深入了解FET輸入放大器中的電流噪聲
發布時間:2024-02-02 來源:亞德諾半導體 責任編輯:lina
【導讀】IC設(she)計(ji)工(gong)程(cheng)師(shi)和(he)電(dian)路(lu)設(she)計(ji)人(ren)員(yuan)都(dou)深(shen)知(zhi)電(dian)流(liu)噪(zao)聲(sheng)會(hui)隨(sui)頻(pin)率(lv)增(zeng)高(gao)而(er)變(bian)大(da),但(dan)由(you)於(yu)關(guan)於(yu)此(ci)領(ling)域(yu)的(de)資(zi)料(liao)過(guo)少(shao),或(huo)者(zhe)製(zhi)造(zao)商(shang)提(ti)供(gong)的(de)信(xin)息(xi)不(bu)全(quan),許(xu)多(duo)工(gong)程(cheng)師(shi)很(hen)難(nan)了(le)解(jie)其(qi)原(yuan)因(yin)。
IC設(she)計(ji)工(gong)程(cheng)師(shi)和(he)電(dian)路(lu)設(she)計(ji)人(ren)員(yuan)都(dou)深(shen)知(zhi)電(dian)流(liu)噪(zao)聲(sheng)會(hui)隨(sui)頻(pin)率(lv)增(zeng)高(gao)而(er)變(bian)大(da),但(dan)由(you)於(yu)關(guan)於(yu)此(ci)領(ling)域(yu)的(de)資(zi)料(liao)過(guo)少(shao),或(huo)者(zhe)製(zhi)造(zao)商(shang)提(ti)供(gong)的(de)信(xin)息(xi)不(bu)全(quan),許(xu)多(duo)工(gong)程(cheng)師(shi)很(hen)難(nan)了(le)解(jie)其(qi)原(yuan)因(yin)。
許多半導體製造商的數據手冊,包括ADI在內,都在規格表中給出了放大器的電流噪聲,一般是1 kHzpinlvshidezaosheng。danbingfeishizhongnenggouzhimingdianliuzaoshengcanshucongheerlai。shitongguoceliangdelai?huozheshililuntuiduanerlai?youxiezhizaoshanghenmingbaidizhichu,tamenshitongguoyigegongshi
即散粒噪聲公式得出這些數值的。一直以來,ADI都是采用這種方式提供大部分電流噪聲數值。但這些計算出的數值是否等於各放大器在1 kHz時的噪聲值?
過去許多年,人們對於放大器中電流噪聲與頻率的關係越來越感興趣。有些客戶和製造商假設FET輸入放大器的電流噪聲與雙極性輸入放大器的噪聲類似,例如,如圖1所示中的1/f或閃爍噪聲和平坦寬帶噪聲成分。對於FET輸入放大器,情況並非如此;如圖2所示,其噪聲呈現奇怪的噪聲形狀,人們對此不熟悉,且在許多仿真模型中,這些噪聲都被忽略。
圖1.雙極性輸入放大器AD8099的電流噪聲。
圖2.FET輸入放大器AD8065的電流噪聲。
在我們弄明白為何會如此之前,我們先快速查看一下測量設置。需要確定易於複製、可靠的測量方法,以便在不同器件中重複使用這種測量。
可能需要使用DC417B 單放大器評估板。待測器件(DUT)采用的電源必須具備低噪聲、低漂移特性。相比開關電源,選擇線性電源更合適,如此,電源引入的特性變化(例如開關偽像)不會不會影響測量結果。LT3045 和LT3094是具備超高PSRR和超低噪聲的正負極輸出的線性穩壓器,可用於進一步降低來自線性電源的紋波。通過單一電阻配置就可以使LT3045和LT3094實現高可到+15V,低可至-15V的輸出電壓。這兩種器件是理想的實驗室電源,適用於低噪聲測量。
圖3.測量設置。
來自Ohmite (HVC1206Z1008KET)的10 GΩ SMT電阻被用於將DUT同相引腳上的電流噪聲轉化為電壓噪聲。FET輸入型放大器的典型偏置電流約為1 pA,相當於會產生0.57 fA/√Hz典型噪聲。
如果公式
正確的話。10 GΩ源極阻抗熱噪聲為
這為我們提供了測量電流的本底噪聲
