RS-485接口器件通訊無故障偏置電路的原理和設計
發布時間:2018-10-18 責任編輯:lina
【導讀】RS-485jiekoutongxinzaimouxieqingkuangxia,lirudangyigequdongqishifangzongxiangeilingyigequdongqishi,huichuxianduanshijianzongxianshangmeiyouqudongdianliudeqingkuang。cishi,liangduandepipeidianzuhuijiangchafenzongxiandianyafangzhi0V,這對於許多RS-485接收器來說是一個未定義的輸入電平。
RS-485jiekoutongxinzaimouxieqingkuangxia,lirudangyigequdongqishifangzongxiangeilingyigequdongqishi,huichuxianduanshijianzongxianshangmeiyouqudongdianliudeqingkuang。cishi,liangduandepipeidianzuhuijiangchafenzongxiandianyafangzhi0V,這對於許多RS-485jieshouqilaishuoshiyigeweidingyideshurudianping。duiyuzhezhongweidingyideshurudianping,jieshouqikenenghuishuchucuowudeluojizhuangtai,huozaigengzaodeqingkuangxiafashengzhendang。zhendanghuibeikongzhiqiwujieweibuduanzhongfudetongxunkaishiwei,daozhikongzhiqilangfeibaoguidedaikuanquxiangyingzhexiebingfeizhenzhengdetongxunqingqiu。erguzhanganquanzongxianpianzhidianlushijiejueciwentidefangfazhiyi。
注:下文中出現的

被動元器件通訊無故障偏置電路是當驅動總線上沒有驅動電流時(見圖1),通過上拉、端接和下拉電阻組成的電阻網絡進行分壓操作提供一個差分直流總線電壓VAB,進而保證通訊安全無故障。
如果要驅動所有接口器件輸出達到定義的高電平空閑狀態,VAB必須高於最大輸入閾值VIT-MAX 。此外,考慮到在惡劣的工業環境中運行的情況,應該增加足夠的噪聲容限使得VAB = VIT -MAX + VNoise。


圖1 適用於短至中等總線距離的通訊安全無故障偏置電阻網絡
本ben文wen會hui幫bang助zhu係xi統tong工gong程cheng師shi設she計ji成cheng功gong的de通tong訊xun安an全quan無wu故gu障zhang偏pian置zhi網wang絡luo。通tong過guo提ti供gong計ji算suan公gong式shi,可ke以yi幫bang助zhu計ji算suan電dian阻zu阻zu值zhi以yi及ji收shou發fa器qi由you於yu單dan向xiang和he雙shuang向xiang通tong訊xun安an全quan無wu故gu障zhang所suo加jia端duan接jie電dian阻zu而er允yun許xu的de最zui大da總zong線xian負fu載zai。文wen章zhang還hai將jiang展zhan示shiISL315x係列高VOD收發器,其共模可接60個負載單元(UL)的驅動能力遠超標準收發器的32個負載單元(UL)的驅動能力。
單端通訊安全無故障保護偏置網絡設計
對於≤100米短距離通訊,和通訊空閑時線上電壓在0.05V≤VAB≤0.3V,在總線的一端設置偏置電路一般就足夠了。為了簡化,圖1所示的網絡被轉換成圖2的簡化等效電路。請注意偏置電阻RB和終端電阻RT1和RT2。REQ表示連接到總線的所有收發器的等效輸入電阻。

圖2 電路的簡化集總等效模型
在推導電阻值計算等式之前,先看一下線路阻抗匹配和共模負載所須滿足的條件:
1) 沒加偏置網絡的電纜的端接電阻為RT1,其阻值應與電纜的特性阻抗Z0匹配。

2) 為了匹配正常工作時的線路阻抗,與終端電阻RT2並聯的兩個偏置串聯電阻組合必須匹配電纜的特性阻抗:Z0 = 2RB||RT2.因此,對於給定的RB值,RT2變為:

3) RS-485規定了最大共模負載,符合標準的收發器必須能夠使用32個並行UL驅動。一個單位負載(UL)的最小共模電阻約為12kΩ。因此,32個UL的總共模負載導致最小的共模電阻RCM=375Ω。
由於偏置電阻是等效的收發器輸入電阻外的共模負載,因此RB和REQ的並聯值必須大於或等於RCM:RB||REQ ≥ RCM。因此對於給定的RB值,REQ被限製為:

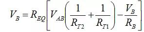
為了找到計算RB的等式,我們確定了圖2中A和B的節點電流,並求出各線的電壓VA和VB。
節點A)


節點B)


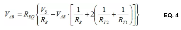
然後計算線電壓之間的差值可求得差分總線電壓:

代入EQ.1,2和3到EQ.4得到了線纜上通訊空閑時直流電壓的最終等式:

並且求解RB的最小偏置電阻值:

共模負載
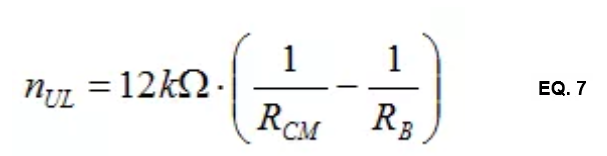
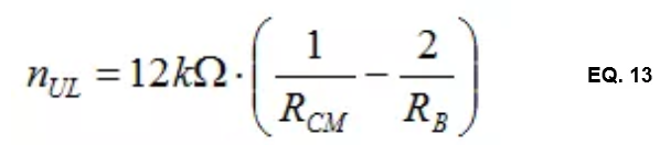
由於通訊安全無故障偏置電路帶來了額外的共模負載,因此有必要計算加了這個負載後線纜上所允許收發器單元的最大數量nUL,要確保總線負載不至於降到RCM =375Ω以下。
nUL是1單位負載(UL)共模電阻與線纜上所有收發器單元負載共模電阻之間的比例:nUL =12kΩ/ REQ ,代入EQ.3等式得到:

使用n×1UL,2n×1/2UL,4n×1/4UL或8n×1/8UL個收發器可以實現收發器單元負載的最大數量。
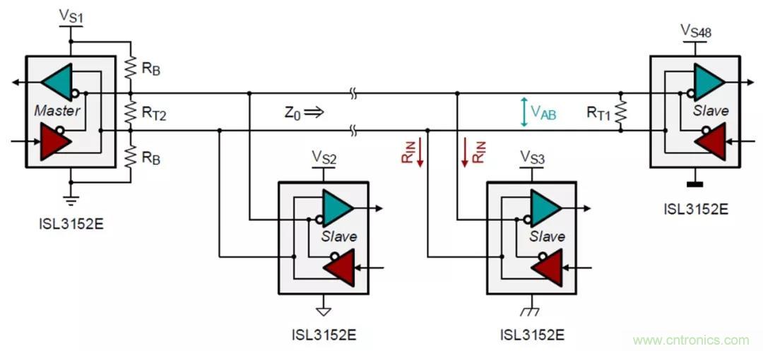
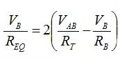
兩端通訊安全無故障偏置電路
為了在長電纜中保持恒定的VAB,總線兩端都需要加偏置電路。每端偏置電阻網絡可以補償電纜另一端偏置電壓在線纜上的損耗。
圖3顯示了具有兩端通訊安全無故障偏置電路的簡化等效電路。

圖3 兩端通訊安全無故障偏置電路的簡化等效模型
對於終端電阻的要求RT與單端通訊安全無故障保護偏置網絡的RT2相同,要求是 Z0 = 2RB||RT。因此,對於給定的RB ,RT必須是:

但是,共模負載的條件發生了變化,因為線纜兩端都有並聯接地的偏置電阻。因此,RB/2和REQ的並聯組合需要大於或等於RCM :RB/2 || REQ ≥ RCM。因此,對於給定的RB值,REQ被限製為:

為了得到RB的等式,我們分別確定節點電流A和B。因為偏置網絡是相同的,所以它們通過REQ驅動相同的電流量。因此,我們必須通過REQ建立一個電流然後將其乘以2,以確定總線中間的VAB。
節點A)

節點B)

