反極性Buck-Boost的CCM模式和DCM模式
發布時間:2023-06-14 責任編輯:lina
【導讀】反極性Buck-Boost 變換器主電路的元件由開關管,二極管,電感,電容等構成。輸出電壓的極性與輸入電壓相反。Buck-Boost 變換器也有電感電流連續和斷續兩種工作方式。
反極性Buck-Boost 變換器主電路的元件由開關管,二極管,電感,電容等構成。輸出電壓的極性與輸入電壓相反。Buck-Boost 變換器也有電感電流連續和斷續兩種工作方式。
反極性Buck-Boost也可以分為同步,和非同步兩種控製器。如圖所示,左圖為非同步控製器,是由開關管Q1、二極管D1、電感L組成拓撲;右圖為同步控製器,由Q2替代D1實現。

通過控製 Q1 與 Q2 的導通關斷時間,對儲能元件電感 L 與輸出電容 Cout進行 充放電,產生穩定的直流輸出電壓 Vout。其中 VIN為電源輸入電壓,Q1 為主開關功率管, 一般用 MOSFET,D1 為續流二極管,也可以用一個開關管Q2來代替。
工作過程一般包含充電階段和續流階段。詳細的工作原理為,當係統穩定時,若 Q1 導通,Q2關斷(或者D1反向截止)時,輸入電壓VIN給電感 L 充電,電流的方向為順時針,此時電能轉化為電感磁能,能量儲存於電感上,此時電感電流隨著Q1導通時間的增加而增大;電感儲能的同時,輸出電容 Cout與負載 RL構成回路,上一階段電容 Cout存儲的能量釋放給負載電阻 RL,提ti供gong所suo需xu的de能neng量liang,電dian流liu方fang向xiang為wei逆ni時shi針zhen,輸shu出chu電dian壓ya為wei負fu值zhi,輸shu出chu電dian壓ya的de絕jue對dui值zhi隨sui著zhe充chong電dian階jie段duan的de時shi間jian而er下xia降jiang,該gai過guo程cheng稱cheng為wei環huan路lu的de充chong電dian階jie段duan。
若 Q1 關斷,Q2 導通(或者D1正向導通)時,此時電感電流在上一充電階段儲存的磁能,由電感 L,輸出電容 Cout,負載 RL和開關管Q2(或者二極管D1續流)構成的回路進行釋放,此時電感磁能轉化成電能,電感電流隨著Q2 導通時間的增加而減小,一部分用於 Cout充電,進行儲能,另一部分用於負載RL提(ti)供(gong)電(dian)流(liu),由(you)於(yu)電(dian)感(gan)上(shang)的(de)電(dian)流(liu)不(bu)能(neng)突(tu)變(bian)的(de)特(te)性(xing),所(suo)以(yi)電(dian)流(liu)方(fang)向(xiang)為(wei)逆(ni)時(shi)針(zhen),輸(shu)出(chu)電(dian)壓(ya)也(ye)為(wei)負(fu)值(zhi),輸(shu)出(chu)電(dian)壓(ya)的(de)絕(jue)對(dui)值(zhi)隨(sui)著(zhe)續(xu)流(liu)階(jie)段(duan)的(de)時(shi)間(jian)而(er)上(shang)升(sheng),該(gai)過(guo)程(cheng)稱(cheng)為(wei)續(xu)流(liu)階(jie)段(duan)。
根據 反極性Buck-boost 的de工gong作zuo原yuan理li可ke知zhi,電dian感gan電dian流liu在zai充chong電dian階jie段duan是shi連lian續xu上shang升sheng的de,在zai續xu流liu階jie段duan是shi連lian續xu下xia降jiang的de,而er根gen據ju電dian感gan電dian流liu在zai續xu流liu階jie段duan是shi否fou降jiang為wei零ling,分fen為wei連lian續xu導dao通tong模mo式shi(CCM)與非連續導通模式(DCM)。
(1)連續導通模式(CCM)
連續導通模式是電感電流在續流階段不為零,而在大負載電流情況下易為 CCM 模式。其工作原理如圖所示。

由圖所示為,在每個周期內,當主開關管 Q1 導通,D1反向截止時,輸入電壓 VIN通過Q1 給電感充電,電感電流持續增大,此時 L的電壓值被拉高約為VIN(正值)。當開關管Q1 關斷,由於D1左側的電壓為VIN,右側為負值Vout,則D1為反向截止,電感電流給電容 Cout與負載 RL提供能量,電感電流在持續減小, 此時 L的電壓值Vout(負值)。所以 L的值與電感電流的值都是在周期性變換的,信號上電的波形圖如圖所示。

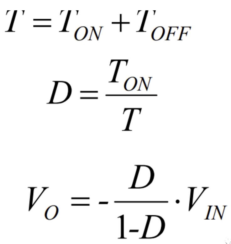
當工作在 CCM 模式下,每個周期內都有包含完整的充電階段和放電階段。ΔIL為電感電流紋波,Iavg電感電流平均值。
設一個完整周期的時間為 T,其中放電周期為 TON,充電周期為 TOFF。D 為電路中的占空比。由以上的原理分析可得表達式為:

(2)非連續導通模式(DCM)
當 Iout>0.5ΔI時,工作在 CCM 模式下,當Iout
工作在 DCM 模式下時,一個有三個狀態:充電階段、放電階段 和電感電流為零階段,這三階段在一個周期內的時間分別為 T1,T2,T3。充電階段的占空比為 D1,放電階段的占空比為 D2。在T3期間, Q1關斷 和 D1截止, 電感電流為零,負載由輸出濾波電容供電。



CCM 模式下,輸出電壓跟電路占空比與輸入電壓相關, 而 DCM 模式下,與輸入電壓,占空比,開關頻率,電感值,負載相關。相比於DCM, CCM 的輸出電壓值的影響因素更小。
(來源:硬件十萬個為什麼微信公眾號)
免責聲明:本文為轉載文章,轉載此文目的在於傳遞更多信息,版權歸原作者所有。本文所用視頻、圖片、文字如涉及作品版權問題,請聯係小編進行處理。
推薦閱讀:
- 噪聲中提取真值!瑞盟科技推出MSA2240電流檢測芯片賦能多元高端測量場景
- 10MHz高頻運行!氮矽科技發布集成驅動GaN芯片,助力電源能效再攀新高
- 失真度僅0.002%!力芯微推出超低內阻、超低失真4PST模擬開關
- 一“芯”雙電!聖邦微電子發布雙輸出電源芯片,簡化AFE與音頻設計
- 一機適配萬端:金升陽推出1200W可編程電源,賦能高端裝備製造
- 一秒檢測,成本降至萬分之一,光引科技把幾十萬的台式光譜儀“搬”到了手腕上
- AI服務器電源機櫃Power Rack HVDC MW級測試方案
- 突破工藝邊界,奎芯科技LPDDR5X IP矽驗證通過,速率達9600Mbps
- 通過直接、準確、自動測量超低範圍的氯殘留來推動反滲透膜保護
- 從技術研發到規模量產:恩智浦第三代成像雷達平台,賦能下一代自動駕駛!
- 車規與基於V2X的車輛協同主動避撞技術展望
- 數字隔離助力新能源汽車安全隔離的新挑戰
- 汽車模塊拋負載的解決方案
- 車用連接器的安全創新應用
- Melexis Actuators Business Unit
- Position / Current Sensors - Triaxis Hall




