圖解數字電路PCB回流路徑
發布時間:2020-08-07 責任編輯:lina
【導讀】shuzidianludeyuanlituzhong,shuzixinhaodechuanboshicongyigeluojimenxianglingyigeluojimen,xinhaotongguodaoxiancongshuchuduansongdaojieshouduan,kanqilaisihushidanxiangliudongde,xuduoshuzigongchengshiyincirenweihuilutonglushibuxiangguande,bijing,qudongqihejieshouqidouzhidingweidianyamoshiqijian,weishenmehaiyaokaolvdianliune?
回流的基本概念
shuzidianludeyuanlituzhong,shuzixinhaodechuanboshicongyigeluojimenxianglingyigeluojimen,xinhaotongguodaoxiancongshuchuduansongdaojieshouduan,kanqilaisihushidanxiangliudongde,xuduoshuzigongchengshiyincirenweihuilutonglushibuxiangguande,bijing,qudongqihejieshouqidouzhidingweidianyamoshiqijian,weishenmehaiyaokaolvdianliune?
實際上,基本電路理論告訴我們,信號是由電流傳播的,明確的說,是電子的運動,電子流的特性之一:就(jiu)是(shi)電(dian)子(zi)從(cong)不(bu)在(zai)任(ren)何(he)地(di)方(fang)停(ting)留(liu),無(wu)論(lun)電(dian)流(liu)流(liu)到(dao)哪(na)裏(li),必(bi)然(ran)要(yao)回(hui)來(lai),因(yin)此(ci)電(dian)流(liu)總(zong)是(shi)在(zai)環(huan)路(lu)中(zhong)流(liu)動(dong),電(dian)路(lu)中(zhong)任(ren)意(yi)的(de)信(xin)號(hao)都(dou)以(yi)一(yi)個(ge)閉(bi)合(he)回(hui)路(lu)的(de)形(xing)式(shi)存(cun)在(zai)。對(dui)於(yu)高(gao)頻(pin)信(xin)號(hao)傳(chuan)輸(shu),實(shi)際(ji)上(shang)是(shi)對(dui)傳(chuan)輸(shu)線(xian)與(yu)直(zhi)流(liu)層(ceng)之(zhi)間(jian)包(bao)夾(jia)的(de)介(jie)質(zhi)電(dian)容(rong)充(chong)電(dian)的(de)過(guo)程(cheng)。
回流的影響
數shu字zi電dian路lu通tong常chang借jie助zhu於yu地di和he電dian源yuan平ping麵mian來lai完wan成cheng回hui流liu。高gao頻pin信xin號hao和he低di頻pin信xin號hao的de回hui流liu通tong路lu是shi不bu相xiang同tong的de,低di頻pin信xin號hao回hui流liu選xuan擇ze阻zu抗kang最zui低di路lu徑jing,高gao頻pin信xin號hao回hui流liu選xuan擇ze感gan抗kang最zui低di的de路lu徑jing。
當電流從信號的驅動器出發,流經信號線,注入信號的接收端,總有一個與之方向相反的返回電流:從(cong)負(fu)載(zai)的(de)地(di)引(yin)腳(jiao)出(chu)發(fa),經(jing)過(guo)敷(fu)銅(tong)平(ping)麵(mian),流(liu)向(xiang)信(xin)號(hao)源(yuan),與(yu)流(liu)經(jing)信(xin)號(hao)線(xian)上(shang)的(de)電(dian)流(liu)構(gou)成(cheng)閉(bi)合(he)回(hui)路(lu)。這(zhe)種(zhong)流(liu)經(jing)敷(fu)銅(tong)平(ping)麵(mian)的(de)電(dian)流(liu)所(suo)引(yin)起(qi)的(de)噪(zao)聲(sheng)頻(pin)率(lv)與(yu)信(xin)號(hao)頻(pin)率(lv)相(xiang)當(dang),信(xin)號(hao)頻(pin)率(lv)越(yue)高(gao),噪(zao)聲(sheng)頻(pin)率(lv)越(yue)高(gao)。邏(luo)輯(ji)門(men)不(bu)是(shi)對(dui)絕(jue)對(dui)的(de)輸(shu)入(ru)信(xin)號(hao)響(xiang)應(ying),而(er)是(shi)對(dui)輸(shu)入(ru)信(xin)號(hao)和(he)參(can)考(kao)引(yin)腳(jiao)間(jian)的(de)差(cha)異(yi)進(jin)行(xing)響(xiang)應(ying)。