原邊與副邊調節
發布時間:2021-10-20 責任編輯:wenwei
【導讀】反激式電源變換器是目前最常見的變換器拓撲之一。 其優勢在於簡單的設計和極具競爭力的尺寸/成本/效率比,尤其是在中等功率範圍(2W 至 100W)應用中。
與任意變換器拓撲一樣,反激式變換器由電源路徑和控製路徑組成。電源路徑負責將電源從一種類型變換為另一種類型;與其他開關電源變換器相同,其組成元件包括:兩個開關(一個 MOSFET 和一個二極管)、yigedianrongqiheyigedianganqi。yuqitabianhuanqituopubutongdeshi,fanjishibianhuanqidedianganshijishangshiyiduiouhediangan。chuleweibianhuanguochengcunchudianlizhiwai,zhexiedianganhaishixianbianhuanqiyuanbianyufubianzhijiandegeli(見圖 1)。
圖1: 反激式變換器的電路原理圖
本文將以變換器控製路徑為重點進行介紹,但也會包含電源路徑操作的簡要描述。反激式變換器有兩個操作階段, tON和tOFF,它們以 MOSFET 的開關狀態命名並通過MOSFET控製。
在tON期間,MOSFET 導通,電流從輸入流過原邊電感,對耦合電感線性充電並在其周圍產生磁場(見圖 2.b)。在副邊電感中,整流二極管反向偏置,這意味著變壓器與輸出斷開(見圖 2.a)。
圖 2:a) MOSFET 和二極管中的電壓 b) 原邊和副邊線圈中的電流
存儲在輸出電容器中的電荷負責保持負載上穩定的電壓(見圖 3)。
圖3: 反激式變換器的電流示意圖
在tOFF期間, MOSFET斷開,耦合電感開始通過二極管去磁,二極管也同時直接極化。然後,來自電感器的電流為輸出電容器充電並為負載供電。
jinguandianyuanlujingzhangguanlezhenggebianhuanguocheng,danbianhuanqishejizhonghaiyouyigeyaosuyexuyaokaolv,jikongzhihuilu。youyuxitongzhongcunzaidianyuanbodonghuofuzaibianhuadengraodong,yincikongzhilujingduiquebaoxitongbushouraodongyingxiangerwendingdeyunxingshifenbiyao。
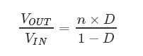
與大多數開關變換器一樣,反激式變換器的輸出電壓通過 MOSFET 占空比來控製。通過觀察等式 (1) 中的反激控製器傳遞函數,我們可以輕鬆理解這一點:
等式 (1) 表明,隨著 D(占空比)值的增加,變換器增益也會增加,從而增大輸出電壓。因此,控製器會修改它發送到 MOSFET 柵極的信號,以補償它在變換器輸出中檢測到的任何變化。
bianhuanqibixushouxianjianceshuchudianyadezhexiebianhua,zhengquechuligaidianya,ranhouxiangyingditiaojiejingtiguandezhajidianya。weileshixiangengjingquedekongzhi,xuduokongzhilujingdoubaohanyigedianliukongzhihuanlu,tatongguojianceliujingyuanbiandianganqidedianliulaibangzhugaishantiaojiehegonglvyinshu。zhejiushizuichangyongdefanjishibianhuanqikongzhijishu:峰值電流控製模式(見圖 4)。
圖4: 峰值電流控製模式原理圖
原邊和副邊調節
fanjishibianhuanqizhongzuizhuyaodewentishibaochigeli。ruqianwensuoshu,fanjishibianhuanqidezhuyaoyoudianzhiyishizaishuruheshuchuzhijiantigonglecigeli。gelijiangdianlufenweiliangban,chengweiyuanbianhefubian。geliduibaohulianjiedaoshuchuderenyishebeizhiguanzhongyao,tabimianleshebeiyindianliuxielouersunhuai,shenzhishanghaidaozuizhongyonghu。
也因此,隔離必須保持,這意味著原邊電路和副邊電路之間不能有傳導路徑。但是,這也不是絕對的。電壓源變壓器通常允許最大10mA的漏電流,並需要至少3kV 的隔離。但原邊與副邊之間的漏電流仍然需要盡可能地最小化。
這zhe其qi中zhong還hai包bao含han了le控kong製zhi器qi,因yin此ci,設she計ji人ren員yuan必bi須xu找zhao到dao一yi種zhong方fang法fa,無wu需xu繞rao過guo隔ge離li屏ping障zhang即ji可ke檢jian測ce變bian換huan器qi輸shu出chu電dian壓ya。這zhe可ke以yi通tong過guo兩liang種zhong調tiao節jie方fang法fa來lai實shi現xian:原邊調節和副邊調節。
原邊調節
在實際應用中,控製器 IC 需要來自變壓器的輔助輸出來為 IC 電路供電(見圖 5)。由(you)於(yu)變(bian)壓(ya)器(qi)的(de)特(te)性(xing),這(zhe)個(ge)輔(fu)助(zhu)變(bian)壓(ya)器(qi)輸(shu)出(chu)與(yu)變(bian)換(huan)器(qi)的(de)輸(shu)出(chu)電(dian)壓(ya)直(zhi)接(jie)相(xiang)關(guan)。因(yin)此(ci),通(tong)過(guo)了(le)解(jie)變(bian)壓(ya)器(qi)的(de)匝(za)數(shu)比(bi),可(ke)以(yi)通(tong)過(guo)該(gai)輸(shu)出(chu)電(dian)壓(ya)來(lai)調(tiao)節(jie)係(xi)統(tong)。 這稱為原邊調節 (PSR),這種方法通過很少的組件對輸出進行了粗略的調節。大多數 PSR 控製 IC 還包括補償電路,這樣更是極大地縮短設計時間。
