ADALM2000實驗:源極跟隨器(NMOS)
發布時間:2021-06-09 來源:Doug Mercer 和 Antoniu Miclaus 責任編輯:wenwei
【導讀】麵包板連接如圖1和圖2所示。波形發生器W1的輸出連接至M1的柵極端子。示波器輸入1+(單端)也連接至W1輸出。漏極端子連接至正極(Vp)電源。源極端子連接至2.2 kΩ負載電阻和示波器輸入2+(單端)。負載電阻的另一端連接至負極(Vn)電源。要測量輸入-輸出誤差,可以將2+連接至M1的柵極,2–連接至源極,以顯示示波器通道2的差值。
目標
本次實驗的目的是研究簡單的NMOS源極跟隨器,有時也稱為共漏極配置。
材料
● ADALM2000主動學習模塊
● 無焊麵包板
● 跳線
● 一個2.2 kΩ電阻 (RL)
● 一個小信號NMOS晶體管(M1采用增強模式CD4007或ZVN2110A)
說明
麵包板連接如圖1和圖2所示。波形發生器W1的輸出連接至M1的柵極端子。示波器輸入1+(單端)也連接至W1輸出。漏極端子連接至正極(Vp)電源。源極端子連接至2.2 kΩ負載電阻和示波器輸入2+(單端)。負載電阻的另一端連接至負極(Vn)電源。要測量輸入-輸出誤差,可以將2+連接至M1的柵極,2–連接至源極,以顯示示波器通道2的差值。

圖1.源極跟隨器。
硬件設置
波形發生器配置為1 kHz正弦波,峰峰值幅度為2 V,偏移為0。示波器通道2的單端輸入(2+)用於測量源極的電壓。示波器配置為連接通道1+以顯示AWG發生器輸出。在測量輸入-輸出誤差時,應連接示波器的通道2,以顯示2+和2–之間的差值。

圖2.源極跟隨器麵包板電路。
程序步驟
配置示波器以捕獲所測量的兩個信號的多個周期。產生的波形如圖3所示。

圖3.源極跟隨器的輸入和輸出波形。
源極跟隨器的增益(VOUT/VIN)理想值為1,但總是略小於1。增益由以下公式1計算得出:
從公式可以看出,要獲得接近1的增益,我們可以增大RL或減小rs。也可以看出,rs是ID的函數,ID增大,rs會減小。此外,從電路可以看出,ID與RL相關,如果RL增大,ID會hui減jian小xiao。在zai簡jian單dan的de電dian阻zu負fu載zai發fa射she極ji跟gen隨sui器qi中zhong,這zhe兩liang種zhong效xiao應ying相xiang互hu抵di消xiao。所suo以yi,要yao優you化hua跟gen隨sui器qi的de增zeng益yi,我wo們men需xu要yao找zhao到dao能neng在zai不bu影ying響xiang另ling一yi方fang的de情qing況kuang下xia降jiang低dirs或增大RL的方法。需要注意的是,在MOS晶體管中,ID = Is (IG = 0)。

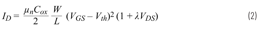
其中, K = μnCox/2 ,λ可以認為是與工藝技術相關的常數。
從另一個角度來看,因為晶體管Vth本身的DC偏移,在預期的擺幅內輸入和輸出之間的差值應是恒定的。受簡單的電阻負載RL影響,漏電流ID會隨著輸出上下擺動而升高和降低。我們知道ID是VGS的函數(平方關係)。以+1 V至-1 V的擺幅為例,最小ID = 1 V/2.2 kΩ或0.45 mA,最大ID = 6 V/2.2 kΩ或2.7 mA。因此VGS會發生明顯變化。根據這些實驗結果,我們能從一個方麵改善源極跟隨器。
現在可以使用先前學子專區 實shi驗yan中zhong的de電dian流liu鏡jing來lai代dai替ti源yuan負fu載zai電dian阻zu,以yi使shi放fang大da器qi晶jing體ti管guan的de源yuan極ji電dian流liu固gu定ding不bu變bian。電dian流liu鏡jing能neng在zai寬kuan電dian壓ya範fan圍wei內nei獲huo取qu較jiao為wei恒heng定ding的de電dian流liu。晶jing體ti管guan中zhong這zhe種zhong較jiao為wei恒heng定ding的de電dian流liu會hui導dao致zhiVGS相當恒定。從另一個角度來看,電流鏡中極高的輸出電阻可以有效提高RL,但rs保持為電流設定的低值。
加強源極跟隨器
附加材料
● 一個3.2 kΩ電阻(將1 kΩ和2.2 kΩ電阻串聯)
● 一個小信號NMOS晶體管(M1采用ZVN2110A)
● 兩個小信號NMOS晶體管(M2和M3采用CD4007)
說明
麵包板連接如圖4和圖5所示。