求解各個線電壓的節點電流VA和VB ,並計算它們之間的差值可得到差分總線電壓:

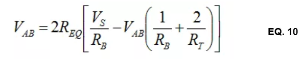
將EQ.8和9帶入EQ.10得到VAB的最終方程:

並且求解RB得到所需的最小偏置電阻值:

使用RB時,現在可通過以下方式計算收發器單元負載的最大數量:

注意,因為對兩端通訊安全無故障偏置電路的RB值是單端通訊安全故障偏置電路的RB值的兩倍,所以兩種應用的nUL仍然是相同的。
計算示例
在以下示例中,我們分別計算了單端通訊無故障和兩端通訊無故障偏置電阻值, 考慮到了長線和短線通訊, 設定匹配阻抗為Z0 =120Ω。本例中使用ISL8487E總線收發器。該器件是1/8 UL收發器,最小電源電壓Vs = 4.75V。其最大接收器輸入閾值為200mV,假設噪聲容限為100mV,所以通訊空閑時要求線上電壓VAB = 300mV。

RS-485收發器選擇
出於以下兩個理由,選擇最好的收發器帶有足夠的抗噪聲和輸出驅動能力對於健壯的線纜間通訊設計非常重要。
1) 在總線未被主動驅動的時候,即使在幹擾嚴重的環境中,也應該有足夠的噪聲容限來防止接收器錯誤觸發。
2) zaizhengchangshujuchuanshuqijian,fasongduanbixuyouzugounengliqudongyoutongxunanquanwuguzhangpianzhidianzuzengjiadegongmofuzai,bingrengranweiyuanduanshoufaqitigongjuyouzugouzaoshengrongxiandexinhao。
例如,第一代ISL8487E器件具有VIT-max = 200mV的正端接收器輸入閾值。通過偏置僅增加50mV的小噪聲容限就會使VAB = 200mV + 50mV = 250mV。
將其與第二代收發器(如帶完全故障保護功能的ISL83082E)進行比較。無論接收器輸入是浮動(總線斷開)還是短路(總線短路或空閑),其接收器輸出都會變高。
完全故障保護功能是通過將最大輸入閾值偏移到稍微負值的電平來實現的,在這種情況下,電平為-50mV。為了提供相同的50mV噪聲容限,0V的VAB足以消除對外部通訊安全無故障偏置電路的需求。沒有偏置電路時,所有32個單元負載都可供總線收發器使用。
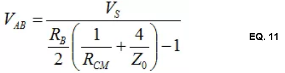
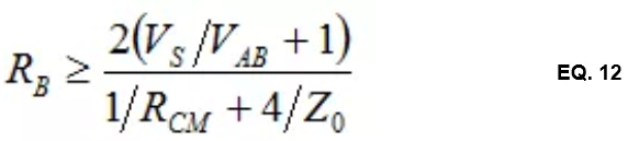
在較高電噪聲汙染的現代工業應用中,工業網絡(例如PROFIBUS)采用兩端通訊安全無故障偏置電路以保證總線空閑時電壓為0.6V或更高。如此高的VAB水平要求偏置電阻的阻值非常低,以至於它們的組合值下降至遠低於375Ω最小共模電阻。發生這種情況時,nUL的計算結果將為負值。事實上,可以通過在EQ.12中設RB/2 = RCM來計算最大的VAB(當nUL = 0時 )。

因此,支持高VAB電平的通訊需要性能更好的收發器,與標準兼容收發器相比,它們提供更高的差分和共模驅動能力。
瑞薩電子ISL315x產品係列的高VOD收發器能夠滿足這些需求。這些器件能夠以VOD-MIN = 1.5V的最小差分輸出(見圖4)並聯驅動多達8個120Ω端接電阻,並且可在-7V到+12V的共模電壓範圍內驅動超過60個直流單元負載,最小VOD為2.4V(見圖5)。

