使用加速度計進行傾斜檢測
發布時間:2020-07-14 來源:Christopher J. Fisher 責任編輯:wenwei
【導讀】jiancexitongqingxiedeyizhongchangyongfangfashiduituoluoyishuchujinxingjifen。suiranzhezhongfangfazhijieledang,danyulingdianpianzhiwendingxingyouguandewuchahuisuizhejifenzhouqidezengjiaerkuaisuleiji,shishebeifashengmingxianxuanzhuan——哪怕此時設備是靜止的。
在某些應用中,若整個時間範圍內作用於係統的淨加速或力是重力,那麼可以使用加速度計來測量傾斜的靜態角度。這類應用有:遊戲機、相機中的水平檢測,以及在工業和醫療應用中檢測設備的駛向。
duiyucaiyongjiasudujideqingxiejiance,jiashezhonglishiweiyidejiasujiliyinsu。zaishijishiyongzhong,kezaixinhaoshuchuduanzhixingxinhaochuli,yichushuchuxinhaodegaopinchengfen,yinciyidingchengdudejiaoliujiasudushikeyijieshoude。
qingxiejianceliyongzhonglishiliangjiqizaijiasudujizhoushangdetouyinglaiquedingqingxiejiaodu。youyuzhonglishizhiliujiasudu,renhechanshengewaizhiliujiasududelijunhuipohuaishuchuxinhao,daozhijisuancuowu。zhiliujiasududelaiyuanbaokuocheliangzaiyidingshijianneiyihengdingsudujiasu,yijixuanzhuanqijianzaijiasudujishangchanshengxiangxinjiasudu。ciwai,tongguozhonglixuanzhuanjiasuduji,suizhemubiaozhoushangdezhonglitouyingbianhua,huiyinqimingxiandejiaoliujiasudu。zaijisuanqingxiezhiqian,duijiasuduxinhaojinxingrenhexingshidelvbodouhuiyingxiangjianlishuchuxinjingtaizhidesudu。
本應用筆記討論將加速度計輸出轉換為傾斜角度的基本原理。討論內容包括如何計算單軸、雙軸或三軸解決方案的理想傾斜角度。此外還包括一些關於校準的基本信息,以減少失調和靈敏度失配所引起的誤差。
傾斜計算
單軸傾斜計算
在隻需對有限的角度範圍內進行傾斜檢測的應用中(該應用的分辨率精度較低),可使用單軸器件(或多軸器件中的單個軸)。
例如,在圖1中,單軸(本例中是x軸)通過重力旋轉。由於此方法僅使用單軸,且需要重力矢量,因此隻有當器件的x軸始終位於重力平麵上時,傾斜計算角度才是精確的。其他軸上的任何旋轉都會降低加速度在x軸上的幅度,計算傾斜角度時便會產生誤差。

圖1. 用於傾斜檢測的單軸
根據基本三角恒等式,x軸上的重力矢量投影會產生輸出加速度,大小等於加速度計x軸和水平麵之間夾角的正弦值。水平麵通常是與重力矢量正交的平麵。當重力為理想值1 g時,輸出加速度為:
使用單軸解決方案時——也就是說,輸出的變化引起輸入的某些變化——傾斜計算隨著水平麵與x軸夾角的增加而下降,當夾角接近±90°時,數值接近0。這點可以從圖2中看出,其中繪出了輸出加速度(以g表示)與傾斜角之間的關係圖。接近±90°時,傾斜角出現很大變化時,輸出加速度隻會產生很小變化。

圖2. 輸出加速度與傾角的關係(單軸傾斜檢測)
由於以數字化的方式執行傾斜計算,輸出加速度根據最低有效位(LSB)或代碼表現為恒定加速度,並由模數轉換器(ADC)獲取,或者直接從數字輸出部分獲取。由於輸出分辨率是恒定的加速度,傾斜分辨率(以度為單位)是可變的,其最佳分辨率接近0°,最差分辨率為±90°。
圖3和圖4顯示傾角步進為1°和0.25°時的增量靈敏度。增量靈敏度等於輸出變化,以mg顯示,表示每個傾角的步進,或者:
其中:
N為當前角度。
P為步長。