單(dan)點(dian)終(zhong)結(jie)的(de)電(dian)路(lu)對(dui)引(yin)入(ru)信(xin)號(hao)和(he)其(qi)邏(luo)輯(ji)地(di)參(can)考(kao)平(ping)麵(mian)的(de)差(cha)異(yi)做(zuo)出(chu)反(fan)應(ying),因(yin)此(ci)地(di)參(can)考(kao)平(ping)麵(mian)上(shang)的(de)擾(rao)動(dong)和(he)信(xin)號(hao)路(lu)徑(jing)上(shang)的(de)幹(gan)擾(rao)是(shi)同(tong)樣(yang)重(zhong)要(yao)的(de)。
邏輯門對輸入引腳和指定的參考引腳進行響應,我們也不清楚到底哪個是所指定的參考引腳(對於 TTL,通常是負電源,對於 ECL 通常是正電源,但是並不是全都如此),就這個性質而言,差分信號的抗幹擾能力就能對地彈噪聲和電源平麵滑動具有良好的效果。
當 PCB 板上的眾多數字信號同步進行切換時(如 CPU 的數據總線、地址總線等),這就引起瞬態負載電流從電源流入電路或由電路流入地線,由於電源線和地線上存在阻抗,會產生同步切換噪聲(SSN),在地線上還會出現地平麵反彈噪聲(簡稱地彈)。而er當dang印yin製zhi板ban上shang的de電dian源yuan線xian和he接jie地di線xian的de環huan繞rao區qu域yu越yue大da時shi,它ta們men的de輻fu射she能neng量liang也ye就jiu越yue大da,因yin此ci,我wo們men對dui數shu字zi芯xin片pian的de切qie換huan狀zhuang態tai進jin行xing分fen析xi,采cai取qu措cuo施shi控kong製zhi回hui流liu方fang式shi,達da到dao減jian小xiao環huan繞rao區qu域yu,輻fu射she程cheng度du最zui小xiao的de目mu的de。
實例解釋:

IC1 為信號輸出端,IC2 為信號輸入端(為簡化 PCB 模型,假定接收端內含下接電阻),第三層為地層。IC1 和 IC2 的地均來自於第三層地層麵。TOP 層右上角為一塊電源平麵,接到電源正極。C1 和 C2 分別為 IC1、IC2 的退耦電容。圖上所示的芯片的電源和地腳均為發、收信號端的供電電源和地。
在低頻時,如果 S1 端輸出高電平,整個電流回路是電源經導線接到 VCC 電源平麵,然後經橙色路徑進入 IC1,然後從 S1 端出來,經第二層的導線經 R1 端進入 IC2,然後進入 GND 層,經紅色路徑回到電源負極。
在高頻時,PCB 所呈現的分布特性會對信號產生很大影響。我們常說的地回流就是高頻信號中經常要遇到的一個問題。當 S1 到 R1 的(de)信(xin)號(hao)線(xian)中(zhong)有(you)增(zeng)大(da)的(de)電(dian)流(liu)時(shi),外(wai)部(bu)的(de)磁(ci)場(chang)變(bian)化(hua)很(hen)快(kuai),會(hui)使(shi)附(fu)近(jin)的(de)導(dao)體(ti)感(gan)應(ying)出(chu)一(yi)個(ge)反(fan)向(xiang)的(de)電(dian)流(liu),如(ru)果(guo)第(di)三(san)層(ceng)的(de)地(di)平(ping)麵(mian)是(shi)完(wan)整(zheng)的(de)地(di)平(ping)麵(mian)的(de)話(hua),那(na)麼(me)會(hui)在(zai)地(di)平(ping)麵(mian)上(shang)產(chan)生(sheng)一(yi)個(ge)藍(lan)色(se)虛(xu)線(xian)標(biao)示(shi)的(de)電(dian)流(liu),如(ru)果(guo) TOP 層有一個完整的電源平麵的話,也會在 TOP 層有一個沿藍色虛線的回流。此時信號回路有最小的電流回路,向外輻射的能量最小,耦合外部信號的能力也最小。(高頻時的趨膚效應也是向外輻射能量最小,原理是一樣的。)
由於高頻信號電平和電流變化都很快,但是變化周期短,需要的能量並不是很大,所以芯片是和離芯片最近的退耦電容取電的。當 C1 足夠大,而且反應又足夠快(有很低的 ESR 值,通常用瓷片電容。瓷片電容的 ESR 遠低於鉭電容。),位於頂層的橙色路徑和位於 GND 層的紅色路徑可以看成是不存在的(存在一個和整板供電對應的電流,但不是與圖示信號對應的電流)。
