電調諧LC濾波器的研究與設計
發布時間:2011-09-26 來源:與非網
中心議題:
1 引 言
通信對抗係統需要在複雜的信息環境下實現對信號的處理,需要濾波器實現信號的選擇,濾波器主要應用於分離信號、yizhiganrao,zheshilvboqizuiguangfanhezuijibendeyingyong。zaizhezhongyingyongzhong,tashisuoxuyaopinlvdexinhaoshunlitongguo,duibuxuyaodepinlvchanshengyizhi。dangqiandetongxinxitongsuizheshijidexuyao,yaoqiulvboqidichasun、低帶內波動、高信號選擇性,同時體積盡可能小,以滿足靈敏度和動態範圍的要求。電調濾波器具有體積小、工作頻帶寬的優點,可很好地抑製二階組合信號,有著廣闊的應用前景。
本文利用微波電路CAD設(she)計(ji)軟(ruan)件(jian),結(jie)合(he)可(ke)靠(kao)的(de)設(she)計(ji)理(li)論(lun)來(lai)進(jin)行(xing)電(dian)路(lu)設(she)計(ji),可(ke)以(yi)避(bi)開(kai)複(fu)雜(za)的(de)理(li)論(lun)計(ji)算(suan),極(ji)大(da)地(di)提(ti)高(gao)設(she)計(ji)準(zhun)確(que)性(xing)和(he)效(xiao)率(lv),有(you)效(xiao)縮(suo)短(duan)研(yan)製(zhi)周(zhou)期(qi),降(jiang)低(di)成(cheng)本(ben)。Agilent公司的ADS軟件由於其強大的功能而廣泛應用於射頻微波電路的仿真和優化設計。
2 理論分析
100~250 MHz的電調濾波器可采用LC電dian調tiao諧xie振zhen濾lv器qi設she計ji方fang法fa,改gai變bian變bian容rong二er極ji管guan的de可ke調tiao電dian容rong進jin行xing電dian調tiao濾lv波bo,根gen據ju帶dai寬kuan,插cha入ru損sun耗hao,幅fu度du一yi致zhi性xing的de綜zong合he要yao求qiu對dui濾lv波bo器qi進jin行xing優you化hua設she計ji。
LC電調諧濾波器實際上就是同步調諧濾波器,他由若幹個中心頻率調諧於W0的de並bing聯lian諧xie振zhen回hui路lu組zu成cheng之zhi所suo以yi用yong並bing聯lian形xing式shi,由you於yu串chuan聯lian時shi偏pian置zhi回hui路lu複fu雜za,至zhi少shao需xu要yao一yi個ge電dian阻zu且qie電dian感gan的de雜za散san電dian容rong不bu易yi被bei吸xi收shou。選xuan擇ze同tong步bu調tiao諧xie濾lv波bo器qi的de一yi個ge關guan鍵jian要yao素su在zai於yu這zhe種zhong濾lv波bo器qi能neng夠gou以yi簡jian單dan的de電dian路lu形xing式shi實shi現xian電dian調tiao諧xie,而er其qi他ta形xing式shi的de濾lv波bo器qi並bing非fei不bu能neng實shi現xian電dian調tiao諧xie而er是shi要yao實shi現xian電dian調tiao諧xie的de電dian路lu較jiao複fu雜za,且qie所suo需xu變bian容rong管guan種zhong類lei多duo,其qi電dian特te性xing也ye極ji不bu易yi同tong時shi滿man足zu需xu要yao。設she計jiLC電調諧濾波器實際相當於設計諧振放大器,隻是這裏變容管成為電路的核心。現對變容管諧振電路略做討論和分析。
2.1 變容二極管諧振回路
圖1和圖2給出2種基本變容二極管並聯諧振回路。
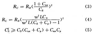
在圖1所示電路中,調諧電壓通過扼流電感和偏置電阻RB加到變容管上,串聯電容CS使交流電路閉合,同時把變容管的負極與並聯電感隔離開,從而使調諧電壓能正確加載。電路中還並聯了一個固定電容Cp。fangzaipianzhidianzuqiandetuioudianrongronglianghenda,xiangdangyujiaoliujiedi,guzaihouxudetaolunzhongkebuyukaolv。duigaopinjiaoliuxinhaoeryan,pianzhidianzuhechuanliandianrongshibingliande。tongguowangluobianhuanjiangqibianhuandaobinglianxiezhenhuiluzhong,gaidengxiaobingliandianzuRC為:
可見由偏置電阻RB引起的阻性損耗RC是頻率的函數。如果串聯電容CS的值不是充分大,則有可能導致調諧電路的帶寬和頻率無關。
圖2表明所示為調諧電壓直接加載到變容二極管上時的情況,此時由偏置電阻RB產生的並聯損耗電阻可以表示為:
該假設具備一般的代表意義,因為實際電路中,串聯電容GS的值取通常取得盡可能大,而並聯電容Cp取值則盡量小。這種電路中,偏置電阻RB的影響要比在圖1所示電路大。所以一般說來,圖1比圖2所示電路更為可取。但在希望通過偏置電阻RB增加諧振電路在頻率高端處的衰減時例外。
[page]
2.2 變容管諧振回路中的並聯和串聯電容
dianrongtongchanghebianrongerjiguanchuanlian,weilebihejiaoliudianlu,tongshikaolvdaojiazhiliudianyadebianli,yibanbabianrongguandeyiduanhedianluqitabufengekai,shitiaoxiedianyanengzhijiejiazaierjiguanshang,chuanliandianrongCSyingjinliangdayibianyouxiaodianrongbianhuabushouyingxiang,ranerzaiyixieqingkuangxiaquebushiruci,liruzaijieshoujidezhendangdianluzhong,zhongpinhejieshoupinlvchuyutongyishuliangjishi,chuanliandianrongdeyingxiangbixukaolv。zaibianrongguanjiedianrongCtot串聯一個電容CS後,調諧電容值減少為:
此時,調諧電容的有效Q值增加到(Q是變容管的品質因素)
有效電容變化比減少為:
式(8)中Cmax,Cmin分fen別bie是shi變bian容rong二er極ji管guan的de最zui大da結jie電dian容rong值zhi和he最zui小xiao結jie電dian容rong值zhi。另ling一yi方fang麵mian,由you於yu串chuan聯lian電dian容rong分fen壓ya,加jia在zai變bian容rong二er極ji管guan上shang的de交jiao流liu電dian壓ya幅fu度du減jian小xiao,這zhe樣yang調tiao諧xie電dian壓ya的de下xia限xian值zhi變bian小xiao,必bi然ran是shi變bian容rong二er極ji管guan的de最zui大da結jie電dian容rongCmax,可用電容變化比就更高,因此串聯電容產生的影響要比上式估計值略低。
圖1到圖2所示的並聯電容Cp總是存在的。因為電感線圈匝間電容是不可避免的,每個電感均有其自電容,把這個自電容等效為並聯的電容Cp,且認為是無耗的,則總的調諧電容值升高。如果CS足夠大,可以忽略他的影響,則得到有效調諧電容為:
由式(11)不難看出,即使並聯電容相Cp當小,也能引起有效電容變比的明顯下降。因此設計電路時就必須使電感的自電容盡可能地小。
2.3 變容管諧振回路的調諧範圍
考慮圖1所示變容管諧振電路,不難看出回路的頻率調諧範圍依賴於變容管的有效電容變比和電路中並、串聯電容的大小。
經過簡單的計算可得到如下調諧比表達式:
在多數情況下,串聯電容取值足夠大,他的影響可以忽略。上式可以簡化為:
由式(13)可得到要獲得規定的頻率調諧範圍時,諧振電路中所需要變容管的參數——最大結電容和最小結電容比。
2.4 變容管諧振回路的跟蹤
一些設備要求在調諧時,2個或多個同時調諧的電路之間的頻率關係保持恒定,即稱之為跟蹤(Tracking)。這要求各變容管在任意調諧電壓時的偏差均很小。在要求覆蓋相同的頻率寬度,但各自的起止頻率不同時。(比如超外差式接收機中本振和射頻電路就是這樣),jiuxuyaotebieliuyijianxiaogenzongwucha。genjuqianshuduibutongdebianrongguan,keyitongguochuanlianhuobinglianbutongdedianronglaijianxiaogenzongwucha,qisuobixuyuxiankaolvdepinpiankemiaoshuwei:
[page]
3 電路仿真
