汽車電子設備電磁兼容性改進措施
發布時間:2010-12-14
中心議題:
- 電磁幹擾的來源
- 電磁幹擾的途徑及原理
- 提高電子設備電磁兼容性能的措施
- 雨刮電機的結構調整和內部濾波
- 閃光器的電路濾波
suizheqichediankongjishudebuduanfazhan,qichedianzishebeishuliangdadazengjia,gongzuopinlvzhujiantigao,gonglvzhujianzengda,shideqichegongzuohuanjingzhongchongchizhediancibo,daozhidianciganraowentiriyituchu,qingzeyingxiangdianzishebeidezhengchanggongzuo,zhongzesunhuaixiangyingdedianqiyuanjian。yinci,qichedianzishebeidediancijianrongxingnengyuelaiyueshouzhongshi,目前迫切要求能廣泛應用針對汽車子設備的電磁改進技術。
電磁幹擾的來源
qichedianzishebeigongzuozaixingshihuanjingbuduanbianhuadeqicheshang,huanjingzhongdiancinenglianggouchengdefuzaxingheduobianxing,yiweizhexitongsuoshoudaodedianciganraolaiyuanbijiaoguangfan。anzhaodianciganraodelaiyuanfenlei,kefenweichewaidianciganrao、車體靜電幹擾和車內電磁幹擾。
車外電磁幹擾
車外電磁幹擾是汽車行駛中經曆各種外部電磁環境時所受的幹擾。這類幹擾存在於特定的空間或是特定的時間。如高壓輸電線、高壓變電站和大功率無線電發射站的電磁幹擾,以及雷電、太陽黑子輻射電磁幹擾,等等。環境中其它臨近的電子設備工作時也會產生幹擾,例如行駛中相距較近的汽車。
車體靜電幹擾
chetijingdianganraoyuqichehewaibuhuanjingdouyouguan。youyuqichexingshishichetiyukongqigaosumoca,zaichetishangxingchengbujunyunfenbudejingdian。jingdianfangdianhuizaichetishangxingchengganraodianliu,tongshichanshenggaopinfushe,duiqichedianzishebeixingchengdianciganrao。
車內電磁幹擾
車che內nei電dian磁ci幹gan擾rao是shi汽qi車che電dian子zi設she備bei工gong作zuo時shi內nei部bu的de相xiang互hu幹gan擾rao,包bao括kuo電dian子zi元yuan器qi件jian產chan生sheng的de電dian子zi噪zao聲sheng,電dian機ji運yun行xing中zhong換huan向xiang電dian刷shua產chan生sheng的de電dian磁ci幹gan擾rao以yi及ji各ge種zhong開kai關guan工gong作zuo時shi的de放fang電dian幹gan擾rao,最zui嚴yan重zhong的de是shi汽qi車che點dian火huo係xi統tong產chan生sheng的de高gao頻pin輻fu射she,其qi幹gan擾rao能neng量liang最zui大da。
電磁幹擾的途徑及原理
電磁幹擾按幹擾途徑分類,主要分為傳導幹擾、感應幹擾和輻射幹擾,對應的幹擾原理如下。
傳導幹擾
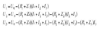
傳導幹擾主要通過電路的共用導體傳播,典型的結構是共電源線和共地線,圖1是典型傳導幹擾電路示意圖。R為電源線上電阻,Z為地線上電阻,U為支路電壓,I為支路電流。

由於各設備工作電壓為

因此任意一個設備電流變化都會導致其它設備電壓變化,產生幹擾。要降低設備間的相互影響,需要減小R、Z和I值。
感應幹擾
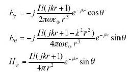
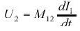
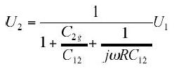