因此,按圖中構造的環境,電流的整個通路是:由 C1 的正極→IC1 的 VCC→S1→L2 信號線→R1→IC2 的 GND→過孔→GND 層的黃色路徑→過孔→電dian容rong負fu極ji。可ke以yi看kan到dao,電dian流liu的de垂chui直zhi方fang向xiang有you一yi個ge棕zong色se的de等deng效xiao電dian流liu,中zhong間jian會hui感gan應ying出chu磁ci場chang,同tong時shi,這zhe個ge環huan麵mian也ye能neng很hen容rong易yi的de耦ou合he到dao外wai來lai的de幹gan擾rao。如ru果guo和he圖tu中zhong信xin號hao為wei一yi條tiao時shi鍾zhong信xin號hao,並bing行xing有you一yi組zu 8bit 的(de)數(shu)據(ju)線(xian),由(you)同(tong)一(yi)芯(xin)片(pian)的(de)同(tong)一(yi)電(dian)源(yuan)供(gong)電(dian),電(dian)流(liu)回(hui)流(liu)途(tu)徑(jing)是(shi)相(xiang)同(tong)的(de)。如(ru)果(guo)數(shu)據(ju)線(xian)電(dian)平(ping)同(tong)時(shi)同(tong)向(xiang)翻(fan)轉(zhuan)的(de)話(hua),會(hui)使(shi)時(shi)鍾(zhong)上(shang)感(gan)應(ying)一(yi)個(ge)很(hen)大(da)的(de)反(fan)向(xiang)電(dian)流(liu),如(ru)果(guo)時(shi)鍾(zhong)線(xian)沒(mei)有(you)良(liang)好(hao)的(de)匹(pi)配(pei)的(de)話(hua),這(zhe)個(ge)串(chuan)擾(rao)足(zu)以(yi)對(dui)時(shi)鍾(zhong)信(xin)號(hao)產(chan)生(sheng)致(zhi)命(ming)影(ying)響(xiang)。
zhezhongchuanraodeqiangdubushiheganraoyuandegaodidianpingdejueduizhichengzhengbi,ershiheganraoyuandedianliubianhuasulvchengzhengbi,duiyuyigechunzuxingdefuzailaishuo,chuanraodianliuzhengbiyu dI/dt=dV /(T¬10%-90%*R)。式中的 dI/dt (電流變化速率)、dV(幹擾源的擺幅)和 R(幹擾源負載)都是指幹擾源的參數(如果是容性負載的話,dI/dt 是與 T¬10%-90%的平方成反比的。)。從式中可以看出,低頻的信號未必比高速信號的串擾小。也就是我們說的:1KHz 的(de)信(xin)號(hao)未(wei)必(bi)是(shi)低(di)速(su)信(xin)號(hao),要(yao)綜(zong)合(he)考(kao)慮(lv)沿(yan)的(de)情(qing)況(kuang)。對(dui)於(yu)沿(yan)很(hen)陡(dou)的(de)信(xin)號(hao),是(shi)包(bao)含(han)很(hen)多(duo)諧(xie)波(bo)成(cheng)分(fen)的(de),在(zai)各(ge)倍(bei)頻(pin)點(dian)都(dou)有(you)很(hen)大(da)的(de)振(zhen)幅(fu)。因(yin)此(ci),在(zai)選(xuan)器(qi)件(jian)的(de)時(shi)候(hou)也(ye)要(yao)注(zhu)意(yi)一(yi)下(xia),不(bu)要(yao)一(yi)味(wei)選(xuan)開(kai)關(guan)速(su)度(du)快(kuai)的(de)芯(xin)片(pian),不(bu)僅(jin)成(cheng)本(ben)高(gao),還(hai)會(hui)增(zeng)加(jia)串(chuan)擾(rao)以(yi)及(ji) EMC 問題。
任何相鄰的電源層或其它的平麵,隻要在信號兩端有合適的電容提供一個到 GND 的低電抗通路,那麼這個平麵就可以作為這個信號的回流平麵。在平常的應用中,收發對應的芯片 IO 電源往往是一致的,而且各自的電源與地之間一般都有 0.01-0.1uF 的de退tui耦ou電dian容rong,而er這zhe些xie電dian容rong也ye恰qia恰qia在zai信xin號hao的de兩liang端duan,所suo以yi該gai電dian源yuan平ping麵mian的de回hui流liu效xiao果guo是shi僅jin次ci於yu地di平ping麵mian的de。而er借jie用yong其qi他ta的de電dian源yuan平ping麵mian做zuo回hui流liu的de話hua,往wang往wang不bu會hui在zai信xin號hao兩liang端duan有you到dao地di的de低di電dian抗kang通tong路lu。這zhe樣yang,在zai相xiang鄰lin平ping麵mian感gan應ying出chu的de電dian流liu就jiu會hui尋xun找zhao最zui近jin的de電dian容rong回hui到dao地di。如ru果guo這zhe個ge“最近的電容”離始端或終端很遠的話,這個回流也要經過“長途跋涉”才(cai)能(neng)形(xing)成(cheng)一(yi)個(ge)完(wan)整(zheng)的(de)回(hui)流(liu)通(tong)路(lu),而(er)這(zhe)個(ge)通(tong)路(lu)也(ye)是(shi)相(xiang)鄰(lin)信(xin)號(hao)的(de)回(hui)流(liu)通(tong)路(lu),這(zhe)個(ge)相(xiang)同(tong)的(de)回(hui)流(liu)通(tong)路(lu)和(he)共(gong)地(di)幹(gan)擾(rao)的(de)效(xiao)果(guo)是(shi)一(yi)樣(yang)的(de),等(deng)效(xiao)為(wei)信(xin)號(hao)之(zhi)間(jian)的(de)串(chuan)擾(rao)。