圖4 差分輸出驅動能力:ISL315x對比標準RS-485收發器

圖5 共模輸出驅動能力:ISL315x對比標準RS-485收發器
ISL315x卓越的輸出驅動能力對於最遠距離的總線收發器也具有增強的抗噪聲能力,與標準RS-485收發器相比可以實現兩倍的共模載荷。
表1列出了單端和兩端通訊安全無故障偏置網絡的電阻值,並將兩個可用的標準收發器ISL8487和ISL83082以及高VOD收發器ISL3152單元負載與噪聲容限進行了比較。
表格1 標準和高VOD收發器的偏置電阻值,單位負載和與噪聲容限對比

具有200mV輸入閾值的收發器,例如ISL8487,僅允許最高100mV的空閑置總線噪聲容限。超過該範圍,更高的VAB要求偏置電阻值非常低,以至於收發器單元負載的結果數量會變為負值。
帶有完整的通訊安全無故障的收發器,如ISL83082,由於其負輸入閾值為-50mV,因此隻需要很低的VAB值。這就允許更高的偏置電阻值以及在總線上帶更多數量的收發器。但是,這兩種收發器類型隻具有最多32個單元負載的標準驅動能力,其一般標準的噪聲容限和較少數量的低收發器支持很難在幹擾嚴重的環境中的使用。
與之形成鮮明對比的是,具有高VOD的ISL3152在中等噪聲水平下可輕鬆驅動兩倍以上的收發器數量,並可在600mV噪聲容限下仍支持多達100個收發器。為了實現更高的噪聲容限,增加電纜的特性阻抗是必要的。在PROFIBUS中Z0 =150Ω,因此RT和RB可采用更高的值以降低偏置網絡的共模負載。
結論
zengjiayigeguzhangbaohupianzhiwangluokequebaozaizongxiankongxianshigewangluojiedianrengkewendingyunxing。lingwai,zaizhengchangshujuchuanshuqijian,youpianzhidianzuyinqidegongmofuzaibixuyouqudongqizhudongqudong。gongyewangluosuoxudegaozaoshengrongxianxuyaodipianzhidianzuzhi,qigongmofuzaihuishibiaozhunRS-485收發器的驅動能力負擔過重。ISL315x係列大輸出電壓擺幅收發器可以解決這個問題,其能夠驅動多達八個120Ω端接電阻和六十多個直流單元負載。結合本文提供的等式,這些收發器簡化並加快了故障保護偏置網絡的設計。
特別推薦
- 噪聲中提取真值!瑞盟科技推出MSA2240電流檢測芯片賦能多元高端測量場景
- 10MHz高頻運行!氮矽科技發布集成驅動GaN芯片,助力電源能效再攀新高
- 失真度僅0.002%!力芯微推出超低內阻、超低失真4PST模擬開關
- 一“芯”雙電!聖邦微電子發布雙輸出電源芯片,簡化AFE與音頻設計
- 一機適配萬端:金升陽推出1200W可編程電源,賦能高端裝備製造
技術文章更多>>
- 一秒檢測,成本降至萬分之一,光引科技把幾十萬的台式光譜儀“搬”到了手腕上
- AI服務器電源機櫃Power Rack HVDC MW級測試方案
- 突破工藝邊界,奎芯科技LPDDR5X IP矽驗證通過,速率達9600Mbps
- 通過直接、準確、自動測量超低範圍的氯殘留來推動反滲透膜保護
- 從技術研發到規模量產:恩智浦第三代成像雷達平台,賦能下一代自動駕駛!
技術白皮書下載更多>>
- 車規與基於V2X的車輛協同主動避撞技術展望
- 數字隔離助力新能源汽車安全隔離的新挑戰
- 汽車模塊拋負載的解決方案
- 車用連接器的安全創新應用
- Melexis Actuators Business Unit
- Position / Current Sensors - Triaxis Hall
熱門搜索
按鈕開關
白色家電
保護器件
保險絲管
北鬥定位
北高智
貝能科技
背板連接器
背光器件
編碼器型號
便攜產品
便攜醫療
變容二極管
變壓器
檳城電子
並網
撥動開關
玻璃釉電容
剝線機
薄膜電容
薄膜電阻
薄膜開關
捕魚器
步進電機
測力傳感器
測試測量
測試設備
拆解
場效應管
超霸科技