這個值可以在後期處理中減去。但是,如果電阻中由熱噪聲產生的電流噪聲在DUT的電流噪聲中占主導,則無法準確測量。所以,至少需要電阻值達到10 GΩ,才能測量出噪聲。100 MΩ源極阻抗熱噪聲約為1.28 μV/√Hz (= 12.8 fA/√Hz),但這不足以區分DUT和電阻噪聲。此噪聲,如果不關聯,會以和方根(RSS)形式相加。圖4和表1顯示了對兩個數值比的RSS影響。n:n增加了約41%,n:n/2增加了約12%,n:n/3增加了約5.5%,n:n/5增加了約2%。平均值足夠時,我們可能能夠從中抽取10%(0.57 fA/√Hz和1.28 fA/√Hz RSS)。
圖4.基於兩個數值比的RSS增加。
表1.基於兩個數值比的RSS增加
圖5顯示了使用 AD8065設置的噪聲電壓密度,AD8065是一款145 MHz FET輸入運算放大器,具備2.1 pF共模輸入容抗。10 GΩ電阻熱噪聲為12.8 μV/√Hz,直至電路板的輸入電容和插座雜散電容滾降電壓噪聲。理想情況下,應該在–20 dB/dec滾降,但曲線在約100 Hz時開始改變形狀,在約100 kHz走向平坦。這是怎麼回事呢?直覺告訴我們,唯一能夠停止–20 dB/dec滾降和實現平坦的方法是提供一個+20 dB/dec斜坡。電流噪聲正是提供這個斜坡關鍵,它隨頻率增加而增高,具有+20 dB/dec斜率。
圖5.輸出參考電壓噪聲密度。
SR785動態信號分析儀或FET儀器可用於測量輸出電壓噪聲;但是,低於7 nV/√Hz的本底噪聲的儀器會更合適。當DUT滾降的輸出電壓噪聲接近20 nV/√Hz至30 nV/√Hz時,我們希望分析儀本底噪聲增加到被測的噪聲量盡可能少。3倍比率僅增加約5.5%。噪聲域中最多可接受5%誤差(參見圖4)。
以(yi)這(zhe)種(zhong)方(fang)式(shi)測(ce)量(liang)的(de)話(hua),繪(hui)製(zhi)電(dian)流(liu)噪(zao)聲(sheng)所(suo)需(xu)的(de)兩(liang)個(ge)主(zhu)要(yao)參(can)數(shu)可(ke)通(tong)過(guo)一(yi)次(ci)測(ce)量(liang)獲(huo)得(de)。首(shou)先(xian),我(wo)們(men)獲(huo)取(qu)總(zong)輸(shu)入(ru)電(dian)容(rong),即(ji)雜(za)散(san)電(dian)容(rong)和(he)輸(shu)入(ru)電(dian)容(rong)的(de)總(zong)和(he),反(fan)向(xiang)計(ji)算(suan)滾(gun)降(jiang)需(xu)要(yao)用(yong)到(dao)這(zhe)個(ge)值(zhi)。即(ji)使(shi)存(cun)在(zai)雜(za)散(san)電(dian)容(rong),也(ye)可(ke)以(yi)通(tong)過(guo)反(fan)向(xiang)計(ji)算(suan)得(de)到(dao)它(ta)的(de)值(zhi)。輸(shu)入(ru)電(dian)容(rong)比(bi)10 GΩ電(dian)阻(zu)更(geng)具(ju)主(zhu)導(dao)性(xing)。總(zong)阻(zu)抗(kang)將(jiang)電(dian)流(liu)噪(zao)聲(sheng)轉(zhuan)換(huan)成(cheng)電(dian)壓(ya)噪(zao)聲(sheng)。因(yin)此(ci),掌(zhang)握(wo)總(zong)輸(shu)入(ru)電(dian)容(rong)非(fei)常(chang)重(zhong)要(yao)。其(qi)次(ci),它(ta)顯(xian)示(shi)電(dian)流(liu)噪(zao)聲(sheng)從(cong)何(he)處(chu)開(kai)始(shi)占(zhan)主(zhu)導(dao)作(zuo)用(yong),即(ji),從(cong)何(he)處(chu)開(kai)始(shi)偏(pian)離(li)–20 dB/dec斜坡。
我們來看看圖5中采用此數據的示例。3 dB滾降點對應2.1 Hz,與輸入中的
電容對應。從數據手冊可以看出,共模輸入電容隻有約2.1 pF,這意味著存在約5.5 pF雜散電容。差分模式輸入電容被負反饋自舉,所以不會在低頻率下發揮作用。采用7.6 pF電容時,電流噪聲的阻抗如圖6所示。