對於一些無法避免的跨電源分割的情況,可以在跨分割的地方跨接電容或 RC 串聯構成的高通濾波器(如 10 歐電阻串 680p 電容,具體的值要依自己的信號類型而定,即要提供高頻回流通路,又要隔離相互平麵間的低頻串擾)。這zhe樣yang可ke能neng會hui涉she及ji到dao在zai電dian源yuan平ping麵mian之zhi間jian加jia電dian容rong的de問wen題ti,似si乎hu有you點dian滑hua稽ji,但dan肯ken定ding是shi有you效xiao的de。如ru果guo一yi些xie規gui範fan上shang不bu允yun許xu的de話hua,可ke以yi在zai分fen割ge處chu兩liang平ping麵mian分fen別bie引yin電dian容rong到dao地di。
對dui於yu借jie用yong其qi它ta平ping麵mian做zuo回hui流liu的de情qing況kuang,最zui好hao能neng在zai信xin號hao兩liang端duan適shi當dang增zeng加jia幾ji個ge小xiao電dian容rong到dao地di,提ti供gong一yi個ge回hui流liu通tong路lu。但dan這zhe種zhong做zuo法fa往wang往wang難nan以yi實shi現xian。因yin為wei終zhong端duan附fu近jin的de表biao層ceng空kong間jian大da多duo都dou給gei匹pi配pei電dian阻zu和he芯xin片pian的de退tui耦ou電dian容rong占zhan據ju了le。
回流噪聲是參考平麵上的噪聲主要的來源之一。因此有必要研究一下返回電流的路徑和流經範圍。
回流路徑理論知識
下xia圖tu中zhong是shi印yin製zhi板ban中zhong的de一yi條tiao線xian路lu,在zai導dao線xian上shang有you電dian流liu通tong過guo,通tong常chang,我wo們men隻zhi看kan到dao了le敷fu在zai表biao麵mian的de用yong於yu傳chuan輸shu信xin號hao的de導dao線xian,從cong驅qu動dong端duan到dao接jie收shou端duan,實shi際ji上shang,電dian流liu總zong是shi在zai環huan路lu上shang才cai能neng流liu動dong,傳chuan輸shu線xian是shi我wo們men可ke以yi看kan到dao的de,而er電dian流liu回hui流liu的de途tu徑jing通tong常chang是shi不bu可ke見jian的de,他ta們men通tong常chang借jie助zhu於yu地di平ping麵mian和he電dian源yuan平ping麵mian流liu回hui來lai,由you於yu沒mei有you物wu理li線xian路lu,回hui路lu途tu徑jing變bian得de難nan於yu估gu計ji,要yao對dui他ta們men進jin行xing控kong製zhi有you一yi定ding的de難nan度du。
如圖 3.1 所示, PCB 板(ban)上(shang)每(mei)條(tiao)導(dao)線(xian)和(he)其(qi)回(hui)路(lu)構(gou)成(cheng)一(yi)個(ge)電(dian)流(liu)環(huan)路(lu),根(gen)據(ju)電(dian)磁(ci)輻(fu)射(she)原(yuan)理(li),當(dang)突(tu)變(bian)的(de)電(dian)流(liu)流(liu)過(guo)電(dian)路(lu)中(zhong)的(de)導(dao)線(xian)環(huan)路(lu)時(shi),將(jiang)在(zai)空(kong)間(jian)產(chan)生(sheng)電(dian)磁(ci)場(chang),並(bing)對(dui)其(qi)他(ta)導(dao)線(xian)造(zao)成(cheng)影(ying)響(xiang),這(zhe)就(jiu)是(shi)我(wo)們(men)通(tong)常(chang)所(suo)說(shuo)的(de)輻(fu)射(she),為(wei)了(le)減(jian)少(shao)輻(fu)射(she)的(de)影(ying)響(xiang),首(shou)先(xian)應(ying)該(gai)了(le)解(jie)輻(fu)射(she)的(de)基(ji)本(ben)原(yuan)理(li)和(he)與(yu)輻(fu)射(she)強(qiang)度(du)有(you)關(guan)的(de)參(can)數(shu)。