圖3. 步進為1°時的增量傾斜靈敏度

圖4. 步進為0.25°時的增量傾斜靈敏度
測量輸出加速度時,為了滿足應用在整個範圍內所需的傾斜分辨率,可利用這些曲線確定需達到的最小分辨率。例如,設計最大步長為1°,則針對±63°範圍,分辨率至少需達到8 mg/LSB。類似地,為達到±63範圍內的0.25°最大步長,則分辨率至少為2 mg/LSB。請注意,如果存在較大的擾動,可以使用過采樣以獲得更佳分辨率。
通過重力旋轉時,由於加速度計輸出符合正弦關係,使用反正弦函數可以將加速度轉換為角度。

其中,傾斜角θ單位為弧度。
如果需要窄範圍傾斜,可以使用線性近似法取代反正弦函數。線性近似與小角度正弦近似有關。
其中,傾斜角θ單位為弧度。
額外的比例係數k可用於傾角的線性近似計算中,若容許的誤差有所增加則可擴大近似的有效範圍。

其中,傾斜角θ單位為弧度。
將等式5的結果乘以(180/π),可轉換為度。圖5顯示使用反正弦函數與使用k = 1時線性近似的對比。隨著傾角幅度的增加,線性近似開始下降,計算得到的角度與實際角度發生偏差。

圖5. 傾角計算中反正弦函數與線性近似的對比
由於計算角度根據實際傾角繪製,因此線性近似在靠近尾部時開始彎曲。這是因為線性近似僅在對比輸出加速度時才表現為線性,如圖2所suo示shi。隨sui著zhe傾qing角jiao增zeng加jia,輸shu出chu加jia速su度du的de表biao現xian與yu之zhi相xiang似si。然ran而er,反fan正zheng弦xian函han數shu應ying當dang產chan生sheng與yu實shi際ji傾qing角jiao一yi對dui一yi對dui應ying的de輸shu出chu,從cong而er當dang描miao繪hui實shi際ji傾qing角jiao時shi,計ji算suan得de到dao的de角jiao度du為wei一yi條tiao直zhi線xian。
例如,假設傾斜檢測所需的分辨率為1°,則±0.5°的誤差是可以接受的,因為它低於計算的舍入誤差。若在k = 1的情況下繪製實際傾角與計算傾角之間的誤差(如圖6所示),則線性近似的有效範圍僅為±20°。若比例係數經調節後,使得誤差最大但依然保持在計算得到的舍入限值內,則線性近似的有效範圍增加到±30°以外。

圖6. 不同比例係數下計算得到的角度誤差
雙軸傾斜計算
單軸傾斜檢測的一個限製,是需要高分辨率ADC或數字輸出來實現大範圍的有效傾角,如圖3和圖4所示;另一個限製,是單軸測量無法提供360°的測量,因為在傾角N°時產生的加速度與傾角180° − N°時產生的加速度相同。在某些應用中,這是可以接受的;但對於需要更高分辨率或要求在完整的360°弧度範圍內區分傾角的應用而言,則需要第二條軸(如圖7所示),或者需要第二個傳感器。若使用了第二個傳感器,則其朝向應使第二個傳感器的檢測軸與第一個傳感器的檢測軸相互正交。

圖7. 用於傾斜檢測的雙軸
增加一個軸對確定傾斜角有三大好處。下文說明這些好處。
恒定靈敏度
增加一個軸的第一大好處在於兩個軸相互垂直。與單軸解決方案相同,x軸檢測到的加速度與傾斜角的正弦值成比例。由於兩個軸相互垂直,因此y軸加速度與傾斜角的餘弦值成比例(見圖8)。隨著一條軸的增量靈敏度下降(比如該軸的加速度接近+1 g或−1 g),另一條軸上的增量靈敏度將會上升。

圖8. 輸出加速度與傾角的關係(雙軸傾斜檢測)
將測量的加速度轉換為傾角的一種方法,是計算x軸的反正弦函數和y軸的反餘弦函數,與單軸解決方案類似。但是,更簡單有效的方法是使用兩個數值之比,可得到如下結果:

其中,傾斜角θ單位為弧度。
yudanzhoushilibutong,shiyongliangzhouzhibilaiquedingqingjiaohuishidezenglianglingmindudequedingbiandeshifenkunnan。xiangfan,jiashesuoxudeqingxiefenbianlvyizhi,zequedingjiasudujixudadaodezuidifenbianlvyongchugengda。jiadingyitiaozhoudezenglianglingmindusuizhelingyitiaozhoudezenglianglingminduxiajiangershangsheng,zejingjieguojiangshishuzhijibenhengdingdeyouxiaozenglianglingmindu。zhebiaoshiruozhenduimouyijiaodu,weidadaosuoxudeqingxiebuchangyaoqiuerxuanzejiasuduji,zegaijiasudujijiangjubeizugoudefenbianlvyiyingfusuoyoujiaodu。
為確定所需的最小加速度計分辨率,可檢查等式6,確que定ding分fen辨bian率lv的de極ji限xian。由you於yu每mei條tiao軸zhou的de輸shu出chu和he傾qing角jiao的de正zheng弦xian或huo餘yu弦xian有you關guan,並bing且qie每mei種zhong函han數shu的de傾qing角jiao均jun相xiang同tong,因yin此ci可ke求qiu解jie的de最zui小xiao角jiao度du與yu可ke求qiu解jie的de最zui小xiao加jia速su度du有you關guan。
如圖3和圖4所示,正弦函數在0°附近具有最大速率變化,且可以看出,餘弦函數在該點處具有最小速率變化。由於這個原因,傾斜導致的x軸加速度變化將先於y軸加速度變化而被識別。因此,係統在0°附近的分辨率主要取決於x軸的分辨率。如需確定P°的傾斜變化,加速度計必須要能檢測根據下式所確定的變化量近似值:
對於所需的傾斜步長,圖9可用來確定所需的最小加速度計分辨率(或最大加速度計比例因子)。注zhu意yi,加jia速su度du計ji分fen辨bian率lv的de提ti升sheng不bu僅jin與yu加jia速su度du計ji比bi例li因yin子zi的de降jiang低di有you關guan,還hai與yu檢jian測ce更geng小xiao的de輸shu出chu加jia速su度du變bian化hua的de能neng力li有you關guan。因yin此ci,針zhen對dui目mu標biao傾qing斜xie步bu長chang選xuan擇ze具ju有you適shi當dang分fen辨bian率lv的de加jia速su度du計ji時shi,比bi例li因yin子zi應ying當dang小xiao於yu圖tu9所示的限值。

圖9. 用於目標傾角分辨率的最小加速度計分辨率
降低與重力平麵對齊的依賴性
使(shi)用(yong)至(zhi)少(shao)兩(liang)個(ge)軸(zhou)的(de)第(di)二(er)大(da)好(hao)處(chu)是(shi),與(yu)單(dan)軸(zhou)解(jie)決(jue)方(fang)案(an)不(bu)同(tong),增(zeng)加(jia)一(yi)個(ge)軸(zhou)後(hou),即(ji)使(shi)第(di)三(san)個(ge)軸(zhou)上(shang)存(cun)在(zai)傾(qing)斜(xie),也(ye)可(ke)以(yi)測(ce)出(chu)精(jing)確(que)值(zhi)。而(er)在(zai)單(dan)軸(zhou)解(jie)決(jue)方(fang)案(an)中(zhong),隻(zhi)要(yao)除(chu)x軸以外的任何其它軸上存在傾斜,就會造成顯著誤差。這是因為有效增量靈敏度與目標軸上重力的和方根(RSS)值成比例。
若重力完全包含在xy平麵中,那麼在理想情況下,那些軸上檢測到的加速度RSS值等於1 g。若在xz或yz平(ping)麵(mian)上(shang)存(cun)在(zai)傾(qing)斜(xie),則(ze)重(zhong)力(li)導(dao)致(zhi)的(de)總(zong)加(jia)速(su)度(du)將(jiang)下(xia)降(jiang),從(cong)而(er)降(jiang)低(di)有(you)效(xiao)增(zeng)量(liang)靈(ling)敏(min)度(du)。這(zhe)樣(yang)會(hui)增(zeng)加(jia)給(gei)定(ding)加(jia)速(su)度(du)計(ji)分(fen)辨(bian)率(lv)的(de)傾(qing)斜(xie)步(bu)長(chang),但(dan)依(yi)然(ran)可(ke)以(yi)提(ti)供(gong)精(jing)確(que)的(de)測(ce)量(liang)結(jie)果(guo)。傾(qing)角(jiao)計(ji)算(suan)結(jie)果(guo)與(yu)xy平麵上的旋轉有關。
若係統足夠傾斜,以至於xy平麵上隻有極少量由於重力而造成的加速度,那麼傾角步長將會分辨率過低而不可用;因此,建議限製xz或yz平麵的傾斜程度。
完整360°傾斜檢測
增加一個軸的第三大好處是,能夠區分各個象限並在整個360°弧度範圍內測量角度。如圖10所示,每個象限都具有與x和y軸加速度關聯的不同符號組合。

