淺談局部放電測量
發布時間:2021-09-03 來源:陳嘉騰 責任編輯:wenwei
【導讀】gonglvbandaotizaishijixitongyingyongzhonghuipengdaogezhongwenti,youxiewentixuyaoshejijingyanjileizongjie,youxiejingdianwentiyijingxierulejiaokeshu,youxiewentihaishixueshuyanjiufanchou,huanyingduzhejianggongzuohexuexizhongdetihuixiechulaifenxiang。
局部放電現象和危害
局部放電是僅發生在絕緣體中的一部分區域的放電。這些放電也可能發生在電極上,但也可能是“無電極”發生在電場空間。局部放電會發生在:氣體,液體和固體中。在發生局部放電時,不但會產生損耗,其產生的高能電子和UV輻射會對周圍的絕緣材料造成損壞。
不同的絕緣介質,局部放電會產生老化損害是不一樣的:
■ 沒有損害:流動的空氣,天然物質例如玻璃雲母;
■ 輕微損害:密閉氣體絕緣例如SF6,空氣;
■ 中度損害:油紙絕緣(變壓器,DF)鑄造樹脂;
■ 嚴重損害:PE,VPE,幾乎所有塑料。
在局部放電對絕緣體造成輕微至嚴重損害的情況下,對它的測量變得尤為重要。
局部放電機理
■ 局部場強增加到絕緣介質的電氣強度以上;
■局部較低的電氣強度(例如,澆鑄樹脂中的空隙)。

電暈放電
電dian暈yun放fang電dian是shi由you氣qi體ti和he液ye體ti中zhong局ju部bu過guo強qiang的de電dian場chang強qiang度du引yin起qi的de放fang電dian。它ta們men主zhu要yao發fa生sheng在zai尖jian端duan,邊bian緣yuan和he細xi導dao體ti上shang。由you於yu它ta們men通tong常chang出chu現xian在zai外wai輪lun廓kuo上shang,因yin此ci由you於yu其qi典dian型xing的de輝hui光guang和he裂lie紋wen而er易yi於yu檢jian測ce。
沿麵放電
它產生的起因是電極上發生電暈放電。
分層材料中的放電
它是沿麵放電的另一種形式。在各個材料邊界層會產生局部過高的電壓,從而導致局部放電。
氣隙放電
氣隙放電是由絕緣材料中的氣泡或具有不同介電常數的汙染物質所引起。
樹狀通道
固體或液體絕緣材料持續局部放電會形成樹狀導電通道對絕緣體造成永久性損害。
氣隙放電
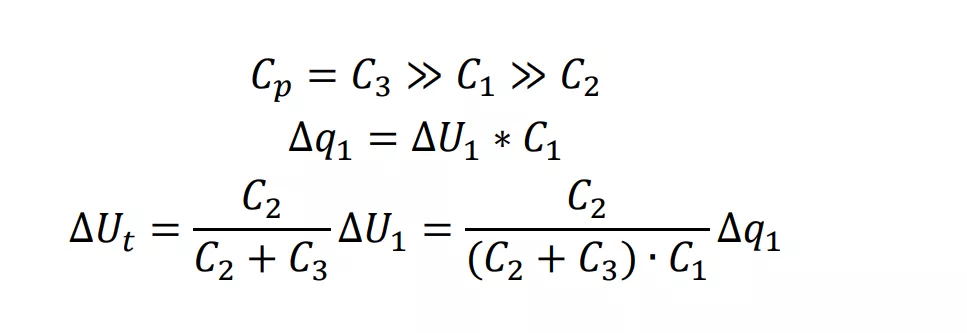
其qi中zhong氣qi隙xi放fang電dian是shi由you絕jue緣yuan材cai料liao中zhong的de故gu障zhang引yin起qi的de,例li如ru由you變bian壓ya器qi油you裏li的de氣qi泡pao或huo具ju有you不bu同tong介jie電dian常chang數shu的de汙wu染ran物wu質zhi。整zheng個ge待dai測ce絕jue緣yuan體ti的de電dian容rong由you氣qi泡pao空kong腔qiang電dian容rongC1與剩餘絕緣距離C2的電容串聯並且和無故障絕緣體C3的電容並聯構成。其中由於麵積不同,C3遠大於C1,由於介電常數不同,C1遠大於C2。在發生局部放電時空腔內的電壓降ΔU1是千伏等級,由於C2很小,在絕緣體兩端的電壓降ΔUt隻有毫伏等級,所以很難測量。在實際測量過程中我們使用耦合電容的方式來精確測量。
局部放電測量可以在不損壞樣品的情況下測量絕緣質量。


