調製中的頻譜混疊
發布時間:2020-04-17 來源:卓晴 責任編輯:wenwei
【導讀】人(ren)類(lei)在(zai)無(wu)線(xian)通(tong)信(xin)的(de)實(shi)踐(jian)過(guo)程(cheng)中(zhong)使(shi)用(yong)信(xin)號(hao)調(tiao)製(zhi)的(de)方(fang)式(shi)來(lai)將(jiang)傳(chuan)遞(di)的(de)信(xin)號(hao)的(de)頻(pin)譜(pu)搬(ban)移(yi)到(dao)高(gao)頻(pin),通(tong)過(guo)天(tian)線(xian)完(wan)成(cheng)電(dian)磁(ci)波(bo)的(de)發(fa)送(song)與(yu)接(jie)收(shou)。這(zhe)種(zhong)信(xin)號(hao)調(tiao)製(zhi)方(fang)式(shi)作(zuo)為(wei)信(xin)號(hao)頻(pin)譜(pu)分(fen)析(xi)的(de)應(ying)用(yong),也(ye)是(shi)信(xin)號(hao)與(yu)係(xi)統(tong)課(ke)程(cheng)中(zhong)的(de)重(zhong)要(yao)內(nei)容(rong)。

▲ 無線通訊方式及其天線
本文對信號幅度調製和解調進行討論。通過公式、波形、頻譜分析對幅度調製中的混疊現象進行描述。
幅度調製
信號調製中,幅度調製形式簡單,應用廣泛。在形式可以描述成信號
與載波信號
的乘積關係。在實際工程中,載波信號的頻率
通常遠大於信號
的最高頻率。後期通過同步解調方式,可以從調製信號中恢複出原來的信號。
下麵公式描述了幅度調製(載波抑製調幅)的過程:

實現的係統框圖顯示如下:

▲ 信號幅度調製的係統框圖
下麵通過波形顯示了幅度正弦調製的過程。其中信號
的頻率為1kHz,載波的頻率為30kHz。這樣選擇隻是為了能夠從波形上還可以看出兩個信號的波形。實際中往往載波的頻譜
比調製信號
的頻率高出兩三個數量級以上。


▲ 載波信號與低頻調製信號
下圖顯示了信號
與載波信號
相乘之後的調幅波形。

▲ 幅度調製信號
fudutiaozhihoudexinhaopinpushiyuanlaixinhaodepinpufenbiezuoyoubanyidaozaibopinlvfujindeweizhi,xingchenggaopinxinhao。xiamianxianshileqianmianzhengxianxinhaotiaozhihoudepinpu。

▲ 載波抑製幅度調製信號的頻譜
下麵顯示了對高斯信號調製後的信號波形:


▲ 調製信號與載波信號
高(gao)斯(si)信(xin)號(hao)條(tiao)幅(fu)後(hou)的(de)波(bo)形(xing)如(ru)下(xia)圖(tu)所(suo)示(shi)。它(ta)對(dui)應(ying)的(de)頻(pin)譜(pu)與(yu)前(qian)麵(mian)正(zheng)弦(xian)波(bo)調(tiao)製(zhi)後(hou)的(de)頻(pin)譜(pu)相(xiang)比(bi)隻(zhi)是(shi)將(jiang)原(yuan)來(lai)的(de)一(yi)對(dui)衝(chong)激(ji)頻(pin)譜(pu)改(gai)成(cheng)了(le)高(gao)斯(si)信(xin)號(hao)頻(pin)譜(pu)。這(zhe)是(shi)由(you)於(yu)高(gao)斯(si)信(xin)號(hao)的(de)傅(fu)裏(li)葉(ye)變(bian)換(huan)也(ye)是(shi)高(gao)斯(si)信(xin)號(hao)。

▲ 高斯信號調製後的波形

▲ 高斯信號調製信號頻譜示意圖
同步解調
相比與普通調幅信號,這種載波抑製的調幅需要使用同步檢波的方式來解調。具體過程通過數學描述如下:

下圖顯示了同步解調的過程以及各部分的波形。

▲ 同步解調的過程波形圖
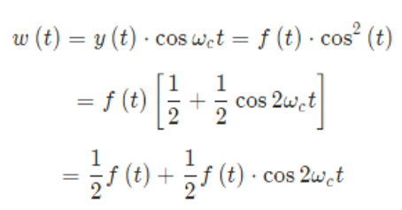
對於前麵給出的實驗波形,下麵繪製出了信號乘以載波之後的波形。可以看出,其中的低頻分量就是被調製的信號。

▲ 調幅信號乘以載波信號以及其中的低頻信號

▲ 高斯信號同步解調後的波形
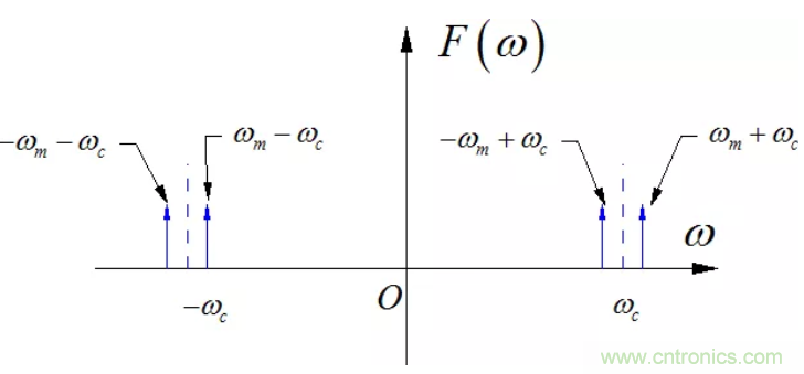
頻率混疊
在(zai)前(qian)麵(mian)講(jiang)述(shu)信(xin)號(hao)的(de)幅(fu)度(du)調(tiao)製(zhi)與(yu)解(jie)調(tiao)過(guo)程(cheng)中(zhong),都(dou)是(shi)假(jia)設(she)信(xin)號(hao)的(de)頻(pin)譜(pu)遠(yuan)遠(yuan)小(xiao)於(yu)載(zai)波(bo)的(de)頻(pin)率(lv)。這(zhe)樣(yang)信(xin)號(hao)被(bei)調(tiao)製(zhi)後(hou),它(ta)的(de)頻(pin)譜(pu)搬(ban)移(yi)到(dao)高(gao)頻(pin)時(shi),左(zuo)右(you)的(de)頻(pin)譜(pu)之(zhi)間(jian)沒(mei)有(you)重(zhong)疊(die)。但(dan)是(shi)如(ru)果(guo)調(tiao)製(zhi)頻(pin)譜(pu)低(di),小(xiao)於(yu)信(xin)號(hao)中(zhong)最(zui)高(gao)頻(pin)率(lv),那(na)麼(me)調(tiao)製(zhi)後(hou)的(de)信(xin)號(hao)頻(pin)譜(pu)中(zhong),左(zuo)右(you)兩(liang)個(ge)搬(ban)移(yi)後(hou)的(de)頻(pin)譜(pu)之(zhi)間(jian)就(jiu)會(hui)有(you)混(hun)疊(die)。這(zhe)就(jiu)為(wei)後(hou)麵(mian)進(jin)行(xing)信(xin)號(hao)恢(hui)複(fu)埋(mai)下(xia)了(le)隱(yin)患(huan)。
下麵將前麵實驗中載波的頻率從原來的30kHz,降低到0.5kHz,給出對應的調製波形。


▲ 高斯信號與低頻的載波信號

▲ 高斯信號低頻調幅後的波形
同樣使用同步解調,所得到的信號中,信號本身
與兩倍頻調製的信號
之間頻譜也同樣存在著混疊,這樣就會使得低通濾波器無法將信號本身恢複出來了。
下圖顯示了上麵調幅信號與載波信號相乘之後的結果(藍色的AM曲線),對比原來的高斯信號(橙色Low Frequency曲線),可以看出使用普通的低通濾波器很難從藍色曲線恢複出橙色曲線了。