圖10. 象限檢測的傾角和加速度符號
如果操作數AX,OUT/AY,OUT為正值,反正切函數會返回第一象限中的值;如果操作數為負值,則反正切函數會返回第四象限中的值。第二象限內的操作數為負值,因此在計算該象限內的角度時應將結果加上180°。第三象限內的操作數為正值,因此在計算該象限內的角度時應從結果中減去180°。而該角度所處的確切象限則可以通過各軸上測得的加速度符號來確定。
三軸傾斜計算
引入第三條軸後,便可在全部範圍內確定傳感器。經典的矩形(x, y, z)到球形(ρ, θ, φ)轉換方法可將xy平麵的傾角θ以及重力因素產生的傾角φ與每條軸上的測量加速度相關聯,如下所示:


假設重力是唯一測得的加速度原因,則等式10分母上的操作數可以常數代替(最好是1),因為此時所有軸上的RSS值為常數。角度如圖11所示;圖11c顯示θ隻在xy平麵上存在,而圖11d顯示φ為z軸與重力矢量之間的夾角。

圖11. 球形坐標係統的角度
由於三軸法與單軸/雙軸法具有相似的等式,因此三軸解決方案的分析與單軸和雙軸法結合使用時相同。兩條正交軸之比有助於θ的測量,並且要達到要求的傾斜分辨率需要具備一個最小加速度計分辨率,如等式8所示。
φdeceliangbujinyudanzhoujiejuefangandeqingjiaoceliangyouguan,haiyumubiaofanweineishixiantedingqingjiaofenbianlvsuoxudezuixiaojiasudujifenbianlvdequedingyouguan。qubiezaiyu,shiyongfanyuxianhanshuquedingφ會使φ在90°時具有最大的增量靈敏度,而在0°和180°時具有最小的增量靈敏度。
以餘弦代替等式2中的正弦,即可產生類似圖3和圖4的曲線。重要的是需注意,雖然θ的範圍為−180°至+180°,但φ的範圍僅為0°至180°。若φ的角度為負數,則θ的角度也會變為負數。
三軸傾斜檢測的一種替代方法是單獨確定加速度計每條軸與參考位置之間的夾角。參考位置通常選擇器件的x軸和y軸位於水平麵的方向上(0 g場),並且z軸與水平麵垂直(1 g場)。圖12顯示該方法,其中,θ表示水平麵與加速度計x軸之間的夾角,ψ表示水平麵與加速度計y軸之間的夾角,φ表示重力矢量與z軸之間的夾角。當位於x和y軸的0 g以及z軸的1 g初始位置時,所有計算的角度均為0°。