圖4.加強源極跟隨器。
硬件設置
波形發生器配置為1 kHz正弦波,峰峰值幅度為2 V,偏移為0。示波器通道2的單端輸入(2+)用於測量源極的電壓。示波器配置為連接通道1+以顯示AWG發生器輸出。在測量輸入-輸出誤差時,應連接示波器的通道2,以顯示2+和2–之間的差值。

圖5.加強源極跟隨器麵包板電路。
程序步驟
配置示波器以捕獲所測量的兩個信號的多個周期。產生的波形如圖6所示。

圖6.加強源極跟隨器波形。
源極跟隨器輸出阻抗
目標
源極跟隨器的一個重要方麵是提供功率或電流增益,即從高電阻(阻抗)級驅動低電阻(阻抗)負載。因此,測量源極跟隨器的輸出阻抗具有指導意義。
材料
● 一個4.7 kΩ電阻
● 一個10 kΩ電阻
● 一個小信號NMOS晶體管(M1采用CD4007或ZVN2110A)
說明
圖7和圖8中的電路配置增加了一個電阻R2,將來自AWG1的測試信號注入M1的發射極(輸出)。輸入端(M1的基極)接地。

圖7.輸出阻抗測試。
硬件設置
波形發生器配置為1 kHz正弦波,峰峰值幅度為2 V,偏移為減去M1的VGS(約為–V)。這會將±0.1 mA (1 V/10 kΩ)電流注入M1的源極。示波器輸入2+測量源極電壓的變化。

圖8.輸出阻抗測試麵包板電路。
程序步驟
繪製在源極處測得的電壓幅度。配置示波器以捕獲所測量的兩個信號的多個周期。產生的波形如圖9所示。

圖9.輸出阻抗測試波形。
免責聲明:本文為轉載文章,轉載此文目的在於傳遞更多信息,版權歸原作者所有。本文所用視頻、圖片、文字如涉及作品版權問題,請聯係小編進行處理。
推薦閱讀:
特別推薦
- 噪聲中提取真值!瑞盟科技推出MSA2240電流檢測芯片賦能多元高端測量場景
- 10MHz高頻運行!氮矽科技發布集成驅動GaN芯片,助力電源能效再攀新高
- 失真度僅0.002%!力芯微推出超低內阻、超低失真4PST模擬開關
- 一“芯”雙電!聖邦微電子發布雙輸出電源芯片,簡化AFE與音頻設計
- 一機適配萬端:金升陽推出1200W可編程電源,賦能高端裝備製造
技術文章更多>>
- 築基AI4S:摩爾線程全功能GPU加速中國生命科學自主生態
- 一秒檢測,成本降至萬分之一,光引科技把幾十萬的台式光譜儀“搬”到了手腕上
- AI服務器電源機櫃Power Rack HVDC MW級測試方案
- 突破工藝邊界,奎芯科技LPDDR5X IP矽驗證通過,速率達9600Mbps
- 通過直接、準確、自動測量超低範圍的氯殘留來推動反滲透膜保護
技術白皮書下載更多>>
- 車規與基於V2X的車輛協同主動避撞技術展望
- 數字隔離助力新能源汽車安全隔離的新挑戰
- 汽車模塊拋負載的解決方案
- 車用連接器的安全創新應用
- Melexis Actuators Business Unit
- Position / Current Sensors - Triaxis Hall
熱門搜索