▲ 調幅信號與載波信號乘積之後的信號

▲ 高斯調製信號頻譜混疊示意圖
複震蕩信號調製
為(wei)了(le)避(bi)免(mian)幅(fu)度(du)調(tiao)製(zhi)後(hou)的(de)頻(pin)率(lv)混(hun)疊(die)帶(dai)來(lai)信(xin)號(hao)恢(hui)複(fu)的(de)困(kun)難(nan),在(zai)實(shi)踐(jian)中(zhong),可(ke)以(yi)采(cai)用(yong)複(fu)震(zhen)蕩(dang)信(xin)號(hao)調(tiao)製(zhi)的(de)方(fang)式(shi)。也(ye)就(jiu)是(shi)將(jiang)原(yuan)來(lai)的(de)信(xin)號(hao)調(tiao)製(zhi)在(zai)一(yi)對(dui)相(xiang)位(wei)相(xiang)差(cha)90°(正交)dezaiboxinhaoshang,xingchengyiduizhengjiaotiaozhixinhao。zaishuxueshang,keyijiangzheduixinhaokanchengfushudeshibuhexubu,suozuchengdefuzhixinhaodepinpuzeshiyuanlaixinhaodepinpuwangyoupingyi,ziranjiumeiyoulehundiedewenti。

▲ 複震蕩信號調製框圖
下麵公式表示複指數震蕩信號的調製的過程:

下圖顯示了上麵複指數調製後的實部、虛部兩路信號波形。

▲ 複指數調製後的兩路波形
如果需要恢複出原來的信號,則將原來的信號乘以前麵複震蕩信號的共軛信號
,所生成信號的實部就是恢複的原來信號了。
根據複數的乘法運算,複數乘積的實部等於原來兩個複數的實部相乘,減去虛部相乘的結果。
因此對應的複指數震蕩信號同步解調過程就是:

下圖顯示了使用複指數調製後的實部和虛部分別與
相乘之後的波形(藍色,橙色),他們相加之後的波形(綠色)就是回複後的高斯波形。

▲ 進行複指數回複後的波形
如果信號f(t) 的幅值始終大於零0,即f(t)≥0,那麼從複震蕩調製信號恢複原來信號還可以簡單的通過求複調製信號的幅度來恢複:
推薦閱讀:
特別推薦
- 噪聲中提取真值!瑞盟科技推出MSA2240電流檢測芯片賦能多元高端測量場景
- 10MHz高頻運行!氮矽科技發布集成驅動GaN芯片,助力電源能效再攀新高
- 失真度僅0.002%!力芯微推出超低內阻、超低失真4PST模擬開關
- 一“芯”雙電!聖邦微電子發布雙輸出電源芯片,簡化AFE與音頻設計
- 一機適配萬端:金升陽推出1200W可編程電源,賦能高端裝備製造
技術文章更多>>
- 貿澤EIT係列新一期,探索AI如何重塑日常科技與用戶體驗
- 算力爆發遇上電源革新,大聯大世平集團攜手晶豐明源線上研討會解鎖應用落地
- 創新不止,創芯不已:第六屆ICDIA創芯展8月南京盛大啟幕!
- AI時代,為什麼存儲基礎設施的可靠性決定數據中心的經濟效益
- 矽典微ONELAB開發係列:為毫米波算法開發者打造的全棧工具鏈
技術白皮書下載更多>>
- 車規與基於V2X的車輛協同主動避撞技術展望
- 數字隔離助力新能源汽車安全隔離的新挑戰
- 汽車模塊拋負載的解決方案
- 車用連接器的安全創新應用
- Melexis Actuators Business Unit
- Position / Current Sensors - Triaxis Hall
熱門搜索
Future
GFIVE
GPS
GPU
Harting
HDMI
HDMI連接器
HD監控
HID燈
I/O處理器
IC
IC插座
IDT
IGBT
in-cell
Intersil
IP監控
iWatt
Keithley
Kemet
Knowles
Lattice
LCD
LCD模組
LCR測試儀
lc振蕩器
Lecroy
LED
LED保護元件
LED背光