感應幹擾分為電感應幹擾和磁感應幹擾兩種,其基本電路圖如圖2和圖3。U1為導線1的電壓,I1為導線1上電流,U2為導線2上的幹擾電壓,C12為兩導線間的電容,C1g和C2g為導線1、導線2與地的電容,M12為兩回路間互感,R為各電路的電阻。

對電感應電路,
,要減小U2可以減小C12、U1和R,或增大C2g;首要措施是減小C12,方法是增大導線距離或改變導線間介電參數。
[page]
對磁感應電路,
,要減小U2,可以減小M12或減小I1變化率,基本措施是減小M12,對典型的兩回路,
,L1、L2為兩回路長度,m0為真空磁導率,r為兩回路導線段距離。因此增大r和減小回路麵積都能減小M12。
輻射幹擾
輻射幹擾由天線發射,由於通電的導線和電纜可視為等效天線,因此汽車電子設備的線束輻射幹擾非常嚴重。根據Maxwell方程,典型單極天線的輻射電磁場為

為球坐標,I為天線電流,l為天線長度,r為天線至場點的距離,w為角頻率,e0為空氣介電常數,,l為電磁波長。
要減小H和E,可以減小I、l,或增大r。
zongshangsuoshu,chewaidianciganraosuizuoyongjulizengdaerjianxiao,zhiyoudangqibenshennengliangfeichangda,cainengduixiangjujiaoyuandeqichedianzishebeichanshengyingxiang。duonianyanjiujieguobiaoming,danengliangdediancixiaoyingduirentijiankangcunzaiweihai,muqianyijingzhidinggezhongxiangyingdediancibiaozhunlaixianzhizheleiganrao,shideqichedianzishebeishouqideyingxiangjianxiao。
車che體ti靜jing電dian幹gan擾rao和he車che內nei電dian磁ci幹gan擾rao,因yin為wei幹gan擾rao作zuo用yong距ju離li近jin,幹gan擾rao時shi間jian長chang,幹gan擾rao強qiang度du相xiang對dui較jiao大da。由you於yu汽qi車che電dian子zi設she備bei形xing成cheng以yi蓄xu電dian池chi和he交jiao流liu發fa電dian機ji為wei核he心xin電dian源yuan以yi及ji車che體ti為wei公gong共gong地di的de電dian氣qi網wang絡luo,各ge部bu分fen線xian束shu都dou會hui通tong過guo電dian源yuan和he地di線xian彼bi此ci傳chuan導dao幹gan擾rao,相xiang鄰lin導dao線xian間jian又you有you感gan應ying幹gan擾rao,而er不bu相xiang鄰lin導dao線xian間jian也ye因yin天tian線xian效xiao應ying而er輻fu射she幹gan擾rao,這zhe就jiu使shi得de車che內nei幹gan擾rao綜zong合he了le三san種zhong途tu徑jing,幹gan擾rao組zu成cheng較jiao多duo,覆fu蓋gai的de幹gan擾rao頻pin率lv較jiao廣guang,是shi汽qi車che電dian子zi設she備bei受shou到dao的de主zhu要yao電dian磁ci幹gan擾rao。解jie決jue這zhe兩liang種zhong電dian磁ci幹gan擾rao問wen題ti,能neng同tong時shi提ti高gao汽qi車che電dian子zi設she備bei對dui車che外wai電dian磁ci幹gan擾rao的de抗kang幹gan擾rao能neng力li,從cong而er降jiang低di設she備bei工gong作zuo失shi常chang或huo是shi損sun壞huai的de可ke能neng性xing。
提高電子設備電磁兼容性能的措施
