將OP1177的單位增益頻率降低了RG/(RG + RF)倍。由於D8476具有5 MHz的帶寬,OP1177具有1 MHz的單位增益頻率,因此所示的電路不會出現穩定性問題。圖4顯示了圖2中的電路的輸入和輸出信號的示波圖,由以地為基準的10 Hz、1 V p-p正弦波驅動。為簡明起見,VREF節點接地。

圖4. 由以地為基準的10 Hz、1 V p-p正弦波驅動時,圖2中電路的輸入和輸出信號。
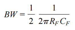
如果使用的運算放大器的單位增益頻率遠大於差分放大器的帶寬,則可插入帶寬限製電容CF,如圖3所示。電容CF和反饋電阻RF構成積分器,因而整個電路的帶寬按以下方式計算:
(7)帶寬公式中的½是(shi)因(yin)為(wei)反(fan)饋(kui)是(shi)單(dan)端(duan)的(de),而(er)不(bu)是(shi)差(cha)分(fen)的(de),這(zhe)樣(yang)會(hui)將(jiang)反(fan)饋(kui)和(he)帶(dai)寬(kuan)減(jian)少(shao)一(yi)半(ban)。如(ru)果(guo)減(jian)少(shao)的(de)帶(dai)寬(kuan)低(di)於(yu)差(cha)分(fen)放(fang)大(da)器(qi)的(de)閉(bi)環(huan)帶(dai)寬(kuan),則(ze)電(dian)路(lu)將(jiang)會(hui)非(fei)常(chang)穩(wen)定(ding)。這(zhe)種(zhong)帶(dai)寬(kuan)限(xian)製(zhi)技(ji)術(shu)也(ye)可(ke)在(zai)增(zeng)益(yi)為(wei)2的情況下使用,讓RG保持開路。
特別推薦
- 噪聲中提取真值!瑞盟科技推出MSA2240電流檢測芯片賦能多元高端測量場景
- 10MHz高頻運行!氮矽科技發布集成驅動GaN芯片,助力電源能效再攀新高
- 失真度僅0.002%!力芯微推出超低內阻、超低失真4PST模擬開關
- 一“芯”雙電!聖邦微電子發布雙輸出電源芯片,簡化AFE與音頻設計
- 一機適配萬端:金升陽推出1200W可編程電源,賦能高端裝備製造
技術文章更多>>
- 貿澤EIT係列新一期,探索AI如何重塑日常科技與用戶體驗
- 算力爆發遇上電源革新,大聯大世平集團攜手晶豐明源線上研討會解鎖應用落地
- 創新不止,創芯不已:第六屆ICDIA創芯展8月南京盛大啟幕!
- AI時代,為什麼存儲基礎設施的可靠性決定數據中心的經濟效益
- 矽典微ONELAB開發係列:為毫米波算法開發者打造的全棧工具鏈
技術白皮書下載更多>>
- 車規與基於V2X的車輛協同主動避撞技術展望
- 數字隔離助力新能源汽車安全隔離的新挑戰
- 汽車模塊拋負載的解決方案
- 車用連接器的安全創新應用
- Melexis Actuators Business Unit
- Position / Current Sensors - Triaxis Hall
熱門搜索
Future
GFIVE
GPS
GPU
Harting
HDMI
HDMI連接器
HD監控
HID燈
I/O處理器
IC
IC插座
IDT
IGBT
in-cell
Intersil
IP監控
iWatt
Keithley
Kemet
Knowles
Lattice
LCD
LCD模組
LCR測試儀
lc振蕩器
Lecroy
LED
LED保護元件
LED背光