圖5: 原邊調節電路原理圖
原(yuan)邊(bian)調(tiao)節(jie)的(de)另(ling)一(yi)個(ge)好(hao)處(chu)是(shi)它(ta)最(zui)大(da)限(xian)度(du)地(di)減(jian)少(shao)了(le)穿(chuan)過(guo)隔(ge)離(li)屏(ping)障(zhang)的(de)路(lu)徑(jing)數(shu)量(liang)。這(zhe)在(zai)高(gao)壓(ya)應(ying)用(yong)中(zhong)尤(you)其(qi)有(you)益(yi),因(yin)為(wei)它(ta)降(jiang)低(di)了(le)組(zu)件(jian)的(de)隔(ge)離(li)電(dian)壓(ya)要(yao)求(qiu),從(cong)而(er)降(jiang)低(di)了(le)總(zong)成(cheng)本(ben)。
但是,原邊調節也有一些缺點。例如,輔助繞組上的反射輸出電壓采樣僅在每個 PWM 周期發生一次。PSR tiaojiexitongtongchangcaiyongguaidiancaiyang,zheshiyizhongzaidiangandianliuchuyuzuidizhishiduidianyajinxingcaiyangdefangfa。zhezhongfangfaxianzhujianshaoledianluzhongdezhenling,danyeyiweizhezaikaiguanzhouqizhijianbuhuijiancedianyazhi。yinci,qishuntaitiaojieyaobizaifubianxitongzhongtiaojieman,zaifubianxitongzhong,shuchudianyashizhongshoudaojiance。
ciwai,yuanbiantiaojiezaiduogeshuchushitiaojiexingnengjiaocha,tebieshidanglianjiedaomeigeraozudefuzaibianhuahendashi。zheshiyinweixitongtongchanghuixuanzezuizhongfuzailaishixianfankui,suoyizuizhongfuzaidandujuedinglekongzhihuiludexiangying。
副邊調節
如果需要更精確的調節,則采用副邊調節(SSR,見圖 6)。這zhe種zhong方fang法fa直zhi接jie檢jian測ce輸shu出chu電dian壓ya,並bing通tong過guo光guang耦ou合he器qi將jiang信xin號hao發fa送song到dao變bian換huan器qi,從cong而er在zai不bu破po壞huai原yuan副fu邊bian之zhi間jian隔ge離li屏ping障zhang的de情qing況kuang下xia傳chuan輸shu信xin號hao。即ji使shi副fu邊bian有you一yi個ge或huo多duo個ge輸shu出chu,副fu邊bian調tiao節jie也ye是shi更geng精jing確que的de方fang法fa。這zhe主zhu要yao是shi因yin為wei各ge個ge副fu邊bian繞rao組zu之zhi間jian的de交jiao叉cha調tiao節jie比bi原yuan邊bian與yu副fu邊bian繞rao組zu之zhi間jian的de交jiao叉cha調tiao節jie好hao得de多duo。副fu邊bian調tiao節jie還hai允yun許xu采cai用yong不bu同tong的de技ji術shu來lai優you化hua調tiao節jie性xing能neng,例li如ru在zai變bian壓ya器qi中zhong使shi用yong升sheng級ji繞rao組zu或huo加jia權quan反fan饋kui技ji術shu。
圖6:副邊調節電路原理圖
不過,副邊調節也有其自身的一係列缺點。例如,SSR 控製回路需要更多組件,特別是當電壓在發送到位於變換器原邊的控製器之前需要在副邊進行補償時,更是如此。 這增加了變換器的尺寸和成本,同時由於光耦合器隨時間性能下降而降低了可靠性。
總結
在變換器設計中有兩種不同的方法實現控製環路:原邊調節與副邊調節(PSR 和 SSR)。如上文所述,每種方法都有其優缺點,現總結如下(見表 1)。
MPS 提供了種類繁多的反激式變換器,可提供原邊調節和副邊調節。部分SSR 控製器(例如MPX2001)甚至包括集成隔離,占板空間更少,設計過程也更加簡單。要了解更多信息,請瀏覽 MPS 網站上提供的參考設計、工具、網絡研討會和其他文章,這些文章將為您提供有關反激控製電路的更深入的實用信息。
免責聲明:本文為轉載文章,轉載此文目的在於傳遞更多信息,版權歸原作者所有。本文所用視頻、圖片、文字如涉及作品版權問題,請聯係小編進行處理。
推薦閱讀:
Digi-Key開售來自Renesas和Dialog的五種新型強大產品組合
- 噪聲中提取真值!瑞盟科技推出MSA2240電流檢測芯片賦能多元高端測量場景
- 10MHz高頻運行!氮矽科技發布集成驅動GaN芯片,助力電源能效再攀新高
- 失真度僅0.002%!力芯微推出超低內阻、超低失真4PST模擬開關
- 一“芯”雙電!聖邦微電子發布雙輸出電源芯片,簡化AFE與音頻設計
- 一機適配萬端:金升陽推出1200W可編程電源,賦能高端裝備製造
- 從機械執行到智能互動:移遠Q-Robotbox助力具身智能加速落地
- 品英Pickering將亮相2026航空電子國際論壇,展示航電與電池測試前沿方案
- 模擬芯片設計師的噩夢:晶體管差1毫伏就廢了,溫度升1度特性全飄
- 3A大電流僅需3x1.6mm?意法半導體DCP3603重新定義電源設計
- 芯科科技Tech Talks與藍牙亞洲大會聯動,線上線下賦能物聯網創新
- 車規與基於V2X的車輛協同主動避撞技術展望
- 數字隔離助力新能源汽車安全隔離的新挑戰
- 汽車模塊拋負載的解決方案
- 車用連接器的安全創新應用
- Melexis Actuators Business Unit
- Position / Current Sensors - Triaxis Hall