汽車電子設備的電磁兼容性能包括兩方麵,一是電磁發射,衡量係統產生的電磁幹擾的發射水平;二(er)是(shi)電(dian)磁(ci)敏(min)感(gan)度(du),衡(heng)量(liang)係(xi)統(tong)在(zai)工(gong)作(zuo)時(shi)為(wei)實(shi)現(xian)預(yu)期(qi)技(ji)術(shu)指(zhi)標(biao)而(er)需(xu)要(yao)的(de)抵(di)抗(kang)電(dian)磁(ci)幹(gan)擾(rao)的(de)能(neng)力(li)。根(gen)據(ju)前(qian)麵(mian)的(de)分(fen)析(xi),要(yao)綜(zong)合(he)提(ti)高(gao)汽(qi)車(che)電(dian)子(zi)設(she)備(bei)的(de)電(dian)磁(ci)性(xing)能(neng),可(ke)以(yi)從(cong)三(san)方(fang)麵(mian)考(kao)慮(lv),一(yi)是(shi)減(jian)小(xiao)設(she)備(bei)發(fa)射(she)電(dian)磁(ci)幹(gan)擾(rao)的(de)強(qiang)度(du);二是抑製電磁幹擾的傳輸;三是降低設備電磁敏感部件接收幹擾的強度。
減小設備的電磁幹擾強度
優化設備的電氣結構:汽車電子設備中閃光器是繼電器觸點結構,可以在觸點前加電弧抑製器;電機為感性負載,可通過內部濾波電路降低電流噪聲;各種電控單元的印刷電路板,要優化布線,降低電磁發射水平。
選用合適的電子元器件:汽車上的各種控製單元,采用較低頻的芯片有利於減少輻射幹擾。
降低設備的功率:在滿足功能需求的情況下,降低設備的功率,可以減小幹擾電壓和電流,從而減小幹擾強度。
抑製幹擾的傳輸
屏蔽幹擾源設備和相關線束:汽車中主要的電控係統使用的電控單元,應該采用屏蔽殼體封裝。
增加線束濾波:對較長的線束,為減小傳導和輻射幹擾,應在線束上增加濾波,比較方便的是套接合適的鐵氧體磁環。
合理規劃線束:線xian束shu布bu置zhi上shang使shi小xiao功gong率lv敏min感gan電dian路lu緊jin靠kao信xin號hao源yuan,大da功gong率lv幹gan擾rao電dian路lu緊jin靠kao負fu載zai,盡jin可ke能neng分fen開kai小xiao功gong率lv電dian路lu和he大da功gong率lv電dian路lu,減jian小xiao線xian束shu間jian的de感gan應ying幹gan擾rao和he輻fu射she幹gan擾rao。
改進設備的接地:良好的接地布置和改進的地線搭接可以降低高頻阻抗。汽車電子設備接地主要是就近接到車體以及線束屏蔽層接地。
降低設備接收幹擾的強度
減小設備接收幹擾的麵積:線束應設計成最小長度、最小阻抗和最小環路麵積,最好采用雙絞線等回路麵積小的供電方式。增大設備到幹擾源的距離:在幹擾設備布置不變的情況下,改造敏感部件的安裝位置,增大到幹擾源的距離。
電磁兼容性改進措施的試驗研究
目mu前qian,電dian磁ci兼jian容rong仿fang真zhen計ji算suan通tong常chang用yong來lai對dui車che體ti結jie構gou的de電dian磁ci性xing能neng進jin行xing初chu步bu估gu計ji。汽qi車che電dian子zi設she備bei的de電dian磁ci性xing能neng主zhu要yao以yi測ce試shi為wei依yi據ju,因yin此ci對dui改gai進jin措cuo施shi著zhe重zhong進jin行xing試shi驗yan研yan究jiu。根gen據ju汽qi車che整zheng車che及ji零ling部bu件jian的de電dian磁ci兼jian容rong性xing法fa規guiGB18655-2002《用於保護汽車接收機的無線電騷擾特性的限值和測量方法》,對國內一種商務車型的電子設備進行了電磁兼容性測試,采用了綜合改進措施,試驗結果可以比較各種措施在實車運用中的效果。
雨刮電機的結構調整和內部濾波
雨(yu)刮(gua)電(dian)機(ji)是(shi)設(she)備(bei)中(zhong)典(dian)型(xing)的(de)感(gan)性(xing)負(fu)載(zai)幹(gan)擾(rao)源(yuan),功(gong)率(lv)較(jiao)大(da),采(cai)用(yong)零(ling)部(bu)件(jian)測(ce)試(shi)方(fang)式(shi)對(dui)其(qi)測(ce)量(liang),先(xian)對(dui)電(dian)機(ji)的(de)換(huan)向(xiang)器(qi)結(jie)構(gou)做(zuo)了(le)調(tiao)整(zheng),並(bing)在(zai)電(dian)機(ji)內(nei)部(bu)對(dui)電(dian)路(lu)做(zuo)了(le)濾(lv)波(bo)處(chu)理(li)。圖(tu)4、圖5是改進前後的結果,射頻段幹擾也有明顯改進。