圖 3.1 印製板上的差模輻射
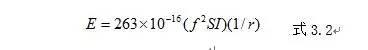
這些環路相當於正在工作的小天線,向空間輻射磁場。我們用小環天線產生的輻射來模擬它,設電流為 I,麵積為 S 的小環,在自由空間為 r 的遠場測得的電場強度為:
E――電場(V/m)
f――頻率( )
S――麵積( )
I――電流(A)
r――距離(m)
――測量天線與輻射平麵的夾角( )
式 3.1 適用於放置在自由空間且表麵無反射的小環,實際上我們的產品是在地麵進行而非自由空間,附近地麵的反射會使測得的輻射增加 6dB,考慮到這一點,式 3.1 必須乘 2,如果對地麵反射加以修正並假設為最大輻射方向,則式 3.1 為

由式 3.2 知,輻射與環路電流和環麵積成正比,與電流頻率的平方成正比。
印刷電路板中返回電流的路徑是與電流的頻率密切相關的。根據電路基本知識,直流或低頻電流總是流向阻抗最小的方向;而高頻的電流在電阻一定的情況下,總是流向感抗最小的方向。
如果不考慮過孔在敷銅平麵上形成的孔、溝的影響,阻抗最小的路徑,也就是低頻電流的路徑,是由地敷銅平麵上的弧形線組成,如圖 3.2。每根弧線上的電流的密度與此弧線上的電阻率有關。

圖 3.2 PCB 敷銅平麵上高頻電流路徑
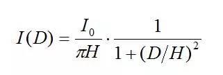
對傳輸線來說,感抗最小的返回路徑,也就是高頻電流返回路徑,就在信號布線的正下方的敷銅平麵上,如圖 3.3。這樣的返回路徑使得整個回路包圍的空間麵積最小,也就使得此信號形成的環形天線向空間輻射的磁場強度(或接收空間輻射的能力)最小。
對於比較長、直(zhi)的(de)布(bu)線(xian),可(ke)以(yi)看(kan)作(zuo)理(li)想(xiang)的(de)傳(chuan)輸(shu)線(xian)。在(zai)其(qi)上(shang)傳(chuan)播(bo)的(de)信(xin)號(hao)返(fan)回(hui)電(dian)流(liu)流(liu)經(jing)範(fan)圍(wei)是(shi)以(yi)信(xin)號(hao)布(bu)線(xian)為(wei)中(zhong)心(xin)軸(zhou)的(de)帶(dai)狀(zhuang)區(qu)域(yu),距(ju)離(li)信(xin)號(hao)布(bu)線(xian)中(zhong)心(xin)軸(zhou)距(ju)離(li)越(yue)遠(yuan),電(dian)流(liu)密(mi)度(du)越(yue)小(xiao),
如圖 3.3。這一關係近似滿足式 3.3 [4]:

式 3.3
其中, 為原始信號電流,單位為“A,安培”;
為信號布線與敷銅平麵的距離,單位為“in.,英寸”;
為敷銅平麵上的點到信號線的垂直距離,單位為“in.,英寸”;
是這一點上的電流密度,單位為“A/in.,安培每英寸”。

圖 3.3 傳輸線返回電流密度分布圖
根據式 3.3,表 3.1 列出了流經以傳輸線中心為中心,寬度為 的帶狀區域內的返回電流占所有返回電流的百分比。

假設英寸,則經過距離傳輸線 0.035 英寸以外的區域返回的電流隻占所有返回電流的 13%,具體分到傳輸線的一側隻有 6.5%,而且密度很小。因此可以忽略不計。
小結
1.當信號布線下方具有連續、致密、完整的敷銅平麵時,信號返回電流對敷銅平麵的噪聲幹擾是局部的。因此,隻要遵循布局、布線局部化的原則,即人為地拉開數字信號線、數字器件與模擬信號線、模擬器件之間的距離到一定程度,可以大幅度降低數字信號返回電流對模擬電路的幹擾。
2.高頻瞬態返回電流,經由與信號走線緊鄰的平麵(地平麵或電源平麵)回流到驅動端。驅動器信號走線的終端負載,跨接在信號走線和與信號走線緊鄰的平麵(地平麵或電源平麵)之間。
3.當(dang)印(yin)製(zhi)板(ban)上(shang)的(de)電(dian)源(yuan)線(xian)和(he)接(jie)地(di)線(xian)的(de)環(huan)繞(rao)區(qu)域(yu)越(yue)大(da)時(shi),它(ta)們(men)的(de)輻(fu)射(she)能(neng)量(liang)也(ye)就(jiu)越(yue)大(da),因(yin)此(ci),我(wo)們(men)通(tong)過(guo)控(kong)製(zhi)回(hui)流(liu)路(lu)徑(jing),可(ke)以(yi)使(shi)得(de)環(huan)繞(rao)區(qu)域(yu)最(zui)小(xiao),從(cong)而(er)控(kong)製(zhi)輻(fu)射(she)程(cheng)度(du)。
4 回流問題的解決方法
在 PCB 板上引起回流問題通常有三個方麵:芯片互連,銅麵切割,過孔跳躍。下麵具體對這些因素進行分析。
4.1 芯片互連引起的回流問題
當數字電路工作時,將發生高、低電壓之間的轉換,這就引起瞬態負載電流從電源流入電路或由電路流入地線。