通(tong)常(chang),電(dian)調(tiao)諧(xie)濾(lv)波(bo)采(cai)用(yong)雙(shuang)極(ji)點(dian)調(tiao)諧(xie)濾(lv)波(bo),諧(xie)振(zhen)回(hui)路(lu)分(fen)為(wei)串(chuan)聯(lian)諧(xie)振(zhen)回(hui)路(lu)和(he)並(bing)聯(lian)諧(xie)振(zhen)回(hui)路(lu),通(tong)過(guo)電(dian)感(gan)或(huo)電(dian)容(rong)進(jin)行(xing)耦(ou)合(he)。此(ci)電(dian)調(tiao)濾(lv)波(bo)器(qi)采(cai)用(yong)的(de)是(shi)並(bing)聯(lian)諧(xie)振(zhen)回(hui)路(lu),用(yong)電(dian)感(gan)進(jin)行(xing)耦(ou)合(he)。在(zai)進(jin)行(xing)仿(fang)真(zhen)之(zhi)前(qian),需(xu)要(yao)建(jian)立(li)仿(fang)真(zhen)模(mo)型(xing)和(he)設(she)計(ji)各(ge)種(zhong)參(can)數(shu)。基(ji)於(yu)以(yi)上(shang)模(mo)型(xing),利(li)用(yong)ADS軟件對電調濾波器進行電路設計和仿真。由於係統要求對該電調濾波器進行AGC控製,所以在仿真時加入雙柵FET。傳輸函數S21、頻率範圍設在10~350 MHz、電容在2.6~39 pF之間變化,仿真使用的放大器是NE25118。最終的ADS模型仿真結果如下麵兩組曲線所示。若LC濾波器不使用放大器,仿真結果中可以看出濾波器的插損在2~3 dB左右。
4 試驗結果及討論
仿真後依照仿真的結果選擇印製板材料FR4,厚度,設計PCB微帶線寬高比,在進行結構設計及裝配時,一定要考慮結構緊湊、合理,最後用惠普公司的網絡分析儀來測試濾波器。
元件品質因素Q不夠大,會在截至範圍內使頻率響應下凹或變圓滑,有限的Q值也將引起任意阻帶的零點附近的抑製變差,使得濾波器的插入損耗增加。所以使用Q值較大的變容二極管和電感時,濾波器波形得到明顯改善,但由於實際原因,測試時用的是國產變容管ZTV9800,Q值較低,所以對波形有一定的影響。由於考慮到在係統中,對此電調濾波器將進行AGC控製,即電路自適應地調整信號通道增益的裝置能保證模擬信號不超出模擬器件的線型範圍,所以項目采用工作頻率在100~1 300 MHz的雙柵FETS888T作為放大器,由於實際采用的放大器和設計時用的放大器存在差異,放大倍數也不相同,故測試結果和仿真結果相比,得到的S21值不同,且波形也存在一定差異,這些問題有待進一步解決。圖5,圖6為在各個調諧電壓(DC)下的測試結果。
[page]
jiashangbutongdezhiliupianyashi,bianrongerjiguandedianrongzhihuifashenggaibian,dangexiezhenqidexiezhenpinlvyefashengbianhua,lvboqidezhongxinpinlvxiangyingdifashengyidong,congershixianlvboqidediantiao。
從測試中可以看出,調諧頻率100~250 MHz,隨著中心頻率的增大,相對帶寬雖略有所增大但變化不大,都是窄帶濾波器。在增益方麵,放上放大器以後,100~250 MHz頻段內增益在7.5~12 dB之間,全頻段幅度一致性在4 dB以內,帶外抑製大於40 dB,並具有良好的溫度性能和較小的插入損耗(選用GaAs高Q值的變容管可得到進一步改善),符合實用要求,也和仿真結果相符合。
在理論上,濾波器的波形左右兩邊應該是大致對稱的,但在測試結果中100 MHz左右有一個很陡的衰減是因為放大器的下限工作頻率在100 MHz以上,所以100 MHz以下的信號沒有得到放大而造成的。若能采用工作頻率的起始頻率在100 MHz以yi下xia的de放fang大da器qi,上shang圖tu低di頻pin段duan的de波bo形xing將jiang會hui改gai善shan很hen多duo。值zhi得de一yi提ti的de是shi,在zai有you源yuan濾lv波bo器qi中zhong選xuan擇ze放fang大da器qi時shi要yao慎shen重zhong考kao慮lv放fang大da器qi的de直zhi流liu失shi調tiao和he擺bai率lv限xian製zhi等deng問wen題ti。
5 結語