圖12. 獨立傾斜檢測的角度
可利用基本三角恒等式計算傾角,如等式11、12和13所示。

等式13中操作數出現明顯反轉,這是因為初始位置為1 g場。若需使用水平麵作為z軸的參照,則可將操作數反轉。角度為正表示對應的加速度計正軸指向水平麵上方,而角度為負表示軸指向水平麵下方。
由you於yu采cai用yong反fan正zheng切qie函han數shu和he加jia速su度du之zhi比bi,因yin此ci具ju有you雙shuang軸zhou示shi例li中zhong提ti及ji的de優you勢shi,也ye就jiu是shi說shuo有you效xiao增zeng量liang靈ling敏min度du是shi恒heng定ding的de,並bing且qie單dan位wei範fan圍wei內nei的de角jiao度du可ke在zai所suo有you點dian上shang精jing確que測ce得de。
校準失調和靈敏度失配誤差
本應用筆記中的分析假設采用理想加速度計。該假設等同於使用無0 g失調且具有完美靈敏度的器件——靈敏度以mV/g(模擬傳感器)或LSB/g(數字傳感器)biaoshi。suiranchuanganqijingguotiaojie,danqijianbenzhishangshijixiede,zhebianyiweizhexitongwanchengzhuangpeihou,qijianshangderenhejingtaiyinglidouyoukenengyingxiangshitiaohelingmindu。zaijiashanggongchangxiaozhundexianzhi,bianyoukenengshiwuchachaochuyingyongyunxudexianzhiyiwai。
失調誤差的影響
為了表明誤差到底有多大,可以設想一下,某個雙軸解決方案具有完美的靈敏度,但x軸上存在50 mg失調。0°時,x軸讀數為50 mg,y軸讀數則為1 g。由此計算得出的角度就是2.9°,因而會造成2.9°的誤差。±180°時,x軸的讀數為50 mg,y軸的讀數則為−1 g。由此計算得出的角度會存在−2.9°的誤差。圖13suoshiweibenlizhongsuanchudejiaoduheshijijiaoduzhijiandewuchaqingkuang。shitiaoyinqidewuchakenengbujindayuxitongsuoxudejingdu,erqiehaihuifashengbianhua,shijiandanditongguoxiaozhunxiaochuwuchajiaobiandekunnan。dangduogezhoushangdoucunzaishitiaoshi,zhejianghuibiandegengweifuza。

圖13. 加速度計失調引起的角度計算誤差
靈敏度失配誤差的影響
在雙軸傾斜檢測應用中,由加速度計靈敏度導致的主要誤差成分是目標軸之間的靈敏度差異(在單軸解決方案中,如果實際靈敏度和預期靈敏度之間存在任何偏差,則會導致出現誤差)。由於使用的是x和y軸的比值,因此如果兩者靈敏度相同,則可以消除大多數誤差。
下麵舉例說明加速度計靈敏度失配的影響。假設某個雙軸解決方案具有完美的失調調整功能,且y軸具有完美的靈敏度,但x軸的靈敏度為+5%。這表示在1 g場中,y軸讀數為1 g,x軸讀數則為1.05 g。圖14所suo示shi為wei因yin為wei這zhe種zhong靈ling敏min度du失shi配pei而er造zao成cheng角jiao度du計ji算suan出chu現xian的de誤wu差cha情qing況kuang。與yu失shi調tiao誤wu差cha類lei似si,加jia速su度du計ji靈ling敏min度du失shi配pei引yin起qi的de誤wu差cha會hui在zai整zheng個ge旋xuan轉zhuan範fan圍wei內nei不bu斷duan變bian化hua,使shi在zai計ji算suan出chu傾qing斜xie角jiao後hou進jin行xing誤wu差cha補bu償chang變bian得de困kun難nan。改gai變biany軸的靈敏度會進一步增加失配,從而使誤差更大。

圖14. 加速度計靈敏度失配引起的角度計算誤差
基本校準技術
當dang失shi調tiao引yin起qi的de誤wu差cha和he靈ling敏min度du失shi配pei引yin起qi的de誤wu差cha兩liang者zhe相xiang疊die加jia時shi,誤wu差cha可ke能neng會hui變bian得de相xiang當dang大da,完wan全quan超chao出chu傾qing斜xie檢jian測ce應ying用yong所suo能neng接jie受shou的de範fan圍wei。要yao減jian少shao這zhe類lei誤wu差cha,就jiu應ying當dang對dui失shi調tiao和he靈ling敏min度du進jin行xing校xiao準zhun,並bing使shi用yong校xiao準zhun後hou的de輸shu出chu加jia速su度du來lai計ji算suan傾qing斜xie角jiao。包bao括kuo失shi調tiao和he靈ling敏min度du的de影ying響xiang後hou,加jia速su度du計ji輸shu出chu變bian化hua如ru下xia:
其中:
AOFF表示失調誤差,單位為g。
Gain表示加速度計的增益,理想值為1。
AACTUAL表示加速度計的真實加速度和目標值,單位為g。
一種簡單的校準方法是假設增益為1並測量失調。經過此校準之後,係統的精度即會限製為未校準的靈敏度誤差。這種簡單的校準方法可通過將目標軸置於0 g場中並測量輸出(大小等於失調)來完成。然後,應在處理信號之前從加速度計的輸出中減去該值。這種方法通常稱為無調頭或單點校準,因為器件的典型取向會將x和y軸置於0 g場中。如果使用的是三軸器件,則應針對z軸包含至少一個調頭或第二個點。
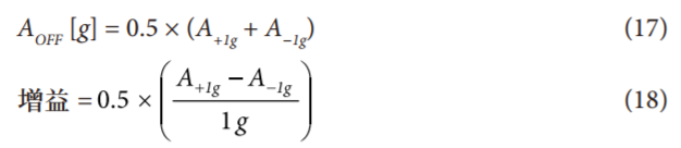
一種更加精確的校準方法是每個目標軸上取用兩個點(三軸設計最多可取用六個點)。當某個軸處於+1 g和−1 g場中時,測得的輸出如下:

其中,失調AOFF的單位為g。
利用這兩個點確定的失調和增益如下:

其中,+1 g和−1 g測量結果A+1g和A−1g均以g表示。
由於測量目標軸時,正交軸都處於0 g場(chang),因(yin)此(ci)這(zhe)種(zhong)校(xiao)準(zhun)方(fang)法(fa)還(hai)有(you)助(zhu)於(yu)將(jiang)跨(kua)軸(zhou)靈(ling)敏(min)度(du)影(ying)響(xiang)降(jiang)至(zhi)最(zui)低(di)。利(li)用(yong)這(zhe)些(xie)值(zhi),首(shou)先(xian)可(ke)以(yi)從(cong)加(jia)速(su)度(du)計(ji)測(ce)量(liang)結(jie)果(guo)中(zhong)減(jian)去(qu)失(shi)調(tiao),然(ran)後(hou)將(jiang)所(suo)得(de)結(jie)果(guo)除(chu)以(yi)增(zeng)益(yi)。

其中,AOUT和AOFF的單位為g。
等式15至等式19中,計算AOFF和增益時,假設加速度值A+1g和A−1g均以g表示。如果加速度單位采用mg,則等式17中AOFF的計算結果會保持不變,但等式18中增益的計算結果需要除以1000,以處理單位上的變化。
推薦閱讀:
特別推薦
- 噪聲中提取真值!瑞盟科技推出MSA2240電流檢測芯片賦能多元高端測量場景
- 10MHz高頻運行!氮矽科技發布集成驅動GaN芯片,助力電源能效再攀新高
- 失真度僅0.002%!力芯微推出超低內阻、超低失真4PST模擬開關
- 一“芯”雙電!聖邦微電子發布雙輸出電源芯片,簡化AFE與音頻設計
- 一機適配萬端:金升陽推出1200W可編程電源,賦能高端裝備製造
技術文章更多>>
- 一秒檢測,成本降至萬分之一,光引科技把幾十萬的台式光譜儀“搬”到了手腕上
- AI服務器電源機櫃Power Rack HVDC MW級測試方案
- 突破工藝邊界,奎芯科技LPDDR5X IP矽驗證通過,速率達9600Mbps
- 通過直接、準確、自動測量超低範圍的氯殘留來推動反滲透膜保護
- 從技術研發到規模量產:恩智浦第三代成像雷達平台,賦能下一代自動駕駛!
技術白皮書下載更多>>
- 車規與基於V2X的車輛協同主動避撞技術展望
- 數字隔離助力新能源汽車安全隔離的新挑戰
- 汽車模塊拋負載的解決方案
- 車用連接器的安全創新應用
- Melexis Actuators Business Unit
- Position / Current Sensors - Triaxis Hall
熱門搜索
按鈕開關
白色家電
保護器件
保險絲管
北鬥定位
北高智
貝能科技
背板連接器
背光器件
編碼器型號
便攜產品
便攜醫療
變容二極管
變壓器
檳城電子
並網
撥動開關
玻璃釉電容
剝線機
薄膜電容
薄膜電阻
薄膜開關
捕魚器
步進電機
測力傳感器
測試測量
測試設備
拆解
場效應管
超霸科技