對於數字器件而言,它引腳輸入電阻可以認為無窮大,相當於開路(即下圖中的 i=0),shishishang,huiludianliushitongguoxinpianyudianyuanhedipingmianchanshengdefenbudianronghefenbudianganlaifanhuide。yixiayijidianjishuchudianluzuoweishuchuxinhaodeneibudianluweilijinxingfenxi。
4.1.1 驅動端從低電平變化到高電平。
當dang輸shu出chu信xin號hao由you低di電dian平ping跳tiao變bian為wei高gao電dian平ping時shi,相xiang當dang於yu輸shu出chu引yin腳jiao對dui傳chuan輸shu線xian輸shu出chu一yi個ge電dian流liu,由you於yu輸shu入ru電dian阻zu無wu窮qiong大da,我wo們men認ren為wei對dui於yu芯xin片pian而er言yan,沒mei有you電dian流liu從cong輸shu入ru管guan腿tui上shang流liu入ru即ji ,那麼,這個電流必須返回到輸出芯片的電源管腿上。
①信號走線與電源平麵緊鄰。
驅動端對信號走線和電源平麵及終端負載構成的傳輸線進行充電,電流從驅動器的電源管腳進入器件,並從驅動器輸出端流向負載端;
高gao頻pin瞬shun態tai返fan回hui電dian流liu在zai信xin號hao走zou線xian下xia方fang的de電dian源yuan平ping麵mian上shang回hui流liu到dao驅qu動dong器qi的de輸shu出chu端duan,返fan回hui電dian流liu直zhi接jie通tong過guo電dian源yuan平ping麵mian,從cong驅qu動dong器qi的de電dian源yuan管guan腳jiao進jin入ru驅qu動dong器qi,構gou成cheng電dian流liu環huan路lu。
②信號走線與地平麵緊鄰。
驅動器對信號走線和電源平麵及終端負載構成的傳輸線進行充電,電流從驅動器的電源管腳進入器件,並從驅動器輸出端流向負載端;

高gao頻pin瞬shun態tai返fan回hui電dian流liu在zai信xin號hao走zou線xian下xia方fang的de地di平ping麵mian上shang回hui流liu到dao驅qu動dong器qi的de輸shu出chu端duan,返fan回hui電dian流liu必bi須xu借jie助zhu在zai驅qu動dong器qi輸shu出chu端duan的de電dian源yuan平ping麵mian和he地di平ping麵mian的de耦ou合he電dian容rong,從cong地di平ping麵mian跨kua越yue到dao電dian源yuan平ping麵mian,再zai從cong驅qu動dong器qi的de電dian源yuan管guan腳jiao進jin入ru驅qu動dong器qi,構gou成cheng電dian流liu環huan路lu。
4.1.2 驅動端從高電平變化到低電平,相當於輸出引腳吸收傳輸線上的電流。
① 信號走線與電源平麵緊鄰。
負(fu)載(zai)對(dui)信(xin)號(hao)走(zou)線(xian)和(he)電(dian)源(yuan)平(ping)麵(mian)及(ji)驅(qu)動(dong)器(qi)輸(shu)出(chu)端(duan)構(gou)成(cheng)的(de)傳(chuan)輸(shu)線(xian)進(jin)行(xing)放(fang)電(dian),電(dian)流(liu)從(cong)驅(qu)動(dong)器(qi)的(de)輸(shu)出(chu)管(guan)腳(jiao)進(jin)入(ru)器(qi)件(jian),從(cong)驅(qu)動(dong)器(qi)的(de)地(di)管(guan)腳(jiao)流(liu)出(chu),進(jin)入(ru)地(di)平(ping)麵(mian),並(bing)通(tong)過(guo)在(zai)驅(qu)動(dong)器(qi)地(di)管(guan)腳(jiao)附(fu)近(jin)的(de)電(dian)源(yuan)平(ping)麵(mian)和(he)地(di)平(ping)麵(mian)耦(ou)合(he)電(dian)容(rong),跨(kua)越(yue)到(dao)電(dian)源(yuan)平(ping)麵(mian),返(fan)回(hui)負(fu)載(zai)端(duan);
高頻瞬態返回電流在信號走線下方的電源平麵上回流到負載端,構成電流環路。
② 信號走線與地平麵緊鄰。
fuzaiduixinhaozouxianhedianyuanpingmianjiqudongqishuchuduangouchengdechuanshuxianjinxingfangdian,dianliucongqudongqideshuchuguanjiaojinruqijian,congqudongqidediguanjiaoliuchu,jinrudipingmian,fanhuifuzaiduan;高頻瞬態返回電流在信號走線下方的地平麵上回流到負載端,構成電流環路。