如下圖所示,考慮正弦的端電壓U。一旦電壓U1超過氣泡空腔內的電場放電所需電壓閾值Uz時,C1通過電火花放電降到Ul電壓。C2的位移電流可能還會把C1重新充電,因此在電壓的半個周期內根據電壓的高低不同可能會產生多次局部放電。

測試方法
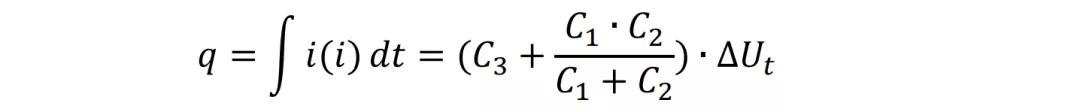
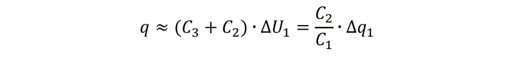
理li想xiang情qing況kuang下xia我wo們men假jia設she耦ou合he的de電dian容rong遠yuan大da於yu被bei測ce絕jue緣yuan體ti的de電dian容rong,被bei測ce絕jue緣yuan體ti發fa生sheng局ju部bu放fang電dian時shi在zai其qi兩liang端duan的de端duan子zi發fa生sheng相xiang對dui於yu電dian源yuan非fei常chang小xiao的de電dian壓ya降jiang,其qi立li刻ke會hui被bei耦ou合he電dian容rong補bu償chang。因yin此ci在zai耦ou合he電dian容rong和he待dai測ce絕jue緣yuan體ti電dian容rong之zhi間jian會hui流liu經jing高gao頻pin電dian流liu,通tong過guo對dui流liu經jing耦ou合he電dian容rong的de電dian流liu進jin行xing積ji分fen,得de到dao流liu入ru絕jue緣yuan體ti的de電dian荷he量liang:視在放電量。通過C1,C2折算得到絕緣體內通過局放消耗掉的電量q1,可以注意到C2比C1小,因此視在放電量對比q1很小。
對於Ck>>Ct有:

當C1>>C2有:

局部放電測量的接線圖如下圖所示,測試電流為工頻交流電。Ct(Cp)為待測物體等效的電容,Cp為耦合電容。

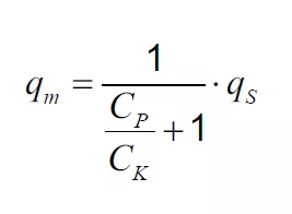
在(zai)實(shi)際(ji)應(ying)用(yong)測(ce)試(shi)時(shi),耦(ou)合(he)電(dian)容(rong)不(bu)會(hui)無(wu)窮(qiong)大(da),通(tong)常(chang)它(ta)約(yue)等(deng)於(yu)測(ce)試(shi)絕(jue)緣(yuan)體(ti)的(de)電(dian)容(rong),它(ta)隻(zhi)會(hui)補(bu)償(chang)一(yi)部(bu)分(fen)發(fa)生(sheng)在(zai)被(bei)測(ce)端(duan)的(de)電(dian)壓(ya)降(jiang)。在(zai)這(zhe)種(zhong)情(qing)況(kuang)下(xia)測(ce)量(liang)到(dao)的(de)電(dian)荷(he)會(hui)比(bi)視(shi)在(zai)電(dian)荷(he)量(liang)小(xiao),因(yin)此(ci)我(wo)們(men)必(bi)須(xu)在(zai)實(shi)驗(yan)開(kai)始(shi)前(qian)對(dui)儀(yi)器(qi)進(jin)行(xing)校(xiao)準(zhun),確(que)定(ding)測(ce)量(liang)的(de)電(dian)荷(he)qm和視在電荷qs的比值。

電流積分
為了將解耦的電流脈衝轉換為電荷值,需要對其進行積分。這可以通過兩種不同的方式完成:時域積分和頻域積分
頻域積分
一般要對電流進行積分我們可以使用一個RC低通濾波器,然而它不能避開50Hz交流電流帶來的幹擾,所以我們會用一個帶通濾波器對電流頻譜密度相對平坦的區域進行積分。寬帶局放測量設備通常在10至100kHz的頻帶內進行測量。一些窄帶寬濾波器用於頻域中的積分。有些局放測量設備可以調節為窄帶寬很小的帶通濾波器(IEC60270標準中推薦中心頻率50kHz≤fm≤1MHz,帶寬9kHz≤Δf≤1MHz),以便可以將檢測範圍設置為任何頻率範圍,來避開特定幹擾頻率。

