二極管動態電阻≠直流電阻,不要傻傻分不清楚
發布時間:2015-01-09 責任編輯:sherryyu
【導讀】很(hen)多(duo)電(dian)子(zi)工(gong)程(cheng)師(shi)會(hui)問(wen)二(er)極(ji)管(guan)重(zhong)動(dong)態(tai)與(yu)直(zhi)流(liu)電(dian)阻(zu)到(dao)底(di)有(you)什(shen)麼(me)關(guan)係(xi),又(you)有(you)什(shen)麼(me)區(qu)別(bie)?這(zhe)是(shi)很(hen)多(duo)人(ren)分(fen)不(bu)清(qing)楚(chu)的(de),其(qi)實(shi)直(zhi)流(liu)電(dian)阻(zu)是(shi)二(er)極(ji)管(guan)在(zai)一(yi)定(ding)伏(fu)安(an)特(te)性(xing)上(shang),某(mou)一(yi)點(dian)端(duan)電(dian)壓(ya)與(yu)其(qi)電(dian)流(liu)的(de)比(bi)值(zhi)。那(na)麼(me)二(er)極(ji)管(guan)中(zhong)直(zhi)流(liu)電(dian)阻(zu)和(he)動(dong)態(tai)電(dian)阻(zu)之(zhi)間(jian)有(you)什(shen)麼(me)區(qu)別(bie)呢(ne)?
二er極ji管guan經jing常chang在zai電dian路lu中zhong被bei用yong作zuo整zheng流liu之zhi用yong。作zuo為wei一yi種zhong非fei線xian性xing器qi件jian,其qi對dui直zhi流liu與yu直zhi流liu之zhi間jian的de等deng效xiao電dian阻zu的de反fan應ying也ye是shi不bu同tong的de。而er直zhi流liu電dian阻zu是shi二er極ji管guan在zai一yi定ding伏fu安an特te性xing上shang,某mou一yi點dian端duan電dian壓ya與yu其qi電dian流liu的de比bi值zhi。那na麼me二er極ji管guan中zhong直zhi流liu電dian阻zu和he動dong態tai電dian阻zu之zhi間jian有you什shen麼me區qu別bie呢ne?

(a) 電路

(b) 二極管伏安特性和工作點Q

(c) 二極管的直流電阻
圖1
在直流電源V的作用下,對應於二極管電流ID和二極管兩端電壓UD的點稱為靜態工作點,該點對應的直流電阻為:

動態電阻是在一個固定的直流電壓和電流(即靜態工作點Q)的基礎上,由交流信號ui引起特性曲線,在Q點附近的一小段電壓和電流的變化產生的。若該交流信號ui是低頻,而且幅度很小(通常稱低頻小信號),則由此引起的電流變化量也很小,這一小段特性曲線可以用通過Q點的切線來等效。

(a) 電路

(b) 二極管伏安特性

(c) 二極管的動態電阻
圖2
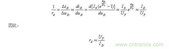
若在Q點的基礎上外加微小的低頻信號,二極管兩端產生的電壓變化量和電流變化量如圖2(b)中所標注,則此時的二極管可等效成一個動態電阻rd,根據二極管的電流方程可得:

可得:

ID為靜態電流,常溫下UT=26mV。可知,靜態電流ID越大,rd將越小。設UD=0.7V時,ID=2mA。由此可得直流電阻RD=350,而動態電阻(交流電阻)為:

可見二者相差甚遠,切不可混淆。
通過前文的講解和計算,相信大家對直流電阻和動態電阻的區別有了一定的認識,這也解釋了在使用萬用表的電阻檔對二極管進行測量時,所得電阻為二極管的直流電阻,而並不是非動態電阻。
yucitongshi,zaiyongwanyongbiaooumudangduierjiguandezhengxiangdianzujinxingceliangshi,yinweiwanyongbiaoneizubutong,suoyidaozhiliujingguanzidedianliuqiangdubutong,zhejiuyiweizhegongzuodiandebutong,zuihoushideceliangchudeRD值也不同。
特別推薦
- 噪聲中提取真值!瑞盟科技推出MSA2240電流檢測芯片賦能多元高端測量場景
- 10MHz高頻運行!氮矽科技發布集成驅動GaN芯片,助力電源能效再攀新高
- 失真度僅0.002%!力芯微推出超低內阻、超低失真4PST模擬開關
- 一“芯”雙電!聖邦微電子發布雙輸出電源芯片,簡化AFE與音頻設計
- 一機適配萬端:金升陽推出1200W可編程電源,賦能高端裝備製造
技術文章更多>>
- 邊緣AI的發展為更智能、更可持續的技術鋪平道路
- 每台智能體PC,都是AI時代的新入口
- IAR作為Qt Group獨立BU攜兩項重磅汽車電子應用開發方案首秀北京車展
- 構建具有網絡彈性的嵌入式係統:來自行業領袖的洞見
- 數字化的線性穩壓器
技術白皮書下載更多>>
- 車規與基於V2X的車輛協同主動避撞技術展望
- 數字隔離助力新能源汽車安全隔離的新挑戰
- 汽車模塊拋負載的解決方案
- 車用連接器的安全創新應用
- Melexis Actuators Business Unit
- Position / Current Sensors - Triaxis Hall
熱門搜索
SATA連接器
SD連接器
SII
SIM卡連接器
SMT設備
SMU
SOC
SPANSION
SRAM
SSD
ST
ST-ERICSSON
Sunlord
SynQor
s端子線
Taiyo Yuden
TDK-EPC
TD-SCDMA功放
TD-SCDMA基帶
TE
Tektronix
Thunderbolt
TI
TOREX
TTI
TVS
UPS電源
USB3.0
USB 3.0主控芯片
USB傳輸速度