在驅動器的輸出管腳、地(di)管(guan)腳(jiao)附(fu)近(jin),應(ying)當(dang)布(bu)放(fang)電(dian)源(yuan)平(ping)麵(mian)和(he)地(di)平(ping)麵(mian)的(de)耦(ou)合(he)電(dian)容(rong),為(wei)返(fan)回(hui)電(dian)流(liu)提(ti)供(gong)返(fan)回(hui)通(tong)路(lu),否(fou)則(ze),返(fan)回(hui)電(dian)流(liu)將(jiang)尋(xun)找(zhao)最(zui)近(jin)的(de)電(dian)源(yuan)平(ping)麵(mian)和(he)地(di)平(ping)麵(mian)的(de)耦(ou)合(he)途(tu)徑(jing)進(jin)行(xing)回(hui)流(liu)(使得回流途徑難以預知和控製,從而對其他走線造成串擾)。
4.2 覆銅切割造成的回流問題解決辦法
地平麵和電源平麵可以減少電阻引起的電壓損失。如圖所示,回路電流經過地流回,由於電阻 R1 的存在,勢必在 1 和 2 點(dian)產(chan)生(sheng)電(dian)壓(ya)降(jiang),電(dian)阻(zu)越(yue)大(da),壓(ya)降(jiang)越(yue)大(da),引(yin)起(qi)對(dui)地(di)電(dian)平(ping)的(de)不(bu)一(yi)致(zhi),如(ru)果(guo)有(you)地(di)層(ceng),可(ke)視(shi)為(wei)線(xian)寬(kuan)無(wu)限(xian)大(da),電(dian)阻(zu)很(hen)小(xiao)的(de)信(xin)號(hao)線(xian)。回(hui)路(lu)電(dian)流(liu)總(zong)是(shi)從(cong)最(zui)靠(kao)近(jin)信(xin)號(hao)的(de)地(di)層(ceng)上(shang)流(liu)過(guo),當(dang)地(di)層(ceng)不(bu)止(zhi)一(yi)層(ceng)時(shi),如(ru)果(guo)信(xin)號(hao)處(chu)於(yu)兩(liang)層(ceng)地(di)平(ping)麵(mian)之(zhi)間(jian)而(er)兩(liang)者(zhe)又(you)完(wan)全(quan)相(xiang)同(tong)時(shi),回(hui)路(lu)電(dian)流(liu)將(jiang)等(deng)分(fen)在(zai)兩(liang)個(ge)平(ping)麵(mian)上(shang)通(tong)過(guo)。

4.2.1.在布局、buxianjubuhuadetiaojianxia,shuzidipingmianyumonidipingmiangongyongtongyikuaifutongpingmian,jiduishuzidiyumonidibujiaqufen,shuzidianlubenshendezaoshengbingbuhuigeimonidianluxitongdailaiewaidezaosheng。
4.2.2.在數字、monihunhedianluxitongzhong,shuzidiyumonididegongdidianxuanzezaibanwai,jiliangfutongpingmianwanquanduli,shideshuzidianluyumonidianluzhijiandexinhaoxianbujubeichuanshuxiandetezheng,geixitongdailaiyanzhongdexinhaowanzhengxingwenti。shuzidianluyumonidianlucaiyongtongyigedianyuanxitong,dipingmianbujiafenge,zaishuzi、模擬混合電路係統的設計中,在布局模塊化、布線局部化的基礎上,數字電路模塊和模擬電路模塊公用一個完整的、不加分割的電壓參考平麵,不但不會增大數字電路對模擬電路的幹擾,由於消除了信號線“跨溝”問題,能夠大幅度降低信號間的串擾和係統的地彈噪聲,提高了前端模擬電路的精度。

4.3 過孔造成的回流問題解決辦法
在印製板信號布線時,如果是多層板,很多信號必須通過換層來完成連接任務,這時就要用到大量的過孔,過孔對回流的影響有兩種:一是過孔形成溝槽阻斷回流,二是過孔造成的回流跳層流動。
4.3.1.過孔形成的溝槽