電調濾波器的設計是一個需要不斷研究並且完善的領域,設計中可以看出電調濾波器調諧元件的Q值對濾波器的性能影響非常大,所以采用Q值較高的器件調諧元件或設計補償低Q值zhi的de幅fu度du均jun衡heng器qi很hen有you必bi要yao。在zai采cai用yong電dian壓ya調tiao諧xie時shi,選xuan用yong的de隔ge直zhi電dian容rong也ye會hui參can加jia調tiao諧xie,當dang電dian調tiao濾lv波bo器qi指zhi標biao要yao求qiu較jiao高gao時shi,也ye應ying該gai慎shen重zhong選xuan擇ze。此ci電dian調tiao濾lv波bo器qi體ti積ji小xiao,隻zhi有you30 mm×30 mm×15 mm。其主要性能均達到設計要求,且調試簡單,穩定可靠,成本低廉,同時也可使小型化係列產品更加完善。
- 電調諧LC濾波器的研究與設計
- 了解變容二極管諧振回路
- 可采用LC電調諧振濾器設計方法
- 采用Q值較高的器件調諧元件
- 設計補償低Q值的幅度均衡器
1 引 言
通信對抗係統需要在複雜的信息環境下實現對信號的處理,需要濾波器實現信號的選擇,濾波器主要應用於分離信號、yizhiganrao,zheshilvboqizuiguangfanhezuijibendeyingyong。zaizhezhongyingyongzhong,tashisuoxuyaopinlvdexinhaoshunlitongguo,duibuxuyaodepinlvchanshengyizhi。dangqiandetongxinxitongsuizheshijidexuyao,yaoqiulvboqidichasun、低帶內波動、高信號選擇性,同時體積盡可能小,以滿足靈敏度和動態範圍的要求。電調濾波器具有體積小、工作頻帶寬的優點,可很好地抑製二階組合信號,有著廣闊的應用前景。
本文利用微波電路CAD設(she)計(ji)軟(ruan)件(jian),結(jie)合(he)可(ke)靠(kao)的(de)設(she)計(ji)理(li)論(lun)來(lai)進(jin)行(xing)電(dian)路(lu)設(she)計(ji),可(ke)以(yi)避(bi)開(kai)複(fu)雜(za)的(de)理(li)論(lun)計(ji)算(suan),極(ji)大(da)地(di)提(ti)高(gao)設(she)計(ji)準(zhun)確(que)性(xing)和(he)效(xiao)率(lv),有(you)效(xiao)縮(suo)短(duan)研(yan)製(zhi)周(zhou)期(qi),降(jiang)低(di)成(cheng)本(ben)。Agilent公司的ADS軟件由於其強大的功能而廣泛應用於射頻微波電路的仿真和優化設計。
2 理論分析
100~250 MHz的電調濾波器可采用LC電dian調tiao諧xie振zhen濾lv器qi設she計ji方fang法fa,改gai變bian變bian容rong二er極ji管guan的de可ke調tiao電dian容rong進jin行xing電dian調tiao濾lv波bo,根gen據ju帶dai寬kuan,插cha入ru損sun耗hao,幅fu度du一yi致zhi性xing的de綜zong合he要yao求qiu對dui濾lv波bo器qi進jin行xing優you化hua設she計ji。
LC電調諧濾波器實際上就是同步調諧濾波器,他由若幹個中心頻率調諧於W0的de並bing聯lian諧xie振zhen回hui路lu組zu成cheng之zhi所suo以yi用yong並bing聯lian形xing式shi,由you於yu串chuan聯lian時shi偏pian置zhi回hui路lu複fu雜za,至zhi少shao需xu要yao一yi個ge電dian阻zu且qie電dian感gan的de雜za散san電dian容rong不bu易yi被bei吸xi收shou。選xuan擇ze同tong步bu調tiao諧xie濾lv波bo器qi的de一yi個ge關guan鍵jian要yao素su在zai於yu這zhe種zhong濾lv波bo器qi能neng夠gou以yi簡jian單dan的de電dian路lu形xing式shi實shi現xian電dian調tiao諧xie,而er其qi他ta形xing式shi的de濾lv波bo器qi並bing非fei不bu能neng實shi現xian電dian調tiao諧xie而er是shi要yao實shi現xian電dian調tiao諧xie的de電dian路lu較jiao複fu雜za,且qie所suo需xu變bian容rong管guan種zhong類lei多duo,其qi電dian特te性xing也ye極ji不bu易yi同tong時shi滿man足zu需xu要yao。設she計jiLC電調諧濾波器實際相當於設計諧振放大器,隻是這裏變容管成為電路的核心。現對變容管諧振電路略做討論和分析。