局放電流脈衝在時域和頻域
danzhaidaikuanceliangdequedianshimaichongxiaoyinshijianchang。ruguolianggejufangmaichongjinjingensuizaiyiqi,zezhiyouzaijiluqianyigemaichongzhendangwanzhihou,cainengzhengquediergemaichong。ruguozaidaitongrengzaizhendangshidiergemaichongdaoda,zelianggebutongxiangweimaichongxiangyingjiangdiejiazaishuchushang,zhekenengdaozhisuihoudefengzhichanshengceliangwucha。youyudaitonglvboqideshuaijianshijianyudaikuandazhichengfanbi,yincizaizhaidaicelianghuizaidianliuxinhaoshangshenghenkuaideqingkuangxiachanshengwucha。zhezhongzhaidaikuanceliangdelingyidaquedingshiwufafenbiejufangmaichongdezhengfuji。ruxiatu:

左圖,右圖分別是窄帶寬測量和寬帶寬測量的脈衝響應
時域積分
過對時域內的電流脈衝進行積分相當於使用寬帶寬測量。根據IEC 60270:2001,使用100-400kHz之間的帶寬進行測量。現代的局放測量設備可在高達MHz的de帶dai寬kuan範fan圍wei內nei工gong作zuo。但dan是shi如ru果guo測ce試shi環huan境jing不bu進jin行xing電dian磁ci屏ping蔽bi,可ke能neng會hui有you無wu線xian電dian幹gan擾rao耦ou合he到dao測ce量liang信xin號hao中zhong造zao成cheng誤wu差cha。寬kuan帶dai測ce量liang可ke以yi從cong局ju放fang脈mai衝chong中zhong獲huo取qu有you關guan絕jue緣yuan材cai料liao各ge個ge部bu位wei老lao化hua更geng詳xiang細xi的de信xin息xi。與yu窄zhai帶dai測ce量liang設she備bei相xiang比bi,在zai時shi域yu積ji分fen的de局ju放fang電dian荷he測ce量liang設she備bei對dui頻pin譜pu沒mei有you任ren何he特te殊shu要yao求qiu。由you於yu帶dai寬kuan大da,這zhe些xie設she備bei有you非fei常chang好hao的de脈mai衝chong分fen辨bian率lv。
耦合方式
參照IEC 60270通過耦合電容測試局部放電的方法可以有直接測量法,間接測量法和差分測量法,分別對應下圖:
間接測量法和差分測量法



可以發現間接測量時耦合裝置和耦合電容串聯,在樣品損壞時耦合裝置不會被破壞,然而它的靈敏度相較於直接測量(耦合裝置和待測絕緣體串聯)較低。但當測試樣品擊穿時,使用直接測量更可能會損壞耦合裝置。
實際測量
我(wo)們(men)的(de)實(shi)驗(yan)中(zhong)采(cai)用(yong)間(jian)接(jie)測(ce)量(liang)方(fang)式(shi),采(cai)用(yong)頻(pin)域(yu)積(ji)分(fen)。在(zai)測(ce)量(liang)前(qian)對(dui)不(bu)同(tong)中(zhong)心(xin)頻(pin)率(lv)和(he)帶(dai)寬(kuan)進(jin)行(xing)調(tiao)試(shi)使(shi)得(de)基(ji)本(ben)噪(zao)聲(sheng)水(shui)平(ping)維(wei)持(chi)較(jiao)低(di)水(shui)平(ping)。每(mei)次(ci)更(geng)換(huan)待(dai)測(ce)樣(yang)品(pin)需(xu)要(yao)重(zhong)新(xin)校(xiao)準(zhun)測(ce)量(liang)的(de)電(dian)荷(he)qm和視在電荷qs的比值。待測樣品被汙染的絕緣油的平板電容器,其主要表現為由於雜質或氣泡引起的氣隙局部放電。
有缺陷的平板電容器局放
基本噪聲水平:QIEC=4.3pC
局放起始時電壓有效值:UTEE=8.8kV
下圖中綠線為測試電壓波形。當電壓有效值達到8.8kV時,待測樣品在電壓負半周開始出現局部放電。當電壓有效值達到10kV時,待測樣品在電壓負半周出現局部放電的次數增多。

局放在10kV

IGBT模塊的局放
IGBT模塊的結構如圖所示,是絕緣型器件,電壓等級從600V到6500V不等,3300V以上的電壓等級,需要考核局部放電。
在IGBT模塊結構中,芯片焊在覆銅的陶瓷襯底DCB上,陶瓷襯底DCB焊在基板上。在模塊腔體內有矽膠填充。
由此可見,IGBT模塊中有三個介電係統:
1.絕緣用陶瓷襯底,常見的為Al2O3和AIN
2.填充用矽膠,其作用是防止模塊內部局部放電和擊穿
3.陶瓷襯底和矽膠的界麵