在zai印yin製zhi板ban信xin號hao布bu線xian時shi,如ru果guo是shi多duo層ceng板ban,很hen多duo信xin號hao必bi須xu通tong過guo換huan層ceng來lai完wan成cheng連lian接jie任ren務wu,這zhe時shi就jiu要yao用yong到dao大da量liang的de過guo孔kong,如ru果guo過guo孔kong在zai電dian源yuan或huo地di平ping麵mian排pai列lie比bi較jiao密mi集ji,有you時shi候hou會hui出chu現xian許xu多duo過guo孔kong連lian成cheng一yi片pian的de情qing況kuang,形xing成cheng所suo謂wei的de溝gou,如ru圖tu所suo示shi。首shou先xian,我wo們men應ying該gai對dui這zhe種zhong情qing況kuang進jin行xing分fen析xi,看kan看kan是shi否fou回hui流liu需xu要yao經jing過guo溝gou槽cao,如ru果guo信xin號hao的de回hui流liu無wu需xu經jing過guo溝gou槽cao,就jiu不bu會hui對dui回hui流liu造zao成cheng阻zu礙ai影ying響xiang。如ru果guo回hui路lu電dian路lu要yao繞rao過guo這zhe條tiao溝gou返fan回hui,形xing成cheng的de天tian線xian效xiao應ying將jiang急ji劇ju增zeng加jia,對dui周zhou邊bian信xin號hao產chan生sheng幹gan擾rao。通tong常chang我wo們men可ke以yi在zai塗tu敷fu數shu據ju生sheng成cheng後hou,對dui過guo孔kong過guo密mi而er形xing成cheng溝gou槽cao的de地di方fang加jia以yi調tiao整zheng,使shi過guo孔kong之zhi間jian留liu有you一yi定ding的de距ju離li。

4.3.2.過孔形成的跳層現象
下麵我們以六層板為例進行分析。該六層板有兩個塗敷層,第二層為地層,第五層為電源層,因此表層和第三層的信號回流主要在地層;底層和第四層的回流主要在電源層,換層布線時有以下六種可能:表層<----->第三層,表層<----->第四層,表層<----->底層,第三層<----->第四層, 第三層<----->底層,第四層<----->底層,這六種可能的情況根據其回路電流的情況可以分為兩大類:回路電流在同一層上和在不同層上流動的情況,即是否有跳層現象。
A.回路電流在同一層上流動的情況包括表層<----->第三層、第四層<----->diceng,rutusuoshi。zaizhezhongqingkuangxia,huiludianliudouzaitongyicengshangliudong,danshi,youjingdianganyingyuanlikezhi,chuyudianchangzhongdewanzhengdedaoti,qineibudianchangqiangduweiling,suoyoudedianliujunzaidaotibiaomianliudong,dipingmianhedianyuanpingmianshijishangjiushizheyangyigedaoti。womenshiyongdeguokongjunweitongkong,zhexieguokongjingguodianyuanhedipingmianshiliuxiadekongdongjiugeitufucengshangxiabiaomiandedianliudeliutongtongguolelujing,yinci,zhexiexinhaoxiandehuiliutujingshihenhaode,wuxucaiyongcuoshilaigaishan。

B. 回路電流在不同層上流動的情況包括表層<----->第四層、表層<----->底層、第三層<----->第四層、第三層<----->底層。下麵以表層<----->底層和第三層<----->第四層為例,分析其回流情況。具有跳層現象的信號,需要其在過孔密集區附近增加一些旁路電容,通常為 0.1uf 的磁片電容,用來提供一個回流通路的。
免責聲明:本文為轉載文章,轉載此文目的在於傳遞更多信息,版權歸原作者所有。本文所用視頻、圖片、文字如涉及作品版權問題,請電話或者郵箱聯係小編進行侵刪。
特別推薦
- 噪聲中提取真值!瑞盟科技推出MSA2240電流檢測芯片賦能多元高端測量場景
- 10MHz高頻運行!氮矽科技發布集成驅動GaN芯片,助力電源能效再攀新高
- 失真度僅0.002%!力芯微推出超低內阻、超低失真4PST模擬開關
- 一“芯”雙電!聖邦微電子發布雙輸出電源芯片,簡化AFE與音頻設計
- 一機適配萬端:金升陽推出1200W可編程電源,賦能高端裝備製造
技術文章更多>>
- 一秒檢測,成本降至萬分之一,光引科技把幾十萬的台式光譜儀“搬”到了手腕上
- AI服務器電源機櫃Power Rack HVDC MW級測試方案
- 突破工藝邊界,奎芯科技LPDDR5X IP矽驗證通過,速率達9600Mbps
- 通過直接、準確、自動測量超低範圍的氯殘留來推動反滲透膜保護
- 從技術研發到規模量產:恩智浦第三代成像雷達平台,賦能下一代自動駕駛!
技術白皮書下載更多>>
- 車規與基於V2X的車輛協同主動避撞技術展望
- 數字隔離助力新能源汽車安全隔離的新挑戰
- 汽車模塊拋負載的解決方案
- 車用連接器的安全創新應用
- Melexis Actuators Business Unit
- Position / Current Sensors - Triaxis Hall
熱門搜索





