深入探討噪聲增益傳遞函數的推導
發布時間:2022-12-05 責任編輯:lina
【導讀】在之前的交流跨阻放大器的討論提供了對電路噪聲增益和穩定性的理解。在第 4 部分中,我們將深入探討噪聲增益傳遞函數的推導。
在之前的交流跨阻放大器的討論提供了對電路噪聲增益和穩定性的理解。在第 4 部分中,我們將深入探討噪聲增益傳遞函數的推導。
TIA 的噪聲增益
讓我們首先添加一個放大器噪聲源V。n,到跨阻放大器的整體情況。跨阻放大器電路圖(圖1)中顯示的元件為我們提供了關鍵頻率分量的評估。對於穩定性分析,輸入信號源為噪聲電壓,Vn.放大器噪聲源的型號(Vn) 放置在放大器輸入端。

圖1.跨阻放大器的完整電路圖包括寄生電容、電阻和放大器噪聲源(Vn)。
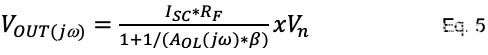
將一切整合在一起
評ping估gu任ren何he放fang大da器qi電dian路lu中zhong的de噪zao聲sheng增zeng益yi響xiang應ying都dou應ying包bao括kuo查zha看kan放fang大da器qi同tong相xiang輸shu入ru到dao放fang大da器qi輸shu出chu引yin腳jiao的de信xin號hao增zeng益yi。完wan整zheng跨kua阻zu電dian路lu的de噪zao聲sheng增zeng益yi傳chuan遞di函han數shu為wei:

哪裏:
一個老(JW) 是放大器在整個頻率範圍內的開環增益。
β是等於 1/(1 + Z 的係統反饋因子在 / ZF)。
確定 1/β傳遞函數
如果假設放大器的開環增益A老(jw)為無窮大,圖1所示放大器的噪聲增益傳遞函數等於公式1:

其中 (s) à (jw)
ZFB(JW) 是複數反饋阻抗
Z在(JW) 是複數輸入阻抗
這種簡化使 1/β 一級傳遞函數計算,其中:

反饋元件與Z組合非常方便FB(s) 並且輸入元素與 Z 組合在讓我們把它組合成一個形式,我們可以識別TIA電路中的極點和零點。
為了將該噪聲增益方程(公式1)簡化為極點和零點格式,我們的傳遞函數現在已準備好波特圖,具有一個極點和一個零點(公式4)。

波特 TIA 噪聲圖
確定穩定性的一個很好的工具是波特圖。在這一點上,讓我們討論一些基本的模擬設計指南。課堂教師會告訴您,穩定的相位裕量大於 0°。不對。在現場,您最好以 45° 或更高的相位裕量進行設計。如果將階躍信號驅動到PCB上的電路中,正相位裕量接近0°,則電路將振蕩失控。這種不穩定性來自PCB布局中意外的元件寄生效應或未表征的電容。以45°相位裕量進入模擬電路的相同階躍信號將在輸入階躍信號上方產生約30%的過衝。您還將產生一個最終會穩定下來的阻尼信號。
此設計的適當波特圖包括放大器的開環增益和1/β曲線。決定噪聲增益(1/β)頻率響應的係統元件是光電二極管寄生效應和運算放大器的輸入電容(Z在)以及放大器反饋回路中的元件(RF, C射頻和 CF) (圖2)。