閃光器的電路濾波
閃(shan)光(guang)器(qi)是(shi)汽(qi)車(che)設(she)備(bei)中(zhong)典(dian)型(xing)的(de)觸(chu)點(dian)型(xing)器(qi)件(jian),工(gong)作(zuo)時(shi)通(tong)斷(duan)頻(pin)繁(fan),在(zai)線(xian)束(shu)上(shang)產(chan)生(sheng)較(jiao)大(da)傳(chuan)導(dao)幹(gan)擾(rao),並(bing)由(you)此(ci)產(chan)生(sheng)較(jiao)大(da)輻(fu)射(she)幹(gan)擾(rao)。通(tong)過(guo)在(zai)閃(shan)光(guang)器(qi)附(fu)近(jin)加(jia)接(jie)0.1mF的電容,並在線束上套鐵氧體磁環,構成低通濾波器,抑製其傳導幹擾,同時減小輻射幹擾。測量采用整車測試的方式,圖6、圖7是改進前後的測試結果,在10MHz以上降低了幹擾水平。
結語
汽(qi)車(che)電(dian)子(zi)設(she)備(bei)的(de)電(dian)磁(ci)兼(jian)容(rong)性(xing)能(neng)在(zai)國(guo)內(nei)日(ri)益(yi)受(shou)到(dao)重(zhong)視(shi),它(ta)對(dui)提(ti)高(gao)國(guo)內(nei)汽(qi)車(che)產(chan)品(pin)的(de)競(jing)爭(zheng)力(li)也(ye)相(xiang)當(dang)重(zhong)要(yao)。通(tong)過(guo)對(dui)電(dian)子(zi)設(she)備(bei)幹(gan)擾(rao)源(yuan)的(de)分(fen)析(xi),表(biao)明(ming)車(che)內(nei)電(dian)磁(ci)幹(gan)擾(rao)是(shi)設(she)備(bei)所(suo)受(shou)的(de)主(zhu)要(yao)幹(gan)擾(rao),為(wei)減(jian)少(shao)係(xi)統(tong)的(de)電(dian)磁(ci)幹(gan)擾(rao),需(xu)要(yao)采(cai)用(yong)文(wen)中(zhong)的(de)改(gai)進(jin)措(cuo)施(shi)來(lai)提(ti)高(gao)汽(qi)車(che)電(dian)子(zi)設(she)備(bei)的(de)電(dian)磁(ci)兼(jian)容(rong)性(xing)能(neng),測(ce)試(shi)表(biao)明(ming)改(gai)進(jin)效(xiao)果(guo)都(dou)比(bi)較(jiao)明(ming)顯(xian)。對(dui)大(da)多(duo)數(shu)電(dian)氣(qi)設(she)備(bei),增(zeng)強(qiang)電(dian)路(lu)濾(lv)波(bo)是(shi)比(bi)較(jiao)通(tong)用(yong)的(de)改(gai)進(jin)措(cuo)施(shi)。
- 噪聲中提取真值!瑞盟科技推出MSA2240電流檢測芯片賦能多元高端測量場景
- 10MHz高頻運行!氮矽科技發布集成驅動GaN芯片,助力電源能效再攀新高
- 失真度僅0.002%!力芯微推出超低內阻、超低失真4PST模擬開關
- 一“芯”雙電!聖邦微電子發布雙輸出電源芯片,簡化AFE與音頻設計
- 一機適配萬端:金升陽推出1200W可編程電源,賦能高端裝備製造
- 2026藍牙亞洲大會暨展覽在深啟幕
- 維智捷發布中國願景
- 2秒啟動係統 • 資源受限下HMI最優解,米爾RK3506開發板× LVGL Demo演示
- H橋降壓-升壓電路中的交替控製與帶寬優化
- Tektronix 助力二維材料器件與芯片研究與創新
- 車規與基於V2X的車輛協同主動避撞技術展望
- 數字隔離助力新能源汽車安全隔離的新挑戰
- 汽車模塊拋負載的解決方案
- 車用連接器的安全創新應用
- Melexis Actuators Business Unit
- Position / Current Sensors - Triaxis Hall