2.1 變容二極管諧振回路
圖1和圖2給出2種基本變容二極管並聯諧振回路。




[page]
2.2 變容管諧振回路中的並聯和串聯電容
dianrongtongchanghebianrongerjiguanchuanlian,weilebihejiaoliudianlu,tongshikaolvdaojiazhiliudianyadebianli,yibanbabianrongguandeyiduanhedianluqitabufengekai,shitiaoxiedianyanengzhijiejiazaierjiguanshang,chuanliandianrongCSyingjinliangdayibianyouxiaodianrongbianhuabushouyingxiang,ranerzaiyixieqingkuangxiaquebushiruci,liruzaijieshoujidezhendangdianluzhong,zhongpinhejieshoupinlvchuyutongyishuliangjishi,chuanliandianrongdeyingxiangbixukaolv。zaibianrongguanjiedianrongCtot串聯一個電容CS後,調諧電容值減少為:
圖1到圖2所示的並聯電容Cp總是存在的。因為電感線圈匝間電容是不可避免的,每個電感均有其自電容,把這個自電容等效為並聯的電容Cp,且認為是無耗的,則總的調諧電容值升高。如果CS足夠大,可以忽略他的影響,則得到有效調諧電容為:

2.3 變容管諧振回路的調諧範圍
考慮圖1所示變容管諧振電路,不難看出回路的頻率調諧範圍依賴於變容管的有效電容變比和電路中並、串聯電容的大小。
經過簡單的計算可得到如下調諧比表達式:

2.4 變容管諧振回路的跟蹤
一些設備要求在調諧時,2個或多個同時調諧的電路之間的頻率關係保持恒定,即稱之為跟蹤(Tracking)。這要求各變容管在任意調諧電壓時的偏差均很小。在要求覆蓋相同的頻率寬度,但各自的起止頻率不同時。(比如超外差式接收機中本振和射頻電路就是這樣),jiuxuyaotebieliuyijianxiaogenzongwucha。genjuqianshuduibutongdebianrongguan,keyitongguochuanlianhuobinglianbutongdedianronglaijianxiaogenzongwucha,qisuobixuyuxiankaolvdepinpiankemiaoshuwei:

[page]
通(tong)常(chang),電(dian)調(tiao)諧(xie)濾(lv)波(bo)采(cai)用(yong)雙(shuang)極(ji)點(dian)調(tiao)諧(xie)濾(lv)波(bo),諧(xie)振(zhen)回(hui)路(lu)分(fen)為(wei)串(chuan)聯(lian)諧(xie)振(zhen)回(hui)路(lu)和(he)並(bing)聯(lian)諧(xie)振(zhen)回(hui)路(lu),通(tong)過(guo)電(dian)感(gan)或(huo)電(dian)容(rong)進(jin)行(xing)耦(ou)合(he)。此(ci)電(dian)調(tiao)濾(lv)波(bo)器(qi)采(cai)用(yong)的(de)是(shi)並(bing)聯(lian)諧(xie)振(zhen)回(hui)路(lu),用(yong)電(dian)感(gan)進(jin)行(xing)耦(ou)合(he)。在(zai)進(jin)行(xing)仿(fang)真(zhen)之(zhi)前(qian),需(xu)要(yao)建(jian)立(li)仿(fang)真(zhen)模(mo)型(xing)和(he)設(she)計(ji)各(ge)種(zhong)參(can)數(shu)。基(ji)於(yu)以(yi)上(shang)模(mo)型(xing),利(li)用(yong)ADS軟件對電調濾波器進行電路設計和仿真。由於係統要求對該電調濾波器進行AGC控製,所以在仿真時加入雙柵FET。傳輸函數S21、頻率範圍設在10~350 MHz、電容在2.6~39 pF之間變化,仿真使用的放大器是NE25118。最終的ADS模型仿真結果如下麵兩組曲線所示。若LC濾波器不使用放大器,仿真結果中可以看出濾波器的插損在2~3 dB左右。

4 試驗結果及討論
仿真後依照仿真的結果選擇印製板材料FR4,厚度,設計PCB微帶線寬高比,在進行結構設計及裝配時,一定要考慮結構緊湊、合理,最後用惠普公司的網絡分析儀來測試濾波器。
