功率器件熱設計基礎(九)——功率半導體模塊的熱擴散
發布時間:2024-12-22 責任編輯:lina
【導讀】任(ren)何(he)導(dao)熱(re)材(cai)料(liao)都(dou)有(you)熱(re)阻(zu),而(er)且(qie)熱(re)阻(zu)與(yu)材(cai)料(liao)麵(mian)積(ji)成(cheng)反(fan)比(bi),與(yu)厚(hou)度(du)成(cheng)正(zheng)比(bi)。按(an)道(dao)理(li)說(shuo),銅(tong)基(ji)板(ban)也(ye)會(hui)有(you)額(e)外(wai)的(de)熱(re)阻(zu),那(na)為(wei)什(shen)麼(me)實(shi)際(ji)情(qing)況(kuang)是(shi)有(you)銅(tong)基(ji)板(ban)的(de)模(mo)塊(kuai)散(san)熱(re)更(geng)好(hao)呢(ne)?這(zhe)是(shi)因(yin)為(wei)熱(re)的(de)橫(heng)向(xiang)擴(kuo)散(san)帶(dai)來(lai)的(de)好(hao)處(chu)。
前言
功率半導體熱設計是實現IGBT、碳化矽SiCgaogonglvmidudejichu,zhiyouzhangwogonglvbandaotidereshejijichuzhishi,cainengwanchengjingqueresheji,tigaogonglvqijiandeliyonglv,jiangdixitongchengben,bingbaozhengxitongdekekaoxing。
功率器件熱設計基礎係列文章會比較係統地講解熱設計基礎知識,相關標準和工程測量方法。
任(ren)何(he)導(dao)熱(re)材(cai)料(liao)都(dou)有(you)熱(re)阻(zu),而(er)且(qie)熱(re)阻(zu)與(yu)材(cai)料(liao)麵(mian)積(ji)成(cheng)反(fan)比(bi),與(yu)厚(hou)度(du)成(cheng)正(zheng)比(bi)。按(an)道(dao)理(li)說(shuo),銅(tong)基(ji)板(ban)也(ye)會(hui)有(you)額(e)外(wai)的(de)熱(re)阻(zu),那(na)為(wei)什(shen)麼(me)實(shi)際(ji)情(qing)況(kuang)是(shi)有(you)銅(tong)基(ji)板(ban)的(de)模(mo)塊(kuai)散(san)熱(re)更(geng)好(hao)呢(ne)?這(zhe)是(shi)因(yin)為(wei)熱(re)的(de)橫(heng)向(xiang)擴(kuo)散(san)帶(dai)來(lai)的(de)好(hao)處(chu)。
熱橫向擴散
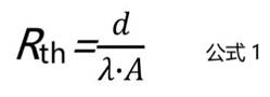
chulerezurerong,lingyigeyingxiangbandaotisanredezhongyaowulixiaoyingweiredehengxiangchuandao。zhegeshuyuzhirenengzairedaotineilitijiaochachuanshu,jireliangbujinnengchuizhichuandaoyekeyihengxiangchuandao。genjugongshi1,可由表麵積A和厚度d計算Rth。
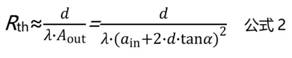
如果熱源的熱流Pth,C從一個有限麵向另一個麵積更大的熱導體傳導,熱量的出口麵積Aout比進口表麵積Ain大,因此熱流密度不斷減小,但總熱量不變,如圖一和圖二所示。
出口表麵積Aout比進口表麵積Ain大多少取決於兩個因素:
1.平板的厚度d
2.熱擴散角α
在熱的橫向傳導時,定為一個方形熱源,熱導體的熱阻可以近似計算為:
式中,a2in為入口表麵Ain的邊長(m)。
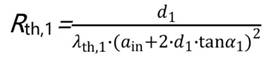
熱擴散角α表示熱導體的一種特性,如果有幾層不同的材質,每層的Rth必須單獨確定,然後綜合所有熱阻值得出總熱阻。圖三給出了采用兩層不同材質散熱時熱的橫向傳導。
由於熱的橫向傳導,根據方形進口表麵積:
第一層材料的熱阻為:
而對於第二層材料,第一層的橫向傳導導致第二層入口表麵積增大為:
這樣第二層材料的熱阻為:
而它有效的出口麵積:![]()
因此,綜合兩層的情況得到總的熱阻為:
分析
基於這知識點,我們可以做什麼分析呢?
采用相同芯片的銅基板模塊FS50R12KT4_B15比DCB模塊FS50R12W2T4散熱性能好,以50A 1200V IGBT4技術的模塊為例,結對散熱器的熱阻差48%。
由於DCB模塊FS50R12W2T4沒有銅基板,結對殼的熱阻RthJC=0.45k/W,比有銅基板模塊FS50R12KT4_B15熱阻結對殼的熱阻要低一些,因為銅基板引入的熱阻;但DCB模塊殼對散熱器的熱阻要高很多,因為熱擴散效應。
單管IKW40N120T2與模塊比,更小的芯片尺寸,40A單管的結對殼的熱阻RthJC=0.31k/W,遠低於模塊,這是因為芯片直接焊接在銅框架上,由於熱擴散效應,散熱更好。
4個芯片比單個芯片散熱要好。
要驗證我們的猜想4個芯片通過並聯實現大電流要比單個大電流芯片散熱要好,可以研究圖二中的Aout的值。
我們做一個paper design,把4個50A 1200V芯片IGC50T120T6RQ,取代單個200A 1200V芯片,為了簡化問題,我們假設芯片是直接燒結在3mm厚的銅板上,並假設熱擴散角是45度。
通過下表的計算發現,4個50A芯片的Aout=100.9*4=403.6mm²,比單個200A芯片280mm²要大44%,散熱更好。
總結
本文第一章摘自參考資料《IGBT模塊:技術、驅動和應用》,通過分析各種封裝產品的數值給讀者量化的概念,供參考。
免責聲明:本文為轉載文章,轉載此文目的在於傳遞更多信息,版權歸原作者所有。本文所用視頻、圖片、文字如涉及作品版權問題,請聯係小編進行處理。
推薦閱讀:
- 噪聲中提取真值!瑞盟科技推出MSA2240電流檢測芯片賦能多元高端測量場景
- 10MHz高頻運行!氮矽科技發布集成驅動GaN芯片,助力電源能效再攀新高
- 失真度僅0.002%!力芯微推出超低內阻、超低失真4PST模擬開關
- 一“芯”雙電!聖邦微電子發布雙輸出電源芯片,簡化AFE與音頻設計
- 一機適配萬端:金升陽推出1200W可編程電源,賦能高端裝備製造
- 從機械執行到智能互動:移遠Q-Robotbox助力具身智能加速落地
- 品英Pickering將亮相2026航空電子國際論壇,展示航電與電池測試前沿方案
- 模擬芯片設計師的噩夢:晶體管差1毫伏就廢了,溫度升1度特性全飄
- 3A大電流僅需3x1.6mm?意法半導體DCP3603重新定義電源設計
- 芯科科技Tech Talks與藍牙亞洲大會聯動,線上線下賦能物聯網創新
- 車規與基於V2X的車輛協同主動避撞技術展望
- 數字隔離助力新能源汽車安全隔離的新挑戰
- 汽車模塊拋負載的解決方案
- 車用連接器的安全創新應用
- Melexis Actuators Business Unit
- Position / Current Sensors - Triaxis Hall