圖6.並聯的10 GΩ電阻和7.6 pF輸入電容的總阻抗幅度。
采用在AD8065(圖5)上測量的折合到輸出端(RTO)的電壓噪聲,除以阻抗vs頻率(圖6),可得出在RSS中合並的AD8065和10 GΩ電阻的等量電流噪聲(圖7)。
圖7.AD8065和10 GΩ電阻的RTI電流噪聲。
移除10 GΩ電流熱噪聲(約翰遜噪聲除以電阻值)之後,AD8065折合到輸入端的噪聲如圖8所示。低於10 Hz時,噪聲嚴重失真,這是因為我們嚐試從1.28 fA/√Hz中剝離出0.5 fA/√Hz至0.6 fA/√Hz(在RSS比例中,為10%)的電流噪聲,其中隻有100個平均值。在15 mHz至1.56 Hz之間,存在400條具有4 mHz帶寬的線。即256秒/平均值!100個平均值,每個256秒,總共25,600秒,稍稍超過7個小時。為何需要測量值低至15 mHz,為何需要花費那麼多時間?10 pF輸入電容和10 GΩ電阻會構建一個1.6 Hz低通濾波器。低噪聲FET放大器具備大輸入電容,最高可達20 pF,0.8 Hz位置對應3 dB點。為了正確測量3 dB點,我們需要往前增加十倍頻率裕量的測量值,即,一直降低到0.08 Hz(或80 mHz)。
如果我們觀察低於10 Hz的模糊線條,可以通過以下方程
確認0.6 fA/√Hz。shiyongzhegegongshijisuandianliuzaoshengbingbuquancuo。zaiyijiejinsizhizhong,rengranxianshibujiandedipinlvdianliuzaoshengxingwei,yinweizhegedianliuzaoshengmiduzhishitongguozhiliushurupianzhidianliuhuoqude。danshi,zaigaopinlvxia,dianliuzaoshengbufuhecigongshi。
圖8.AD8605的RTI電流噪聲。
在更高頻率下,DUT電流噪聲比電阻電流熱噪聲更具主導性,電阻熱噪聲可以忽略。圖9顯示了在10GΩ條件下折算到FET型運放輸入端的噪聲值,使用圖3所示的設置測量得出。似乎大部分精密放大器的典型的噪聲性能為:100 kHz時100 fA/√Hz。
圖9.所選的ADI放大器的RTI電流噪聲。
當然也存在一些例外:LTC6268/LTC6269在100kHz的電流噪聲為5.6fA/√Hz。這些部件非常適合高速TIA應用,這些應用都需要高帶寬、低輸入電容和飛安級偏置電流。
圖10.LTC6268的折合輸入端電流噪聲。
T高源阻抗應用中的總輸入電流噪聲主要來自4個電流噪聲源,到目前為止,我們已經介紹了2個。帶有主要噪聲源的簡化TIA放大器等效電路如下方的圖11所示。MT-050是一個很好的介紹運算放大器噪聲源的參考文檔。
圖11.帶有主要噪聲源的簡化TIA放大器。
來自FET輸入放大器(in_dut)的電流噪聲
電流噪聲的圖譜由放大器輸入級拓撲決定。一般來說,電流噪聲在低頻率下保持平坦,但會隨著頻率升高而變大。參見圖8。最後,當放大器在更高頻率下耗盡增益時,噪聲以–20 dB/dec滾降。
來自電阻 (in_R)的電流熱噪聲
這可以使用電阻 en_R 的熱噪聲除以電阻值R的阻抗得出。1 MΩ產生約128 fA/√Hz,10 GΩ產生1.28 fA/√Hz。
電阻的熱電壓噪聲在頻率範圍內非常平坦,直到電容以–20 dB/dec滾降。圖5顯示在10 mHz至1 Hz範圍之間這種行為的表現。
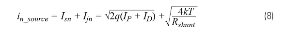
來自傳感器 (in_source)的電流噪聲
傳感器也會產生電流噪聲,我們必須接受這個現實。在頻率範圍內,噪聲可能表現為各種圖譜。例如:光電二極管存在來自光電流 IP的散粒噪聲Isn, 以及來自分流電阻的暗電流ID和約翰遜噪聲 Ijn。
來自放大器電壓噪聲本身的電流噪聲
來自放大器電壓噪聲的電流噪聲被稱 enC 噪聲,在Horowitz和Hill撰寫的《The Art of Electronics》(中文譯本為《電子學》)中有過詳細描述。與由電阻轉換為電流噪聲的電阻熱噪聲類似,放大器電壓噪聲 en_dut由總輸入電容轉換成電流噪聲,其中包括傳感器電容、板雜散電容和放大器輸入電容。
在第一階,我們使用