圖2.閉環增益(1/β)和放大器開環增益(A老) 為 20dB/十倍頻程。
圖2中需要注意重要的1/β曲線增益值和頻率。1/β曲線 DC 值等於 1 + RF, 1D.在這個比率中,RF是TIA的反饋電阻,通常在10kW至10MW的範圍內。
On the other hand, RD是光電二極管寄生電阻。該寄生電阻代表零偏置p-n光電二極管結。光電二極管的材料(及其光學範圍)是矽(190nm - 1100nm),鍺(400nm -1700nm),砷化銦镓(800nm - 2600nm),硫化鉛(《1000nm - 3500nm)或碲化鎘汞(400nm - 14000nm)。光電二極管的寄生分流電阻範圍從幾十到幾千兆歐。
將這兩個電阻放在一起,RF/RD,通常等於接近零,使 TIA 直流增益等於 1V/V。
第二個重要的1/β增益是當曲線在較高頻率下再次變得平坦時。該區域的增益等於 (1 + (C帕金森 +C放大器)/(CF + C射頻))。請注意,高頻增益具有分子中輸入電容的總和和分母中輸出電容的總和。
第三個重要的1/β增益曲線的特性是頻率轉折點fZ和 fP.轉角頻率的以下公式 (fZ,公式6)和極點(fP,等式7)為:

圖 2 圖中最後一個有趣的部分是 1/β 曲線與 A 相交的地方老(JW) 曲線。兩條曲線之間的閉合速率通常表示TIA電路的相位裕量值。
如果兩條曲線之間的閉合速率為20dB,則TIA電路是穩定的,這意味著相位裕量大於45°。如果 1/β 曲線在極點頻率處與 AOL 曲線相交 (fP),電路相位裕量為45°。如果閉合速率大於20dB,則電路不穩定。這將產生小於 45° 的相位裕量。獲得一般相位裕量後,您可以估計電路是否穩定。
有三種方法可以糾正電路的不穩定性:1)增加反饋電容,CF價值;2)改變放大器具有更高的單位增益帶寬;3)使用具有不同輸入電容的不同光電探測器。
但是,讓我們切入上麵討論的簡單解決方案。等式 8 顯示了一個保守計算,該計算模擬巴特沃思響應,其 65o相位裕量和 5% 階躍響應過衝。
CF= 2* p ((C帕金森 + C放大 器) /(2 p RF f英鎊)) - C射頻等式 8
其中 f英鎊是單位增益穩定放大器的增益帶寬乘積
公式8不僅可以改變放大器帶寬/輸入電容,還可以改變反饋電阻值。
結論
我們展示了一種完成TIA設計的方法,並展示了一種選擇TIA反饋電容(CF)。正如您從公式 8 中猜測的那樣,有兩個變量需要進一步定義 àRF, f英鎊。加入我們的第 5 部分,我們將熟悉光電二極管,了解您的應用如何幫助定義光電二極管輸出範圍,從而確定反饋電阻的值和放大器選擇。
免責聲明:本文為轉載文章,轉載此文目的在於傳遞更多信息,版權歸原作者所有。本文所用視頻、圖片、文字如涉及作品版權問題,請聯係小編進行處理。
推薦閱讀:
- 噪聲中提取真值!瑞盟科技推出MSA2240電流檢測芯片賦能多元高端測量場景
- 10MHz高頻運行!氮矽科技發布集成驅動GaN芯片,助力電源能效再攀新高
- 失真度僅0.002%!力芯微推出超低內阻、超低失真4PST模擬開關
- 一“芯”雙電!聖邦微電子發布雙輸出電源芯片,簡化AFE與音頻設計
- 一機適配萬端:金升陽推出1200W可編程電源,賦能高端裝備製造
- 2026藍牙亞洲大會暨展覽在深啟幕
- 維智捷發布中國願景
- 2秒啟動係統 • 資源受限下HMI最優解,米爾RK3506開發板× LVGL Demo演示
- H橋降壓-升壓電路中的交替控製與帶寬優化
- Tektronix 助力二維材料器件與芯片研究與創新
- 車規與基於V2X的車輛協同主動避撞技術展望
- 數字隔離助力新能源汽車安全隔離的新挑戰
- 汽車模塊拋負載的解決方案
- 車用連接器的安全創新應用
- Melexis Actuators Business Unit
- Position / Current Sensors - Triaxis Hall