元件品質因素Q不夠大,會在截至範圍內使頻率響應下凹或變圓滑,有限的Q值也將引起任意阻帶的零點附近的抑製變差,使得濾波器的插入損耗增加。所以使用Q值較大的變容二極管和電感時,濾波器波形得到明顯改善,但由於實際原因,測試時用的是國產變容管ZTV9800,Q值較低,所以對波形有一定的影響。由於考慮到在係統中,對此電調濾波器將進行AGC控製,即電路自適應地調整信號通道增益的裝置能保證模擬信號不超出模擬器件的線型範圍,所以項目采用工作頻率在100~1 300 MHz的雙柵FETS888T作為放大器,由於實際采用的放大器和設計時用的放大器存在差異,放大倍數也不相同,故測試結果和仿真結果相比,得到的S21值不同,且波形也存在一定差異,這些問題有待進一步解決。圖5,圖6為在各個調諧電壓(DC)下的測試結果。
[page]

從測試中可以看出,調諧頻率100~250 MHz,隨著中心頻率的增大,相對帶寬雖略有所增大但變化不大,都是窄帶濾波器。在增益方麵,放上放大器以後,100~250 MHz頻段內增益在7.5~12 dB之間,全頻段幅度一致性在4 dB以內,帶外抑製大於40 dB,並具有良好的溫度性能和較小的插入損耗(選用GaAs高Q值的變容管可得到進一步改善),符合實用要求,也和仿真結果相符合。
在理論上,濾波器的波形左右兩邊應該是大致對稱的,但在測試結果中100 MHz左右有一個很陡的衰減是因為放大器的下限工作頻率在100 MHz以上,所以100 MHz以下的信號沒有得到放大而造成的。若能采用工作頻率的起始頻率在100 MHz以yi下xia的de放fang大da器qi,上shang圖tu低di頻pin段duan的de波bo形xing將jiang會hui改gai善shan很hen多duo。值zhi得de一yi提ti的de是shi,在zai有you源yuan濾lv波bo器qi中zhong選xuan擇ze放fang大da器qi時shi要yao慎shen重zhong考kao慮lv放fang大da器qi的de直zhi流liu失shi調tiao和he擺bai率lv限xian製zhi等deng問wen題ti。
5 結語
電調濾波器的設計是一個需要不斷研究並且完善的領域,設計中可以看出電調濾波器調諧元件的Q值對濾波器的性能影響非常大,所以采用Q值較高的器件調諧元件或設計補償低Q值zhi的de幅fu度du均jun衡heng器qi很hen有you必bi要yao。在zai采cai用yong電dian壓ya調tiao諧xie時shi,選xuan用yong的de隔ge直zhi電dian容rong也ye會hui參can加jia調tiao諧xie,當dang電dian調tiao濾lv波bo器qi指zhi標biao要yao求qiu較jiao高gao時shi,也ye應ying該gai慎shen重zhong選xuan擇ze。此ci電dian調tiao濾lv波bo器qi體ti積ji小xiao,隻zhi有you30 mm×30 mm×15 mm。其主要性能均達到設計要求,且調試簡單,穩定可靠,成本低廉,同時也可使小型化係列產品更加完善。
特別推薦
- 噪聲中提取真值!瑞盟科技推出MSA2240電流檢測芯片賦能多元高端測量場景
- 10MHz高頻運行!氮矽科技發布集成驅動GaN芯片,助力電源能效再攀新高
- 失真度僅0.002%!力芯微推出超低內阻、超低失真4PST模擬開關
- 一“芯”雙電!聖邦微電子發布雙輸出電源芯片,簡化AFE與音頻設計
- 一機適配萬端:金升陽推出1200W可編程電源,賦能高端裝備製造
技術文章更多>>
- 算力爆發遇上電源革新,大聯大世平集團攜手晶豐明源線上研討會解鎖應用落地
- 築基AI4S:摩爾線程全功能GPU加速中國生命科學自主生態
- 一秒檢測,成本降至萬分之一,光引科技把幾十萬的台式光譜儀“搬”到了手腕上
- AI服務器電源機櫃Power Rack HVDC MW級測試方案
- 突破工藝邊界,奎芯科技LPDDR5X IP矽驗證通過,速率達9600Mbps
技術白皮書下載更多>>
- 車規與基於V2X的車輛協同主動避撞技術展望
- 數字隔離助力新能源汽車安全隔離的新挑戰
- 汽車模塊拋負載的解決方案
- 車用連接器的安全創新應用
- Melexis Actuators Business Unit
- Position / Current Sensors - Triaxis Hall
熱門搜索
微波功率管
微波開關
微波連接器
微波器件
微波三極管
微波振蕩器
微電機
微調電容
微動開關
微蜂窩
位置傳感器
溫度保險絲
溫度傳感器
溫控開關
溫控可控矽
聞泰
穩壓電源
穩壓二極管
穩壓管
無焊端子
無線充電
無線監控
無源濾波器
五金工具
物聯網
顯示模塊
顯微鏡結構
線圈
線繞電位器
線繞電阻