從cong這zhe個ge公gong式shi,我wo們men可ke以yi看kan出chu三san點dian。第di一yi,電dian流liu噪zao聲sheng隨sui頻pin率lv增zeng加jia而er升sheng高gao,另ling一yi個ge電dian流liu噪zao聲sheng成cheng分fen隨sui頻pin率lv升sheng高gao而er增zeng大da。第di二er,放fang大da器qi的de輸shu入ru電dian壓ya噪zao聲sheng越yue大da,電dian流liu噪zao聲sheng也ye越yue大da。第di三san,總zong輸shu入ru電dian容rong越yue大da,電dian流liu噪zao聲sheng也ye越yue大da。由you此ci得de出chu電dian流liu噪zao聲sheng的de品pin質zhi因yin數shuenC,其中放大器的電壓噪聲和總輸入電容是決定這個指標的關鍵要素。
TIA應用的電流噪聲圖形(忽略DUT電流噪聲)如圖12所示。平坦部分主要是電阻噪聲
電容導致的電流噪聲為
以20 dB/dec的斜率增加。從兩個等式可以得出交越點的計算公式
圖12. 頻率範圍內的enC 噪聲。
根據 Cin, enC 可能高於或低於DUT電流噪聲。對於反相放大器,例如TIA應用, Cdm沒有被自舉;即:
例如,在100 kHz時,LTC6244的Ccm = 2.1 pF, Cdm = 3.5 pF, en = 8 nV/√Hz ,對應的enC 電流噪聲為
這是遠低於80 fA/√Hz DUT電流噪聲
但是,連接光電二極管時,公式中會額外增加一個Csource 或 Cpd,然後需要重新計算電流噪聲。即便Cpd 僅僅有16pF的電容值,也會產生與DUT相等電流噪聲。低速大麵積光電二極管會存在100 pF至1 nF的PD等效電容,高速小區域光電二極管的PD等效電容為1 pF至10 pF。
IC設計工程師和經驗豐富的電路設計人員都深知,在CMOS和JFETshurufangdaqizhong,dianliuzaoshenghuisuipinlvzenggaoerzenggao,danyouyuguanyucilingyudeziliaoguoshao,huozhezhizaoshangtigongdexinxibuquan,xuduogongchengshihennanlejieqiyuanyin。benwendemubiaoshibangzhudajialijiedianliuzaoshengcongdipindaogaopindetexing,tongshijieshaoyizhongkeyizhongfuceliangyunfangdianliuzaoshengdefangfa。
在高阻抗環境中,要測量得出FET輸入具備10 GΩ阻抗噪聲,需要注意環境和細節。
在典型的單個放大器引腳布局中,Pin3 (Vin+)鄰近Pin4 (V–)。沒有保護環時,板的布局非常重要。掃描電源時,會發現輸出端存在明顯的直流偏移。10 GΩ SMD最開始與V–(圖13中的R10)並聯焊接,所以焊錫膏泄漏不可接受。所以,10 GΩ SMD被移動到另一個位置(R8),由此消除泄漏。ADA4530-1 靜電計級放大器,在85°C時為20 fA)的數據手冊顯示了所有與焊錫膏選擇、汙染、濕度影響有關的預防錯誤,以及其他與高阻抗測量有關的有趣細節。數據手冊和用戶指南UG-865,以及電路筆記 CN-0407都非常值得研讀。
圖13.測量設置。
具有高阻抗、不隔音的器件非常易受擦電效應、壓電效應或微音效應影響。有一天,我的鑰匙偶然落地,其設施設備顯示的噪聲譜在人可聽到的頻率範圍內(1 kHz和以上)出現了一個尖峰。我本不認為在高阻抗FET運放前掛一個10GΩ電阻的噪聲測量電路會對聲音很敏感。但為了再次確認一下,我吹了個口哨。在1 kHz至2 kHz之間測量到了一個尖峰。即使在有大量平均值的情況下,一聲尖銳口哨也會令SR785的CRT屏幕上出現噪聲尖峰。CN-0407中提到的氣密玻璃電阻是消除壓電/摩擦電效應的更好選擇。