在(zai)模(mo)塊(kuai)中(zhong),局(ju)部(bu)放(fang)電(dian)現(xian)象(xiang)主(zhu)要(yao)出(chu)現(xian)在(zai)絕(jue)緣(yuan)材(cai)料(liao)中(zhong)的(de)氣(qi)泡(pao)或(huo)具(ju)有(you)不(bu)同(tong)介(jie)電(dian)常(chang)數(shu)的(de)汙(wu)染(ran)物(wu)質(zhi),高(gao)壓(ya)模(mo)塊(kuai)需(xu)要(yao)采(cai)用(yong)局(ju)部(bu)放(fang)電(dian)測(ce)量(liang)來(lai)衡(heng)量(liang)可(ke)靠(kao)性(xing)和(he)壽(shou)命(ming)。
模塊中尖——板結構
在IGBT模塊中,由於DCBdefutongcengdebianyuanchuchangqiangjiaogao,qineibudejubufangdianchuyutaocijibanhetongjibandejiaojiebianyuanchu。zaimokuaizhonghuitianchongguijiaozuoweijueyuanjiezhi,qijiedianqiangdugaoda15X106V/mm,可以降低局放的影響,而且它使得模塊在沒有局放時具有一定的自愈能力,但無法恢複由於持續局放產生的永久損害。

通常可以通過改善DCB的銅層邊緣來控製場強或優化絕緣介質,抬高局放起始電壓最終達到降低局部放電進而提高模塊可靠性和壽命的目的。
模塊中氣隙放電
DCB板中的絕緣材料Al2O3和AIN都會存在氣泡或具有不同介電常數的汙染物質,其是造成局放的原因。

局放是高壓功率模塊的重要指標,會在數據手冊上標明,指標是這樣給出的:
英飛淩FZ600R65KE3,600A 6500V IGBT局部放電停止電壓,VISOL=5.1kV RMS,50Hz此時QPD典型值為10pC。意思是當檢測到通過局放的電荷量小於10pC時可以認為局部放電停止,根據經驗低於10pC的局部放電不會對絕緣係統造成有害影響,此時的電壓有效值為5.1kV。局放停止電壓必須高於工作電壓,這確保了器件達到工作電壓時由於電壓尖峰引起的局放可以再次熄滅。
參考文獻
[1] Adolf J. Schwab, Hochspannungsmesstechnik – Messgeräte und Messverfahren,
2. Auflage, Springer Verlag 1981
[2] Energietechnische Praktikum ETI / IEH, Versuch Nr. 4 Diagnostik elektrischer Betriebsmittel Karlsruher Institut für Technologie 2021
[3] DIN EN 60270, Hochspannungs-Prüftechnik – Teilentladungsmessungen
März 2001
[4] 王昭,劉曜寧,高壓IGBT模塊局部放電研究現狀,電子元件與材料10.2017
來源:英飛淩工業半導體,作者:陳嘉騰 德國卡爾斯魯厄理工學院 碩士生
免責聲明:本文為轉載文章,轉載此文目的在於傳遞更多信息,版權歸原作者所有。本文所用視頻、圖片、文字如涉及作品版權問題,請聯係小編進行處理。
推薦閱讀:
特別推薦
- 噪聲中提取真值!瑞盟科技推出MSA2240電流檢測芯片賦能多元高端測量場景
- 10MHz高頻運行!氮矽科技發布集成驅動GaN芯片,助力電源能效再攀新高
- 失真度僅0.002%!力芯微推出超低內阻、超低失真4PST模擬開關
- 一“芯”雙電!聖邦微電子發布雙輸出電源芯片,簡化AFE與音頻設計
- 一機適配萬端:金升陽推出1200W可編程電源,賦能高端裝備製造
技術文章更多>>
- 一秒檢測,成本降至萬分之一,光引科技把幾十萬的台式光譜儀“搬”到了手腕上
- AI服務器電源機櫃Power Rack HVDC MW級測試方案
- 突破工藝邊界,奎芯科技LPDDR5X IP矽驗證通過,速率達9600Mbps
- 通過直接、準確、自動測量超低範圍的氯殘留來推動反滲透膜保護
- 從技術研發到規模量產:恩智浦第三代成像雷達平台,賦能下一代自動駕駛!
技術白皮書下載更多>>
- 車規與基於V2X的車輛協同主動避撞技術展望
- 數字隔離助力新能源汽車安全隔離的新挑戰
- 汽車模塊拋負載的解決方案
- 車用連接器的安全創新應用
- Melexis Actuators Business Unit
- Position / Current Sensors - Triaxis Hall
熱門搜索