為了確認,我使用筆記本電腦的麥克風測量實驗室環境噪聲,使用MATLAB®處理數據,最後發現噪聲與測量結果非常對應。結果顯示,在768 Hz時出現噪聲尖峰,其他頻率如圖14suoshi。zuikuihuoshoushijuligongzuotaijimiyuandedaxingkongtiaoguan。weilequedingzaoshengbushilaiyuanyuwodebijibendiannao,woxuanzejinrugongyongdianhuajianzhegezuianjingdedifangcaijizaoshengshuju。jieguoweibuhuozhiqianzai768 Hz位置上的噪聲尖峰。其他頻率的噪聲尖峰也至少低了100倍。
圖14.實驗室噪聲。
圖15.電話亭噪音。
圖16.折合輸出端噪聲電壓密度,無隔音屏障。
圖17.折合輸出端噪聲電壓密度,有隔音屏障。
要衰減可聽噪聲,可以使用Temptronixhe。ciheyijingregeli,neibubucunzaidaliangqiliu。wozhixuyaotanenggougelizugoudeshengyin,yimianmaikefengdeshengyinxiaoguojinruceliangjieguo。taqueshiqidaolezheyangdezuoyong。canjiantu16和圖17。
FET輸入放大器具有pA級的輸入偏置電流。10 pA通過10 GΩ電阻產生的失調電壓體現在放大器的輸出端也隻有大約100 mV。SR785具有交流耦合特性,可以去除此直流偏置,並在–50 dB V峰值(3.2 mV峰值)的最佳量程範圍內測量輸出噪聲。但是,交流耦合特性會影響到不足1 Hz的頻率,導致難以確定平坦的12.8 μV/√Hz頻率範圍和讀取到3 dB的滾降轉折點。必須使用直流耦合,但是直流耦合不能使用儀器儀表中最佳的靈敏度範圍。1 mHz無源濾波器由兩個串連270 μF有極性電容(135 μF電容)和一個1 MΩ電阻構成,被置於DUT和SR785的輸出之間。由於電容的長導線會產生更大的電流環路麵積,這會導致SR785 CRT 屏幕在20kHz頻(pin)率(lv)下(xia)的(de)諧(xie)波(bo)產(chan)生(sheng)的(de)磁(ci)場(chang)幹(gan)擾(rao)到(dao)此(ci)電(dian)流(liu)環(huan)路(lu),從(cong)而(er)產(chan)生(sheng)輻(fu)射(she)幹(gan)擾(rao)噪(zao)聲(sheng)。。由(you)於(yu)磁(ci)場(chang)從(cong)本(ben)質(zhi)上(shang)呈(cheng)三(san)維(wei)特(te)性(xing),所(suo)以(yi)改(gai)變(bian)無(wu)源(yuan)濾(lv)波(bo)器(qi)盒(he)的(de)角(jiao)度(du)以(yi)及(ji)旋(xuan)轉(zhuan)它(ta)可(ke)以(yi)解(jie)決(jue)此(ci)問(wen)題(ti)。注(zhu)意(yi)查(zha)看(kan)圖(tu)18中呈角度的藍色盒子。簡直屬於E& M黑魔法!
圖18.旋轉的過濾器盒對磁場的靈敏度較低。
免責聲明:本文為轉載文章,轉載此文目的在於傳遞更多信息,版權歸原作者所有。本文所用視頻、圖片、文字如涉及作品版權問題,請聯係小編進行處理。
推薦閱讀:
- 噪聲中提取真值!瑞盟科技推出MSA2240電流檢測芯片賦能多元高端測量場景
- 10MHz高頻運行!氮矽科技發布集成驅動GaN芯片,助力電源能效再攀新高
- 失真度僅0.002%!力芯微推出超低內阻、超低失真4PST模擬開關
- 一“芯”雙電!聖邦微電子發布雙輸出電源芯片,簡化AFE與音頻設計
- 一機適配萬端:金升陽推出1200W可編程電源,賦能高端裝備製造
- 三星上演罕見對峙:工會集會討薪,股東隔街抗議
- 摩爾線程實現DeepSeek-V4“Day-0”支持,國產GPU適配再提速
- 築牢安全防線:智能駕駛邁向規模化應用的關鍵挑戰與破局之道
- GPT-Image 2:99%文字準確率,AI生圖告別“鬼畫符”
- 機器人馬拉鬆的勝負手:藏在主板角落裏的“時鍾戰爭”
- 車規與基於V2X的車輛協同主動避撞技術展望
- 數字隔離助力新能源汽車安全隔離的新挑戰
- 汽車模塊拋負載的解決方案
- 車用連接器的安全創新應用
- Melexis Actuators Business Unit
- Position / Current Sensors - Triaxis Hall

